Управленческий и
производственный учет на промышленных предприятиях
УЧЕБНОЕ ПОСОБИЕ
ВВЕДЕНИЕ
В
современной социально-экономической жизни Российской Федерации осуществляется
постепенный переход к социально ориентированной рыночной экономике.
Одновременно реформируется законодательство, призванное обеспечить нормальное
функционирование товарно-денежных отношений и новых организационных форм в
сфере финансового и управленческого учета.
В числе основных проблем дальнейшего развития управленческого учета на
предприятиях наибольшее значение имеют вопросы создания современной системы
формирования издержек производства и контроля за уровнем себестоимости
продукции, классификации и группировки издержек производства по различным
признакам, применения специальных методов учета и расчетов издержек
производства, относимых на себестоимость продукции, методов калькулирования
себестоимости продукции.
В данном учебном пособии рассматриваются проблемы методологии
управления издержками производства промышленного предприятия применительно к
современным условиям организации производства в целях получения необходимой и
достоверной учетно-отчетной информации для менеджеров предприятия.
В пособии дается обобщающий материал по издержкам производства,
основанный на работах зарубежных и отечественных авторов.
В настоящее время отечественные вузы готовят менеджеров, как правило,
нижнего звена управления — мастеров, старших мастеров, начальников участков —
непосредственных организаторов производственных процессов в цехах и участках
предприятия. Для этой категории менеджеров вопросы знания и управления
издержками производства являются актуальными.
Учебное пособие состоит из трех разделов и одиннадцати глав.
В первом разделе «Организация и принципы
учета издержек производства» рассматриваются теоретические проблемы
формирования финансового и управленческого учетов, их сравнительная
характеристика; основы организации производственного учета издержек
производства на предприятии; принципы организации учета издержек по видам,
местам возникновения, центрам ответственности и носителям; учет материальных и
трудовых издержек, а также вопросы амортизационных отчислений.
Второй раздел «Калькулирование
себестоимости продукции» содержит общие понятия о калькулировании
продукции, методах калькулирования; о составе издержек, включаемых в
себестоимость продукции; приведен расчет полной и частичной (неполной)
себестоимости, а также дан состав и принципы учета общепроизводственных и
общехозяйственных накладных расходов.
В третьем разделе «Специальные вопросы
производственного учета» освещены вопросы управления издержками для
обеспечения качества продукции; расчета издержек на стадии технической
подготовки производства; анализ издержек и расчет экономических показателей.
В конце каждого раздела приводятся контрольные вопросы, тестовые
задания и практические задания для проведения практических занятий.
Учебное пособие будет полезно не только студентам при изучении
дисциплин «Производственный учет», «Управленческий и
производственный учет на промышленных предприятиях», но и преподавателям,
аспирантам экономических направлений вузов и менеджерам промышленных
предприятий.
Раздел I. ОРГАНИЗАЦИЯ И ПРИНЦИПЫ УЧЕТА
ИЗДЕРЖЕК
ПРОИЗВОДСТВА
Глава 1. ВВЕДЕНИЕ В УПРАВЛЕНЧЕСКИЙ УЧЕТ
1.1. Финансовый и управленческий учет
С конца
20-х гг. прошлого столетия отечественная учебно-экономическая наука была почти
полностью изолирована от экономических процессов, проходивших в передовых в
экономическом отношении странах. А именно в учебно-экономических теориях этих
стран, особенно в конце 40-х — начале 50-х гг., произошли значительные
изменения. Главное из них — деление бухгалтерского учета на два направления:
финансовый учет и управленческий.
В финансовом учете формируется информация о доходах и расходах
предприятия, о дебиторской и кредиторской задолженностях, финансовых
инвестициях, состоянии источников финансирования, взаимоотношениях с
государством по уплате налогов и т.д.
Потребителями информации финансового учета являются в основном высшие
по отношению к предприятию пользователи: налоговые органы, банки, биржи, другие
финансовые институты, а также поставщики, покупатели, потенциальные и реальные
инвесторы, служащие предприятия.
Финансовая отчетность не является коммерческой тайной, открыта к
публикации и в определенных условиях должна быть заверена независимым аудитором
или аудиторской организацией.
Организация ведения финансового учета строго регламентирована
государственным законодательством.
Внешние потребители информации для принятия решений пользуются тремя
финансовыми документами:
— балансом предприятия;
— отчетом о прибылях и убытках;
— отчетом о движении активов.
Данные документы полезны и для менеджеров предприятия. Использование
этой информации в целях управления предприятием абсолютно необходимо.
Однако для аппарата управления (менеджеров среднего и нижнего уровней)
нужна более детализированная информация, чем в перечисленных финансовых
документах.
Для предоставления менеджерам необходимой информации на предприятии по
решению руководства организуется управленческий учет.
В системе управленческого учета формируется информация о доходах,
расходах и результатах деятельности предприятия в необходимых для целей
управления аналитических разрезах. При этом руководство предприятия
самостоятельно решает, в каких разрезах классифицировать объекты управления и
как осуществлять их учет.
Информация управленческого учета предназначена для руководства и
менеджеров всех уровней управления предприятием. Она является коммерческой
тайной и носит строго конфиденциальный характер.
Вопросы организации управленческого учета не регламентируются
законодательством.
Частью общей сферы управленческого учета является производственный
учет. Производственный учет — это отражение, оценка и контроль издержек,
которые связаны с процессом производства и реализации продукции на предприятии.
Его предметом являются также хозяйственные операции в рамках предприятия
(производство для собственных нужд). В отличие от финансового учета нейтральные
хозяйственные операции (т.е. не относящиеся к производству) не рассматриваются.
Взаимосвязь управленческого и финансового учетов можно пояснить на
схеме (рис. 1).
Взаимосвязь управленческого и финансового учетов

А —
производственный учет;
Б — финансовый учет для менеджеров предприятия;
В — финансовый учет для внешних пользователей
Рис. 1
Маркетинговые
исследования в странах с развитой рыночной экономикой показали, что
главенствующую роль в ценообразовании на выпускаемую продукцию играет учет
издержек производства — производственный учет.
Необходимо отметить, что в зарубежной научной литературе уделяется
значительное внимание вопросам организации производственного учета. В работах
таких авторов, как К. Друри («Введение в управленческий и производственный
учет»); Р. Мюллендорф, М. Карренбауэр («Производственный учет»);
А. Томсон, Д. Формби («Экономика фирмы»); Кэмпбелл Р. Макконнелл,
Стенли Л. Брю («Экономика». Том 1, 2) и др., рассмотрены вопросы
организации производственного учета: классификация издержек, организация их
учета, калькулирование, расчет себестоимости и т.д.
Вопросы организации управленческого учета рассматриваются в работах
отечественных авторов, таких как Николаева С.А. («Особенности учета затрат
в условиях рынка. Система «Директ-кастинг»), Карпова Т.П.
(«Управленческий учет»), Стражкова М.М. («Управленческий
учет»), «Управленческий учет» (под редакцией д. э. н. проф.
Шеремета А.Д.), Шредер Н.Г. («Управленческий учет: анализ типичных
ошибок») и другие.
В настоящее время менеджеры всех уровней управления предприятием имеют
весьма ограниченные знания в вопросах управления издержками производства, что
является сдерживающим фактором при решении вопроса об организации
управленческого учета на предприятии.
В данном учебном пособии наряду с общими вопросами управленческого
учета в основном рассматривается методология организации производственного
учета, а точнее, управленческого учета издержек производства промышленного
предприятия применительно к современным условиям организации производства.
1.2. Система управленческого учета
Определение
системы управленческого учета — вопрос дискуссионный. В настоящее время не
существует какого-либо идеального определения, которое устраивало бы всех
специалистов в этой области.
Нет официального определения управленческого учета в законодательных
актах Российской Федерации.
В мировой и отечественной научной литературе приводятся отдельные
определения управленческого учета, которые отличаются лишь детализацией
содержания.
В отечественной науке формулировка определений дается в работах таких
ученых, как М.А. Вахрушина, О.Е. Николаева, Т.В. Шишкова, М.М. Стажкова и др.
Наиболее полное определение приводится в книге «Управленческий
учет» под редакцией А.Д. Шеремета: «Управленческий учет — подсистема
бухгалтерского учета, которая в рамках одной организации обеспечивает ее
управленческий аппарат информацией, используемой для планирования, собственно
управления и контроля за деятельностью организации. Этот процесс включает
выявление, измерение, сбор, анализ, подготовку, интерпретацию, передачу и прием
информации, необходимой управленческому аппарату для выполнения его
функций».
