ОТВЕТЫ И РЕШЕНИЯ
Работа и мощность тока
№1391.
Если количество ламп уменьшить,
то мощность, приходящаяся на каждую лампу, увеличится и лампы могут перегореть.
Если же количество ламп увеличить, то мощность, приходящаяся на каждую лампу,
уменьшится и лампы будут гореть тусклее. У первого больше. Если работать на станке
с неправильно заточенным или затупленным инструментом, то увеличится сопротивление
резанию и это вызовет повышенный расход электроэнергии. и мощности Мощность, потребляемая
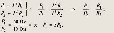
R1, в 5 раз больше. Сила тока в лампе мощностью
100 Вт в 4 раза больше. Сравним силу тока, протекающего
через лампы То есть сила тока, протекающего
через лампу 1 в 2 раза больше силы тока, протекающего через лампы 2 и 3. Накал
лампы 1 будет больше. Аналогично предыдущей задаче:
Итак, сила тока, протекающего
через лампу 1, в 2 раза больше, а следовательно, и потребляемая мощность будет
тоже больше (в 4 раза), чем в лампах 2 и 3. P2 = I2U2 P = I U Р2 = 2А - 12В
= 24 Вт P = 4,5 А - 120 В = 540
Вт. Сопротивление первой лампы
в 8 раз больше. 


















![]()