Управленческий учет является составной частью системы управления
предприятием. Он призван обеспечить формирование информации, необходимой:
— для контроля экономичности текущей деятельности организации в целом и
в разрезе ее отдельных подразделений, видов деятельности, секторов рынка;
— планирования будущей стратегии и тактики осуществления коммерческой
деятельности в целом и отдельных хозяйственных операций, оптимизации
использования материальных, трудовых и финансовых ресурсов организации;
— измерения и оценки эффективности хозяйствования в целом и в разрезе
подразделений организации, выявления степени рентабельности отдельных видов
продукции, работ, услуг, секторов и сегментов рынка;
— корректировки управляющих воздействий на ход производства и
реализации продукции, товаров и услуг, уменьшения субъективности в процессе
принятия решений на всех уровнях управления.
Понятие «управленческий учет» многие специалисты связывают
прежде всего с оперативным представлением информации. Она должна обрабатываться
в том темпе, который необходим для управления, т.е. в большинстве своем день в
день или по крайней мере на следующий день. Современные реалии требуют перехода
от периодического учета к учету в режиме реального времени, а затем к учету,
ориентированному на будущее.
Однако оперативность информации не является прерогативой исключительно
управленческого учета. Задача представления объективной информации в нужное
место, в нужное время и в удобной форме присуща не только управленческому
учету. Оперативным должен быть процесс сбора и обработки информации и для
финансового учета. Например, учет кассовых операций не может быть
неоперативным. О различиях в оперативности можно говорить только по отношению к
отчетности, но не по отношению к процессу сбора информации, т.е. к учету.
Информация, формируемая системой управленческого учета, должна отвечать
следующим требованиям:
— достоверности;
— полноты;
— релевантности;
— целостности;
— понятности;
— своевременности;
— регулярности.
Для финансового учета достоверной
считается отчетность, сформированная исходя из правил, установленных
нормативными актами по бухгалтерскому учету. В управленческом учете важнее
объективность данных, их соответствие действительности. Понятие достоверности в
учете для управления ближе к определению, используемому в аудите, где под
достоверностью понимается возможность для компетентного пользователя делать на
основе данных учета и отчетности правильные выводы.
Полнота управленческого
учета означает достаточность информации для управления предприятием и его
подразделениями, возможность обеспечить эту достаточность. Наиболее полными
являются сложные системы управленческого учета, включающие использование счетов
и двойной записи, обеспечивающие контроль не только за затратами и результатами
текущей деятельности, но и за производственными запасами, инвестициями,
эффективностью функционального управления бизнесом.
Главное требование к информации, формируемой в системе управленческого
учета, — ее, релевантность, т.е.
существенность, приемлемость для вырабатываемых решений. Все остальные
требования выполняют подчиненную роль. Нерелевантная, несущественная для
данного решения информация, даже если она абсолютно достоверна, не может помочь
в принятии правильного решения, в то время как достоверные на 90% данные могут
быть основой для правильных выводов.
Релевантными с позиций принятия управленческого решения являются данные
и сведения, учитывающие условия, в которых принимается решение, его целевые
критерии, имеющие набор возможных альтернатив и характеризующие последствия
реализации каждой из них.
Одним из требований общепринятых положений управленческого учета
является его целостность и понятность для пользователей. Это
означает, что управленческий учет должен быть системным даже в тех случаях,
когда он ведется без использования первичной документации, счетов и двойной
записи. Системность в этом случае означает единство принципов отражения учетной
информации.
Понятность данных и результатов управленческого учета важна потому, что
его потребителями являются не только бухгалтеры и экономисты, но в основном
администрация предприятия и линейные работники управления (инженеры, техники,
мастера), т.е. лица, не имеющие специальной экономической подготовки.
Понятность для них информации управленческого учета обеспечивается за счет
отражения в учетных регистрах результатов анализа полученных показателей,
представления данных в виде аналитических таблиц, графиков, динамических рядов
и т.п. Понятности способствует и информация управленческого учета об
отклонениях от норм и нормативов.
Своевременность
управленческого учета означает его возможность обеспечить менеджеров
необходимой информацией к сроку принятия решений. В условиях автоматизированных
систем обработки экономической информации это не является серьезной проблемой,
но при использовании мощных современных компьютеров имеется опасность
перегруженности данных при одновременной их нехватке к моменту принятия
управленческого решения. Часто управляющие не знают, что нужно делать с этой
информацией.
Специалисты по управленческому учету должны не только обеспечить
менеджмент необходимыми данными к заданному сроку, но и помочь в их использовании
для управления. Делается это обычно на основе регламентных графиков.
Одновременно необходимо позаботиться о том, чтобы текущая отчетность для
руководителей подразделений была представлена так, чтобы в ней можно было
разобраться без особых усилий. Важно также, чтобы внутренняя отчетность была регулярной, т.е. повторяемой во
времени. Данные хорошо организованного управленческого учета позволяют выявить
области наибольшего риска, узкие места в деятельности организации,
малоэффективные или убыточные виды продукции и услуг, места и способы их
реализации. Они используются для определения наиболее выгодного для данных
условий ассортимента продукции и работ, цен и тарифов их продажи, пределов
скидок при разных условиях сбыта и платежа, для оценки эффективности
дополнительных затрат и рациональности капитальных вложений.
По характеру применения управленческий учет универсален. Его можно
внедрять на всех предприятиях и в организациях, имеющих затраты и зависящие от
них финансовые результаты деятельности, т.е. практически во всех отраслях
народного хозяйства. Используют данные управленческого учета в первую очередь
те, кто управляет.
Необходимо отметить, что задачи управленческого учета предъявляют
повышенные требования к квалификации специалиста по управленческому учету. К
его функциям, как правило, относят следующее:
— координацию целей и планов подразделений и предприятия в целом;
— содействие руководству в достижении поставленных целей;
— организацию работы по созданию и ведению системы управленческого
учета;
— подготовку материалов для принятия управленческих решений и
представление их руководству;
— консультирование руководителей по вопросам выбора наиболее
эффективных вариантов принимаемых решений.
Выполнение данных функций предполагает наделение специалиста по
управленческому учету определенными специфическими правами, а именно:
— доступ ко всей информации, в том числе и к информации
конфиденциального характера;
— право подготовки своего особого мнения с аналитически обоснованными
доводами;
— право отсрочки принятия решения с целью профессиональной его
подготовки.
Поскольку специалист по управленческому учету имеет широкий спектр
обязанностей и специальные права, при назначении на данную должность
предъявляются достаточно высокие требования к его теоретической подготовке и
практическим навыкам в области управленческого учета.
Изучение опыта организации управленческого учета на западных фирмах
свидетельствует о том, что здесь нет одинакового подхода к тому, кто должен
заниматься учетом для управления: бухгалтерия или специально созданная для
этого служба.
В небольших фирмах сбор и обработку данных управленческого учета ведет
бухгалтерия, усиленная специалистами по финансовому менеджменту. В средних по
величине и объему товарооборота организациях возможны оба варианта. Там, где
служба управленческого учета обособляется, она может подчиняться либо главному
бухгалтеру, либо коммерческому директору. В любом случае вопрос о том, нужен
управленческий учет современному предприятию или не нужен, у большинства
зарубежных фирм решен положительно. Да, нужен, поскольку без квалифицированного
управления на основе специально подготовленной информации в условиях
конкурентной борьбы не выжить.
1.3. Сравнительная характеристика
финансового и
управленческого учета
Взаимодействие
финансового и управленческого учета определяется преимущественностью и
комплексным использованием первичной информации, единства норм, нормативов, а
также единства нормативно-справочной информации в целом, однократной фиксацией
всей исходной переменной информации.
В основе взаимодействия финансового и управленческого учета лежат
следующие факторы:
— принципы, определяющие значение общепринятых факторов для финансового
учета, действуют и в отношении управленческого учета. Так, руководство предприятия,
менеджеры аппарата управления в своей деятельности не могут основываться на
непроверенных, субъективных мнениях и оценках;
— оперативная информация, необходимая для составления финансовых
документов, используется и в управленческом учете. Поэтому сбор первичной
информации должен осуществляться по единым правилам;
— данные финансового и управленческого учета используются для принятия
решений. Так, данные финансового учета помогают инвесторам в оценке перспектив
предприятия, т.е. в принятии решений об осуществлении инвестиций. Данные
управленческого учета используют менеджеры для решения широкого круга задач
управления: определения цен, покупки комплектующих или производства их на
предприятии и т.д.
Проведя подробный анализ и сравнение финансового и управленческого
учета, можно выделить ряд существенных различий.
На рис. 2 показаны отличительные признаки каждого вида учета. Они
сгруппированы относительно характеристик информации.
Отличительные характеристики управленческого
и финансового
учета
┌──────────────────────────┐
┌──────────────────────────┐
│ Управленческий учет │ │ Финансовый учет │
└──────────────────────────┘ └──────────────────────────┘
                           Степень
регламентации
┌──────────────────────────────────────────────┐
По решению администрации Обязательность ведения
Масштабы информации
┌──────────────────────────────────────────────┐
Центры ответственности, Предприятие в целом
цехи и участки
Точность информации
┌──────────────────────────────────────────────┐
Использование приближенных Абсолютная точность
величин
Цель учета
┌──────────────────────────────────────────────┐
Обеспечение информацией Обеспечение информацией
внутренних пользователей внешних пользователей
                          Пользователи
информации
┌──────────────────────────────────────────────┐
Сотрудники предприятия, Государственные органы,
     принимающие решения                          предприятия,
инвесторы
Принципы учета
┌──────────────────────────────────────────────┐
Полезность информации Общепринятые,
безотносительно к нормам стандартизованные
и юридическим требованиям
Структура учета
┌──────────────────────────────────────────────┐
Нет базового равенства. Базовое равенство:
   Объекты учета: доходы,                        активы = обязательства
+
      издержки, активы                              собственный
капитал
                     По времени соотнесения
информации
┌──────────────────────────────────────────────┐
Прошедшее и будущее время, Прошедшее время,
       за определенный                            за определенный
период
и на определенный период
Способы отражения информации
┌──────────────────────────────────────────────┐
Денежное и натуральное Денежное отражение
отражение продукта учета продукта учета
Частота подачи информации
┌──────────────────────────────────────────────┐
Определяется задачами, Месячная, квартальная,
чаще недельная, декадная, годовая
месячная
                     Сроки предоставления
пользователям
┌──────────────────────────────────────────────┐
По окончании отчетного Регламентированы
периода
                          Степень
ответственности
┌──────────────────────────────────────────────┐
       Дисциплинарная
Административная
ответственность ответственность
Рис. 2
Кратко
рассмотрим основные различия между этими подсистемами учета.
Степень регламентации.
Ведение финансового учета обязательно. Должны быть приложены определенные
усилия для сбора данных в требуемой форме и с требуемой степенью точности
согласно законодательству и стандартам независимо от того, считает руководство
организации эти данные полезными или нет.
Ведение управленческого учета зависит от воли руководства предприятия:
никакие посторонние органы или организации не имеют права указывать, что надо и
чего не надо делать. Исходя из экономической целесообразности, если ценность
информации для управления ниже затрат на ее получение, администрация может не
принять решение об организации управленческого учета. В этом случае на
предприятии будет только финансовый учет.
Масштабы информации.
Финансовые отчеты обобщают информацию о деятельности всего предприятия. В
некоторых случаях, когда имеются дочерние предприятия или несколько видов
деятельности, составляются отдельные финансовые отчеты или расчеты по видам деятельности.
Управленческий учет ограничен рамками отдельных подразделений
предприятия. Информация содержится в отчетах об отдельных изделиях, видах
деятельности, результатах организационных подразделений, центров
ответственности.
Точность информации.
Менеджерам часто необходима срочная информация, поэтому для принятия решений
используются приблизительные оценки. Требования к точности в управленческом
учете ослаблены в сторону ускорения получения информации.
Финансовый учет базируется на точности информации. Законом
регламентируются не только ограничения, но и требования. Информация,
содержащаяся в финансовых отчетах, отражает операции, которые уже совершены, и
она поддается проверке и оценке надежности.
Цель учета. Назначение
финансового учета — составление финансовой отчетности внешним пользователем
информации. Цель считается достигнутой, если документы составлены и
представлены по назначению.
Управленческий учет обеспечивает сбор и обработку информации в целях
планирования, управления и контроля на данном предприятии.
Пользователи информации.
Потребители финансовой информации — акционеры, кредиторы, налоговые органы,
внебюджетные фонды, органы власти. Это юридические и физические лица, которые
находятся в определенных отношениях с предприятием. В своей основной массе —
это безликая группа. Руководители предприятия несут ответственность за
подготовку финансовых отчетов, но сами этой информацией пользуются в
ограниченной степени.
Лица, пользующиеся данными управленческого учета (менеджеры предприятия
и сотрудники, помогающие им в сборе и анализе информации), как правило,
известны поименно. На их специфические запросы будет ориентироваться система
этого вида учета.
Принципы учета. Финансовый
учет строится на основе общепринятых норм и стандартов. Этот принцип позволяет
внешним пользователям информации проводить сравнения и сопоставления. Они
должны быть уверены, что учет ведется по общепринятому порядку и он в
достаточной степени достоверен.
Управленческий учет организуется безотносительно к нормам и юридическим
требованиям. Основной принцип работы управленческого аппарата состоит в выборе
тех правил, принципов, приемов, которые приносят пользу и являются полезными
для принятия решений.
Структура учета. Она зависит
от использования базисных установок. В финансовом учете применяется следующее
базисное равенство:
Активы =
Обязательства + Собственный капитал.
Управленческий
учет не имеет единого сходного равенства. Его структура определена
превалирующими тремя видами объектов: доходами, издержками, активами. Система
управленческого учета оперирует этими понятиями:
— в учете полной себестоимости;
— учете по центрам ответственности.
По времени соотнесения
информации. Информация, отраженная в финансовых отчетах, показывает
результат свершившихся фактов и хозяйственных операций за определенный период
времени. Информация финансового учета используется в управленческом учете при
планировании и прогнозе. Однако в структуру управленческого учета, кроме того,
попадает информация, обращенная и к будущему. Цель финансового учета — показать
«как это было», а управленческого — «как это должно быть».
При этом наибольшее внимание уделяется оценкам будущих периодов.
Способы отражения информации.
Конечным продуктом финансового учета являются финансовые документы, которые
составляются в денежном выражении. Хозяйственные операции уже совершены и
объективно измерены в денежных единицах соответствующего периода на счетах
предприятия.
В управленческом учете в качестве основы для анализа фигурируют такие
понятия, как нормо-час, час работы машины, натуральные измерители объема
производства.
Например, в управленческом учете отражаются количество материалов, их
стоимость по каждой поставке и от каждого поставщика, количество реализованных
изделий, их стоимость и т.д.
Частота подачи информации.
Для внешних потребителей информации финансовые отчеты подготавливаются на
регулярной основе: ежемесячно, ежеквартально, ежегодно. По итогам года
составляется полный финансовый отчет (балансовый отчет). Менее детальные отчеты
— по итогам квартала, по итогам месяца — отдельные расчеты.
В управленческом учете отчеты могут составляться как на регулярной
основе, так и по запросу. Например, внутренняя отчетность об использовании
материалов составляется ежемесячно; результаты раскроя материалов отражаются в
картах раскроя по каждой партии раскраиваемого материала, т.е. практически раз
в смену. По запросу могут быть составлены документы на расход особо дефицитных
материалов. Отчеты по определенным видам деятельности могут составляться еженедельно,
ежедневно, в некоторых случаях — немедленно.
Сроки предоставления
пользователям. Поскольку для выверки данных и проверки их внешними
аудиторами требуется время, к которому добавляется некоторый срок на печатание
и распространение финансовых отчетов, последние попадают к пользователям только
через несколько недель после окончания отчетного периода.
Отчеты по управленческому учету могут содержать информацию, требующую
немедленных действий. Эти отчеты обычно составляются и представляются в течение
нескольких дней по окончании отчетного месяца (или на следующее утро —
оперативные отчеты).
Степень ответственности.
Налоговая инспекция может наложить штрафные санкции за неправильное отражение
информации в отчетности о финансовых результатах. Кредиторы или акционеры
предприятия могут обратиться в суд, обвинив администрацию в безосновательном
искажении информации в годовом балансе или отчете о прибылях или убытках.
Данные управленческого учета не предназначены для широкой
общественности и часто приблизительны. За решения, которые администрацией были
признаны неправильными, несет ответственность менеджер. Дисциплинарная
ответственность применяется к менеджерам за определенные поступки, но не за
какие-либо данные управленческого учета.
1.4. Экономические понятия, применяемые в финансовом
и управленческом
учете
В
финансовом и управленческом учете широко применяются такие экономические
понятия, как «затраты», «расходы», «доходы»,
«издержки», «себестоимость».
В настоящее время в России в период перехода к рыночным отношениям,
когда мощным фактором, влияющим на практическую организацию финансового и
управленческого учета на предприятии, остается фискальный (налоговый) фактор,
очень важно дать четкое определение и характеристики указанных экономических
понятий и терминов.
Это необходимо, чтобы исключить субъективную трактовку отдельных их
категорий, прежде всего со стороны контролирующих органов.
Поэтому ниже кратко остановимся на каждом экономическом понятии.
Затраты. В зарубежной и
отечественной научной литературе даются различные определения понятия затрат,
хотя по смысловому содержанию они схожи. Так, немецкие ученые Р. Мюллендорф и
М. Карренбауэр в работе «Производственный учет» отмечают, что понятие
«затраты» «отражает исключительно движение средств платежа независимо
от того, сопровождается ли оно движением товаров и влияет ли на результаты
деятельности предприятия… Величина затрат всегда оценивается на основании
известных (в зависимости от их целевого назначения) цен».
Котляров С.Я. в работе «Управление затратами» дает следующее
определение: «Затраты — это стоимость ресурсов, используемых в дальнейшем
для получения прибыли или достижения иных целей организации».
Понятие «затраты» можно разделить на два направления: затраты
предприятия и затраты на производство.
Затраты предприятия — это
расходы на создание производственных запасов материально-технических ресурсов,
услуги (работы) поставщиков и приобретение трудовых ресурсов, а также расходы
предприятия, непосредственно не связанные с его хозяйственно-производственной
деятельностью и покрываемые за счет прибыли и других финансовых источников.
В зависимости от назначения затраты предприятия подразделяются на нормальные и нейтральные.
Нормальные — это затраты на
ресурсы, потребленные в процессе производства на выпуск готовой продукции,
выполнение работ и оказание услуг. Они включаются в себестоимость готовой
продукции и незавершенного производства.
Нейтральные — это затраты,
не относящиеся непосредственно к процессу производства. К ним относятся затраты
на оплату сторонним организациям за продукцию, работы и услуги
производственного характера, за работы и услуги непроизводственного характера,
а также затраты, учтенные в отчетном периоде, но осуществленные в
предшествующих отчетных периодах либо подлежащие осуществлению в будущем.
Нейтральные затраты направлены на формирование производственных запасов и
оплату всех других внешних работ и услуг, обеспечивающих возможность основной
хозяйственной деятельности предприятия. Эти затраты могут иметь как
производственный, так и непроизводственный характер, но каждая группа должна
быть учтена обособленно согласно экономической природе их возникновения.
Экономическая структура затрат предприятия показана в табл. 1.
Таблица 1
Экономическая
структура затрат предприятия
┌────────────────────────────────────────────────────────────────────────────────┐
│                               Затраты
предприятия
│
├───────────────────────────────────────────────────┬────────────────────────────┤
│
              Нейтральные                    │         Нормальные         │
├─────────────┬───────────────────┬─────────────────┼─────────────┬──────────────┤
│Произведенные│Оказанные          │Учтенные в       │
Основные  │Дополнительные│
│сторонними   │сторонними         │отчетном
периоде,├─────────────┼──────────────┤
│предприятиями│предприятиями      │но
осуществленные│Издержки
│Издержки      │
│продукция,   │услуги и работы    │в предшествующих
│производства,│незавершенного│
│работы и     │непроизводственного│отчетных
периодах│включаемые в │производства, │
│услуги │характера │либо подлежащие │себестоимость│выполненных │
│ │ │осуществлению │готовой │работ │
│ │ │в предстоящие │продукции │и оказанных │
│ │ │периоды времени │ │услуг │
│             │                   │
│└────────────
────────────┘│
│ │ │ │ \/ │
│ │ │ │ Фактическая себестоимость │
│ │ │ │ продукции │
└─────────────┴───────────────────┴─────────────────┴────────────────────────────┘
Принято
считать, что затраты предприятия — это его активы, отражаемые в балансе и
способные принести доход в будущем.
Затраты на производство —
это стоимость части ресурсов (затрат) предприятия, которые израсходованы на
изготовление продукции, выполнение работ и оказание услуг за определенный
(отчетный) период времени. Следовательно, понятие «затраты
предприятия» шире, чем понятие «затраты на производство».
Затраты на производство и издержки производства понятия тождественны,
так как в основе их определения лежит стоимостная оценка основных средств,
материальных и трудовых ресурсов, потребленных в производстве.
Расходы. В Положении
по бухгалтерскому учету «Расходы организации» (ПБУ 10/99) дано
следующее определение расходов: «…расходами организации признается
уменьшение экономических выгод в результате выбытия активов (денежных средств,
иного имущества) и (или) возникновения обязательств, приводящее к уменьшению
капитала этой организации, за исключением уменьшения вкладов по решению
участников (собственников имущества)».
Таким образом, расходами считается уменьшение экономических выгод в
течение отчетного периода или возникновение обязательств, которые приводят к
уменьшению капитала, кроме изменений, обусловленных изъятиями собственников.
Расходы включают такие статьи, как издержки на производство и реализацию
продукции (работ, услуг), оплату труда работников и управленческого персонала,
амортизационные отчисления, а также потери (убытки от стихийных бедствий,
продажи основных средств, изменений валютных курсов и др.).
По признаку принадлежности к отчетным периодам расходы предприятия
делятся на две категории:
— расходы данного (текущего) отчетного периода;
— отложенные расходы.
Расходы данного (текущего)
отчетного периода — расходы, обусловленные фактами производственно-хозяйственной
деятельности текущего отчетного периода и отраженные в отчете о прибылях и
убытках данного периода. По признаку взаимосвязи с доходами отчетного периода
они делятся:
— на расходы, обусловленные полученными в данном отчетном периоде
доходами;
— расходы, не связанные с получением текущих доходов (расходы периода).
Отложенные расходы —
расходы, связанные с производственно-хозяйственными операциями по использованию
ресурсов предприятия, осуществляемыми в данном отчетном периоде с целью
получения возможных доходов в будущем. Это условные расходы, они не признаются
в качестве расходов в текущем отчетном периоде и не включаются в отчет о
прибылях и убытках. Отложенные расходы подлежат капитализации на балансе
предприятия.
Отложенные расходы по признаку возможности возникновения будущих
ресурсов предприятия делятся:
— на инвестиции (капитальные вложения);
— расходы будущих периодов.
Классификация расходов показана на рис. 3.
Классификация расходов
┌───────────────────┐
│ Расходы │
└─────────┬─────────┘
┌─────────────────┴───────────────┐
┌───────────┴────────────┐
┌─────────┴────────┐
            │Расходы текущего
периода│          │Отложенные
расходы│
└───────────┬────────────┘
└─────────┬────────┘
┌────────────┴─────────┐
┌─────┴───────┐
┌──────────┴───────────┐┌─────────┴─────────┐
┌─────┴────┐┌───────┴───────┐
│Расходы,
обусловленные││
Расходы,     │ │          ││Расходы будущих│
│ полученными в
текущем││    не
связанные   │
│Инвестиции││
периодов   │
│   периоде доходами   ││с получением дохода│
│          ││               │
└──────────────────────┘└───────────────────┘
└──────────┘└───────────────┘
Рис. 3
Расходы
подлежат признанию в финансовом учете независимо от намерения получить выручку.
Они признаются в том отчетном периоде, в котором были совершены.
Из определения расходов, приведенных в ПБУ 10/99
«Расходы организации», следует, что, с одной стороны, понятие «расходы»
более емкое, чем понятие «затраты». В расходы кроме затрат включают
убытки предприятия (убытки прошлых лет, выявленные в отчетном году, суммы
долгов, нереальных для взыскания, и др.). С другой стороны, в состав расходов
не включают дополнительные и прочие затраты, связанные с калькуляционными
расчетами. С учетом этих затрат понятие «затраты» становится более
емким, чем понятие «расходы».
Доходы. Согласно ПБУ 9/99
«Доходы организаций» доходом организации признается увеличение
экономических выгод в результате поступления активов (денежных средств, иного
имущества) или погашения обязательств, приводящее к увеличению капитала этой
организации, за исключением вкладов участников (собственников имущества).
Доходы включают такие статьи, как выручка от реализации продукции, выполнения
работ, оказания услуг, проценты и дивиденды к получению, арендная плата, прочие
доходы (поступления от продажи излишних основных средств, от переоценки
рыночных ценных бумаг и др.). Не признаются доходными такие поступления, как
суммы налога на добавленную стоимость, акцизов, налога с продаж, экспортных
пошлин, предварительная оплата продукции, работ, услуг, погашение кредита,
предоставленного заемщику.
Экономическая структура доходов предприятия показана в табл. 2.
Таблица 2
Экономическая
структура доходов предприятия
┌─────────────────────────────────────────────────────────────────────────────┐
│                           Поступления
предприятия
│
├───────────────────────────────────────────────┬─────────────────────────────┤
│ Нейтральные │ Нормальные │
├────────────┬───────────────────┬──────────────┼─────────────┬───────────────┤
│От │От сторонних │Поступившие │От продажи │От продажи │
│покупателей │предприятий за │в отчетном │продукции │дополнительных │
│за проданную│услуги и работы │периоде за │основного │видов │
│продукцию,
│непроизводственного│предшествующие│производства
│продукции,     │
│работы      │характера          │отчетные      │или основного│работ и
услуг  │
│и услуги    │
                 │периоды       │вида         │вспомогательных│
│других      │                   │              │деятельности
│производств    │
│предприятий │ │ │ │
│            │                   │
│└────────────
─────────────┘│
│ │ │ │ \/ │
│            │                   │              │Выручка от продажи
продукции,│
│            │                   │              │ выполнения работ и
оказания │
│ │ │ │ услуг │
├────────────┴───────────────────┴──────────────┴─────────────────────────────┤
│                              Доходы
предприятия
│
└─────────────────────────────────────────────────────────────────────────────┘
Основным
подходом при классификации отдельных понятий о поступлениях является их
сопоставление с составом выручки от продажи продукции, выполнения работ и
оказания услуг предприятием. В табл. 2 видно, что выручка представляет собой
только часть доходов предприятия, в которую включаются доходы от реализации
продукции, работ, услуг основного и вспомогательного производств (нормальные
доходы). В эти доходы не входят нейтральные денежные поступления: за проданную
продукцию, изготовленную другими предприятиями, за работы и услуги
непроизводственного характера, оказанные другим предприятиям, и поступления в
отчетном периоде за предшествующие отчетные периоды. Они используются на
покрытие затрат непроизводственного характера.
Издержки — это стоимостная
оценка товаров и услуг, израсходованных на предприятии в процессе производства
и сбыта продукции. При учете издержек рассматриваются только те хозяйственные
операции, которые непосредственно относятся к производственному процессу. Следовательно,
в состав издержек производства входят потребленные в процессе производства
материальные и трудовые ресурсы, обусловленные нормальными условиями протекания
сертифицированных технологических процессов изготовления продукции в основных и
вспомогательных производствах.
В зависимости от организации производства издержки делятся на две
группы:
— основные издержки производства — это амортизационные отчисления,
стоимость материальных и трудовых ресурсов предприятия, потребленных за
определенный (отчетный) период времени в процессе основного производства;
— дополнительные издержки производства — возникают во вспомогательных
производствах.
Необходимо отметить, что издержки и затраты — понятия взаимосвязанные.
Они характеризуют стоимостную оценку потребления товаров и услуг. Издержки —
денежное измерение суммы ресурсов, используемых с какой-либо целью. Тогда
затраты можно определить как издержки, понесенные предприятием в момент
приобретения каких-либо материальных ценностей или услуг. Однако имеются и
существенные отличия.
Издержки, совпадающие с затратами (так называемые основные издержки),
составляют часть общей суммы издержек. Другую часть составляют издержки,
стоимостная оценка которых отличается от величины соответствующих им затрат.
Разница в оценке издержек и соответствующих им затрат является
следствием того, что в учете издержек расход материалов оценивается по твердым
нормативным ценам, а в затратах используются данные о фактически уплаченных
закупочных ценах.
Другим отличием является разница в распределении затрат по периодам:
единовременные затраты относятся в финансовом учете на тот отчетный период, в
котором они были осуществлены, а в производственном учете они распределяются
частями на несколько периодов в соответствии с производством продукции на предприятии.
В основе построения системы производственного учета в рамках
управленческого учета лежат вопросы, непосредственно связанные с управлением
издержками производства: классификация, характеристика, анализ и их влияние на
финансово-экономические показатели предприятия.
Необходимо отметить, что в условиях регулируемой, плановой экономики,
которая была в прошлые годы и в основе которой лежало установление твердых
прейскурантных цен на продукцию предприятий, остро не стоял вопрос управления
издержками производства. В условиях рыночной экономики, как показывает опыт
развитых зарубежных стран, процесс управления издержками производства актуален
и необходим.
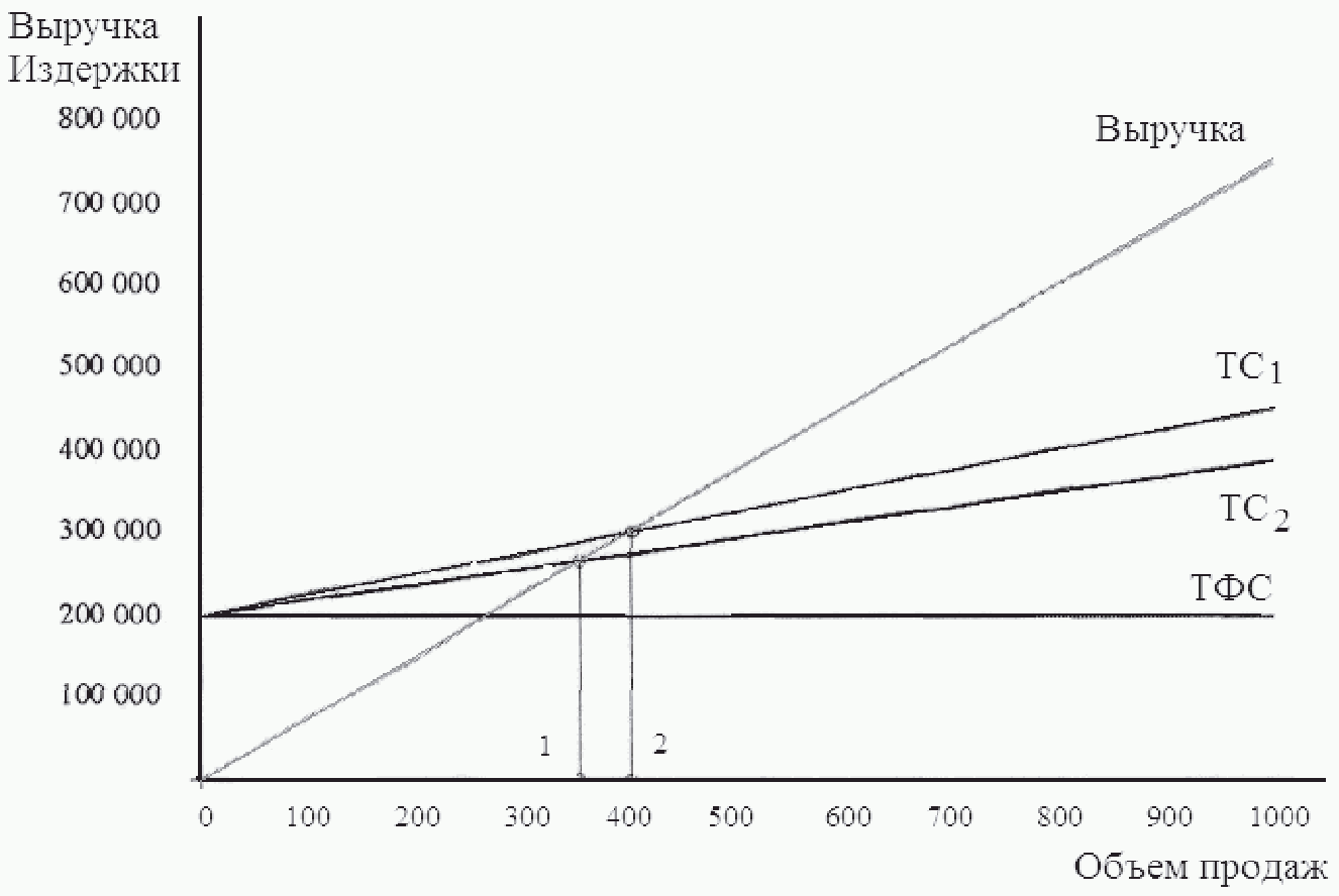
Издержки производства лежат в основе расчетов себестоимости продукции
предприятия, характеризуют ее конкурентоспособность.
Учет издержек производства позволяет произвести расчеты целого ряда
экономических показателей предприятия: маржинального дохода и маржинальной
прибыли, точки безубыточности, операционного рычага, запаса финансовой
прочности и др.
Себестоимость — это
выраженные в денежной форме текущие издержки предприятия на производство и
реализацию продукции. Издержки производства формируют себестоимость, которая в
зависимости от степени готовности подразделяется на себестоимость готовой
продукции и себестоимость незавершенного производства.
Себестоимость готовой продукции
(работ, услуг) — это скалькулированные издержки производства по ее видам,
наименованиям и единицам. Другими словами, это часть стоимости израсходованных
элементов производства.
Себестоимость незавершенного
производства — это издержки незавершенного производства продукции
(полуфабрикаты, полупродукты), остающиеся в конце отчетного периода в процессе
труда (обработки, переработки) на различных его стадиях.
Себестоимость определяется в целях расчета оптовой цены на продукцию
(работы, услуги) и налогообложения прибыли.
Неправильное отнесение затрат на расходы, уменьшающие налогооблагаемую
базу, может привести к серьезным ошибкам в финансовом и налоговом учете. От
того, насколько правильно классифицированы и отнесены на себестоимость расходы
предприятия, зависит правильное исчисление налога на прибыль.
Себестоимость в целях финансового учета формируется на основании ПБУ 10/99
«Расходы организации». В целях налогообложения прибыли для
определения себестоимости руководствуются Законом
РФ «О налоге на прибыль предприятий и организаций» (гл. 25
Налогового кодекса РФ).
В указанных законодательных документах расходы, включаемые в
себестоимость продукции, в целом идентичны, однако имеются отдельные
расхождения.
Так, в ПБУ 10/99
«Расходы организации» в перечне группировок при формировании расходов
по обычным видам деятельности включены отчисления на социальные нужды (в
калькуляцию они включены отдельной статьей расходов), в то же время в Законе
«О налоге на прибыль предприятий и организаций» они отсутствуют.
Имеются также расхождения в способах расчета амортизационных
отчислений, что будет рассмотрено в гл. 5 пособия.
Опыт расчета себестоимости на зарубежных предприятиях показывает, что
наряду с расчетом полной себестоимости целесообразно производить расчет
частичной (неполной) себестоимости. В ней учитываются только переменные
издержки как основной фактор в себестоимости продукции, а постоянные относятся
на отдельный счет и списываются за счет прибыли соответствующего периода
времени. Неполная себестоимость позволяет более оперативно производить анализ
отклонений фактической себестоимости от плановой и принимать соответствующие
решения. В условиях рыночной конкуренции оперативность, своевременность
принятия управленческих решений актуальна. Отдельно вопросы себестоимости
рассмотрены в гл. 7 пособия.
Резюме
В
отечественной практике зачастую понятия «доходы»,
«расходы», «затраты» и «издержки» производства на
уровне предприятия используются как синонимы, хотя по сути они различаются как
по содержанию, так и по их применению.
В связи с многоплановостью их использования трудно, а практически
невозможно, установить законодательно границы их применения. На основании
многолетнего опыта финансового и управленческого учетов можно дать кратко
следующие основные направления (области) применения указанных показателей.
Показатель «Издержки»
из числа рассмотренных является наиболее обобщающим показателем. Они являются
исходными, начальными элементами расчета всех рассмотренных экономических
показателей. Издержки производства формируют себестоимость единицы продукции
(калькулирование).
По мере накопления денежных средств по отдельным видам издержек в
местах возникновения издержек они трансформируются в затраты по центрам
ответственности.
Показатель «Затраты»
находит широкое применение в финансовом и управленческом учетах. Формирование
материально-технических ресурсов, общехозяйственные и общепроизводственные
потребности, план производства и реализации продукции и другие планируются и
учитываются в затратах.
С точки зрения финансового учета затраты должны накапливаться на счетах
«Материалы», «Амортизация», «Расчеты по оплате
труда», «Основное производство», «Готовая продукция»,
«Продажи» и др.
«Доходы» и «Расходы» — это показатели
финансовой отчетности. Они образуют бюджет доходов и расходов (прибылей и
убытков), служат основой для расчета баланса предприятия (месячного,
квартального, годового), а также являются планово-отчетными показателями для
производственных и вспомогательных цехов предприятия. Показатель
«Доходы» планируется по центрам ответственности (наряду с затратами).
Показатель «Себестоимость»
— важнейший показатель производственной деятельности предприятия. Она
рассчитывается на все виды выпускаемой продукции и оказываемые услуги. Снижение
себестоимости — актуальный вопрос для любого предприятия независимо от
масштабов и форм собственности. На предприятии ежегодно разрабатывается план
совершенствования и развития производства, главная цель которого — повышение
производительности труда и снижение себестоимости выпускаемой продукции. При
обосновании экономической эффективности поданных рационализаторских предложений
и изобретений учитывается их влияние на себестоимость продукции.
Контрольные вопросы
1. Цели и
задачи управленческого учета.
2. Какие функции должен выполнять специалист по управленческому учету?
3. Опишите существенные отличия финансового и управленческого учета.
4. Что такое издержки производства? Как они соотносятся с затратами?
5. Что такое расходы предприятия? Их взаимосвязь с затратами.
6. Что включается в доходы предприятия?
7. Что такое себестоимость?
8. Расходы: назовите элементы расходов, виды.
9. Доходы: назовите элементы доходов, виды.
10. Дайте характеристику затратам предприятия.
Глава 2. ОСНОВЫ ОРГАНИЗАЦИИ ПРОИЗВОДСТВЕННОГО УЧЕТА
2.1. Предпосылки организации производственного учета
Внешние
правовые положения при организации финансового и управленческого учета на
предприятии исходят из того, что в условиях социально ориентированной рыночной
экономики они ведутся согласно законодательным нормам, которые должны быть
корректны в правовом отношении и служить защитой как интересов собственников
(предпринимателей), так и интересов государства.
Особо важным является создание корректных экономико-правовых
предпосылок ведения учета, так как во все времена он велся в интересах
собственника, права которого на объект собственности государство защищало
законодательно.
Авансируемые в производственно-финансовую деятельность капиталы должны
быть защищены законами как от необоснованных и незаконных требований со стороны
кредиторов, так и самого государства в лице его налоговых и других проверяющих
органов.
Однако до настоящего времени не разработан и не подтвержден
законодательно практический механизм реального сохранения этого капитала,
особенно в условиях инфляции.
Механизм публичного признания доходов, расходов и присвоения прибыли в
законодательном отношении также не разработан. Законодательная ответственность
производителя перед потребителем скорее декларирована в реальной жизни
общества.
Отсутствует независимый экспертный метрологический вневедомственный
контроль за соблюдением производителями параметров потребительских свойств
выпускаемой ими продукции.
Признание расходов с точки зрения требований социально ориентированной
рыночной экономики невозможно не только из-за отсутствия жалоб покупателей на
количество и качество продукции конкретного производителя, но и из-за
невозможности осуществления дополнительной проверки правильности ведения учета
и отчетности официальными представителями покупателей. Такую дополнительную
проверку и контроль позволит осуществить организация учета издержек
производства на предприятии.
Необходимость организации производственного учета обусловлена еще и
усилением конкуренции, усложнением производственных процессов и необходимостью
максимально быстро приспосабливаться к постоянно меняющейся рыночной среде.
Для предприятий все более актуальной становится проблема получения
информации, объективно и оперативно отражающей производственно-хозяйственную
ситуацию.
Финансовый учет представляет лишь малую часть такой информации, так как
не затрагивает внутрипроизводственные процессы. Поэтому организация
производственного учета приобретает все большее значение для управления
предприятием.
К числу наиболее важных задач производственного учета относятся:
— информационное обеспечение процесса принятия решений;
— обеспечение базы для ценообразования;
— контроль экономической эффективности деятельности предприятия;
— получение данных о результатах деятельности предприятия;
— расчет стоимостной оценки для статей баланса.
Для решения этих задач в современной российской экономике требуется
дальнейшее развитие законодательной базы. Разработанная нормативная база
финансового учета позволит дальше развивать производственный учет на
предприятии на основе отечественных научных и практических разработок, а также
зарубежного опыта исследований после их тщательного изучения.
2.2. Организационные формы производственного учета
Многообразие
конкретных условий, в которых функционируют отдельные предприятия,
обусловливает разнообразие конкретных форм организации производственного учета.
На рис. 4 представлены основные факторы, определяющие выбор форм
производственного учета.
Факторы, определяющие выбор форм производственного учета
┌───────────────────────┐
 
┌──────────────┤       Подсистема
├───────────┐
             │              │производственного
учета│           │
             │
└───────────┬───────────┘           │
┌──────────┴────────────┐             │              ┌────────┴─────────┐
  │                       │
┌───────────┘              │ Основные признаки│
  │
Основные факторы,   │
│                          │
классификационных│
┌─┤определяющие
выбор форм│ │
┌────────────────────────┤       форм       │
│
│производственного учета│ │ │                        │
производственного│
│ │                       │ │
│
│       учета      │
│
└───────────────────────┘
│ │
└──────────────────┘
│ │ │
│
┌───────────────────────┐
│ │  ┌──────────────────┐
┌──────────────────┐
├─┤     Экономические     │ │ │  │
Форма связи
├──┤
Интегрированная │
│
└───────────────────────┘
│ │  │ производственной
│  │  (монистическая) │
│                           │ ├──┤   и финансовой   │
└──────────────────┘
│
┌───────────────────────┐
│ │  │    бухгалтерии   │
┌──────────────────┐
├─┤ Организационные │ │ │ │ ├──┤ Автономная │
│
└───────────────────────┘
│ │  └──────────────────┘
└──────────────────┘
│                           │ │
┌──────────────────┐
│
┌───────────────────────┐
│ │  ┌──────────────────┐  │
Учет прошлых   │
└─┤Технико-технологические│
│ │  │
├──┤
(фактических)  │
└───────────────────────┘
│ │  │   Оперативность  │
│     издержек     │
                            │
├──┤  учета
издержек  │  └──────────────────┘
┌───────────────────────┐
│ │  │                  │  ┌──────────────────┐
  │
Структура
├─┘ │
│
├──┤
Система     │
  │производственного учета│   │
└──────────────────┘  │нормативного учета│
└──────────┬────────────┘   │
└──────────────────┘
             │                │
┌──────────────────┐
┌──────────┴────────────┐   │
┌──────────────────┐  │
Система учета  │
  │
Анализ и принятие   │   │
│
├──┤
полной      │
  │ управленческих решений│   │
│      Полнота
│  │   себестоимости  │
└──────────┬────────────┘   └──┤    учитываемых   │
└──────────────────┘
             │                   │     издержек     │
┌──────────────────┐
┌──────────┴────────────┐      │                  │  │
Система учета  │
  │
Учет издержек     │      │
├──┤
неполной     │
  │
и результатов     │
└──────────────────┘  │
себестоимости  │
└──────────┬────────────┘
└──────────────────┘
┌────────┴──────┬───────────────┬──────────────┬───────────────┐
┌───┴────┐
┌────────┴───────┐
┌─────┴─────┐
┌──────┴──────┐
┌──────┴──────┐
│  Учет
│ │  Учет издержек
│ │    Учет   │ │     Учет
│ │    Отчеты   │
│издержек│
│    по местам   │ │издержек по│ │
результатов │ │  по годовым
│
│по видам│
│  возникновения │ │
носителям │ │по источникам│ │ результатам │
│ │ │ │ │ │ │ информации │ │ │
└────────┘
└────────────────┘
└───────────┘
└─────────────┘
└─────────────┘
Рис. 4
В
практике зарубежной организации производственного учета применяются два
варианта связи между производственной и финансовой бухгалтерией:
интегрированная (монистическая) и автономная.
При интегрированной (монистической) связь осуществляется при помощи
контрольных счетов, которыми являются счета доходов и расходов финансовой
бухгалтерии. Автономная связь основана на использовании парных контрольных
счетов одного и того же наименования, известных как отраженные, зеркальные
счета, или счета-экраны. При этой связи организуются финансовая и
производственная бухгалтерии, предусматривается двойной документопоток.
Автономная связь сложнее организационно и требует значительного расхода
финансовых средств. Поэтому на практике интегральная связь находит большее
применение, чем автономная.
2.3. Содержание и интеграция функций управления
производственным
учетом
Основы
теории управления производственными издержками заложены в работах таких
зарубежных ученых, как Кэмпбелл Р. Макконнелл и Стенли Р. Брю, Р. Мюллендорф и
М. Карренбауэр, Я. Томпсон и Дж. Формби и др. В них рассмотрены вопросы анализа
и управления издержками, перестройки цепи производства — издержки с позиций
теории управления издержками, стратегии управления издержками. Систематически
изложены проблемы конкуренции по издержкам, установления цен на основе
социальных издержек, управления издержками фирмы в переходный период.
Работы отечественных ученых: С.А. Николаевой, В.И. Ткача и М.В. Ткача,
Т.П. Карповой, А.Н. Цацулина, И.В. Липсица и др. — посвящены в основном
вопросам привязки зарубежного опыта к отечественной специфике и особенностям
управления экономикой в период перехода к рыночным методам управления. Вместе с
тем эти работы дают возможность сформулировать методические принципы, которые
могут быть положены в основу управления производственным учетом.
Для создания комплексной системы управления издержками прежде всего
требуется:
— разработать общую схему управления издержками производства;
— классифицировать издержки производства;
— разработать механизм управления издержками.
Схема интеграции функций управления производственным учетом в
организационную структуру управления предприятия показана на рис. 5.
Схема интеграции функций управления производственным учетом
┌────────────────────────────────────────────────┐
│ Стратегический план маркетинга │
└────────────────────────┬───────────────────────┘
\│/
┌────────────────────────┴───────────────────────┐
│ Формирование исходной информации │
└────────────────────────┬───────────────────────┘
┌──────────────────┬─────────────┼────────────┐
│ \│/ │ \│/
         │
┌──────────┴──────────┐  │
┌─────────┴──────────┐
         │       │    Регулирование    │
│  │   Прогнозирование  │
         │
└──────────┬──────────┘  │
└─────────┬──────────┘
│ \│/ \│/ \│/
├──────>┌──────────┴─────────────┴────────────┴──────────┐
│ ┌───┤ Планирование │<──────┐
         │   │
└────────────────────────┬───────────────────────┘       │
│ │ \│/ │
         │   │
┌────────────────────────┴───────────────────────┐       │
│ ├──>│ Нормирование │<──────┤
         │   │
└────────────────────────┬───────────────────────┘       │
│ │ \│/ │
         │   │
┌────────────────────────┴───────────────────────┐       │
         │   ├──>│                 Стимулирование
│<──────┤
         │   │
└────────────────────────┬───────────────────────┘       │
Обратная │ │ \│/ │
  связь
│   │
┌────────────────────────┴───────────────────────┐       │
         │   ├──>│      Учет издержек в процессе
производства     │<──┐   │
         │   │
└────────────────────────┬───────────────────────┘   │
│
│ │ \│/ │ │
         │
│
┌────────────────────────┴───────────────────────┐   │
│
         │   ├──>│           Калькулирование (отчетное)           │   │
│
         │   │
└────────────────────────┬───────────────────────┘   │
│
│ │ \│/ │ │
         │
└──>┌────────────────────────┴───────────────────────┐   │
│
│<──────┤          Экономический анализ издержек         │<──┘   │
         │
└────────────────────────┬───────────────────────┘       │
│ \│/ │
         │
┌────────────────────────┴───────────────────────┐       │
         │       │                Контроль издержек
├───────┘
         │
└────────────────────────┬───────────────────────┘
│ \│/
         │
┌────────────────────────┴───────────────────────┐
└<──────┤              Минимизация издержек              │
└────────────────────────────────────────────────┘
Рис. 5
Рассмотрим
отдельные элементы схемы.
Планирование — процесс,
направленный на приведение в соответствие возможностей предприятия с условиями
рынка. Оно включает определение минимальных нормативных потребностей в
издержках производства. Система планирования является базовым элементом,
обеспечивающим функционирование системы управления производственными
издержками.
В традиционно применяемой на предприятиях системе планирования
производственно-хозяйственной деятельности в той или иной мере присутствует
планирование производственных издержек. Но действующая система планирования не
соответствует требованиям сегодняшнего дня. В настоящее время назрела
необходимость создания системы планирования, нацеленной на оптимизацию издержек
производства. Как показывает опыт развитых стран, перестройка системы
планирования на предприятиях должна идти именно в этом направлении.
Планирование только тогда эффективно, когда оно базируется на
статических исследованиях, анализе результатов хозяйственной деятельности и
определении нормативной потребности в издержках производства.
Нормирование — процесс
научно обоснованного расчета норм и нормативов, направленный на обеспечение
эффективного использования всех видов ресурсов и изыскание путей наиболее
эффективного их превращения в продукцию. Комплекс норм и нормативов составляет
нормативное хозяйство предприятия, охватывающее все стороны его деятельности.
Норма расхода — это
максимально доступная величина абсолютного расхода сырья, материалов и других
элементов оборотных средств на производство единицы продукции (работ, услуг)
установленного качества в условиях производства планируемого года.
Нормативы — это показатели,
характеризующие относительную или удельную величину расхода ресурсов (орудий
труда, предметов труда) на единицу площади, массы, объема и др. Например,
коэффициент использования оборудования, нормативы съема продукции с 1 м2
производственной площади или пода печи и т.д.
На предприятии предусматриваются следующие основные группы нормативов:
— нормативы эффективности общественного производства. Эффективность
общественного производства определяется как отношение чистой продукции к полной
ее себестоимости;
— нормативы затрат труда и заработной платы: нормы времени на вид
продукции, работы или услуги, нормы выработки, нормативы численности и
обслуживания, полная трудоемкость единицы продукции, тарифные ставки и
должностные оклады, расценки на технологическую операцию, деталь, вид
продукции;
— нормативы расхода сырья, материалов и топливно-энергетических
ресурсов и запасов, которые определяют расход материальных ресурсов в основном
и вспомогательном производстве, на ремонт и эксплуатацию основных фондов, в
капитальном строительстве, устанавливают нормы производственных, сбытовых,
товарных запасов сырья, материалов и топлива;
— финансовые нормативы. Они определяют взаимоотношения с бюджетом,
формирование фонда оплаты труда, фондов экономического стимулирования и другие
стороны хозяйственной деятельности предприятия;
— нормы денежных затрат на производство (отчисления на целевые
мероприятия, оплата услуг и обслуживания и др.);
— нормативы охраны окружающей среды: предельно допустимые уровни
вредных выбросов, загазованности, запыленности, шумности.
На предприятиях система нормативов трансформируется в нормативную базу.
Нормативная база должна учитывать специфику производственных процессов на
предприятии, предусматривать полное использование мощностей, применение
прогрессивных научно обоснованных норм затрат труда, расхода материальных
ресурсов, осуществление экономически целесообразных замен материалов и изделий,
вовлечение в хозяйственный оборот вторичных ресурсов. Это способствует снижению
издержек производства, росту дохода предприятия, соответствует экономическим
интересам трудового коллектива и личным интересам работника.
В отечественной научной литературе иногда встречается мнение, что
функция нормирования первична, а функция планирования вторична, что ошибочно.
Организация освоения и производства новой продукции на предприятии
осуществляется в следующей последовательности:
1) мероприятие включается в план развития производства;
2) производится техническая подготовка по выпуску новой продукции,
которая состоит из конструкторской и технологической подготовок;
3) в процессе технической подготовки рассчитываются нормы и нормативы,
необходимые для выпуска данной продукции (изделия);
4) на базе разработанных норм и нормативов осуществляется подготовка,
освоение и выпуск новой продукции.
Такая организация существует независимо от степени сложности и
масштабов будущего выпуска продукции. Поэтому функция планирования всегда
первична. В противном случае предприятие на базе действующих норм и нормативов
не сможет освоить выпуск новой продукции.
Стимулирование — средство
мотивации участников производственного процесса, побуждающее уяснить цели и
задачи предприятия в вопросах стимулирования экономии издержек производства,
управления издержками и принимать решения, соответствующие этим целям.
Разработка и внедрение системы стимулирования управления издержками
являются одним из важных вопросов в части обеспечения эффективности
функционирования организационных структур управления производственными
издержками.
Вопросы стимулирования управления производственными издержками в
отечественной научной литературе практически не рассматривались.
Как показывает опыт развитых стран, система стимулирования, наряду с
другими организационными мероприятиями, обеспечивает внедрение и
функционирование системы управления издержками производства. Каждый работник
должен знать показатели и порядок морального и материального стимулирования при
выполнении плановых заданий по издержкам производства.
Рассмотрим общие принципы создания системы стимулирования при
организации управления издержками производства на предприятии. Система
стимулирования управления издержками производства должна удовлетворять
следующим требованиям:
— структурное подразделение (производственный участок, цех, отдел и
т.д.) должно планировать только те виды издержек, на которые оно может оказать
непосредственное влияние;
— одним из отчетных технико-экономических показателей работы
подразделений должен быть показатель достижения запланированного уровня
издержек и мероприятий по их экономии;
— оплата труда конкретного работника и фонд оплаты труда подразделения
должны быть увязаны, по возможности, с результатами деятельности в случаях,
когда несоблюдение запланированного уровня издержек приводит к ухудшению
результатов деятельности предприятия.
Для создания системы стимулирования управления издержками производства
на предприятии рекомендуется разработать положение о внутризаводском
планировании издержек производства и оценке выполнения подразделениями планов
по издержкам (наименование документа может быть и другим).
Положение вводится с целью повышения стимулирующего воздействия премий
на внедрение и функционирование системы управления издержками производства.
В положении следует предусмотреть следующие разделы:
— планирование и отчетность;
— ответственность за выполнение плана по издержкам;
— премирование за выполнение показателей.
Рассмотрим кратко предполагаемое содержание разделов положения.
Планирование и отчетность.
Документами для разработки планов по издержкам являются:
— план по производству продукции;
— план по себестоимости продукции.
Себестоимость каждого вида продукции определяется расчетом плановых
калькуляций. Основой для их расчета являются утвержденные руководителем
предприятия нормы и нормативы расхода сырья, материалов, энергии и т.д. на
единицу продукции на планируемый год. Зная издержки по статьям плановых
калькуляций по каждому виду продукции и объем производства, рассчитывают
годовой план по издержкам производства на планируемый год в разрезе видов
продукции как произведение величины издержек на объем производства.
Производственно-диспетчерский отдел (ПДО) предприятия разрабатывает месячные
календарные планы по издержкам. Они согласуются с отделом подготовки
производства (ОПП) в части обеспечения плановой себестоимости и доводятся до
производственных цехов и участков. Планово-диспетчерское бюро (ПДБ) цеха
расписывает полученный план по центрам ответственности. По окончании месяца в
установленные сроки ПДБ цеха составляет отчет по издержкам. Отчеты цехов по
издержкам согласуются в ОПП и передаются в главную бухгалтерию.
После прохождения согласований отчеты отдаются в бухгалтерию цеха для
начисления премий. Общее руководство планированием издержек производства и
отчетностью осуществляет центр по управлению издержками.
Ответственность.
Ответственность за выполнение плана по издержкам производства должна
быть возложена на руководителей центров ответственности цеха. Они назначаются
руководителем предприятия и являются, как правило, руководителями
производственных подразделений цеха.
Руководитель центра ответственности в цехе, оценивая результаты работы
подразделения на заданном уровне издержек производства или их снижения, может,
во-первых, определить (оценить), насколько хорошо он справляется с управлением
издержками, а во-вторых, он будет использовать каждую благоприятную возможность
для поиска путей экономии производственных ресурсов.
Наибольший эффект воздействия имеет не столько величина наказания,
сколько его неотвратимость.
Премирование.
Условия премирования (показатели премирования и размеры премий)
определяются предприятием самостоятельно. Премия выплачивается за выполнение
месячного плана по издержкам производства по каждому виду продукции. Снижение
издержек относительно плановых заданий должно премироваться по прогрессивной шкале.
Перерасход издержек по сравнению с планом не допускается. Центры
ответственности, допустившие перерасход издержек по отдельным видам продукции,
лишаются премии по ним. Цеха, производственные участки, своевременно не
представившие отчеты о выполнении плана по издержкам, премированию не подлежат.
Фонд стимулирования должен образовываться за счет дополнительной
прибыли, получаемой предприятием от снижения себестоимости реализуемой товарной
продукции. Между производственными цехами и участками он распределяется
пропорционально вкладу в общие результаты предприятия по снижению издержек
производства.
По каждому центру ответственности сумма премии начисляется в
зависимости от выполнения установленного плана по издержкам. Конкретные размеры
премии работникам центра определяются в зависимости от личного вклада в
выполнение заданий по издержкам. При этом премируются только те работники,
которые обеспечили качественное и своевременное выполнение установленных им
заданий.
Для более точного учета личного вклада каждого работника в выполнение
установленных заданий по издержкам рекомендуется следующая методика определения
количественной оценки эффективности труда работников.
Для оценки эффективности труда работников вводятся критерии:
К1 — своевременность выполнения планов работ и интенсивность
труда;
К2 — качество выполнения работ;
К3 — творческий вклад.
Расчет итоговой оценки эффективности труда работника производится по
формуле:
Кэтi
= БО +/- К1i +/- К2i +/- К3i,
где Кэтi
— оценка эффективности труда за месяц в баллах i-го работника;
БО — базовая оценка.
В качестве базовой оценки рекомендуется принимать 10 баллов, которыми
оценивается работник, работающий со средней производительностью труда, не
имеющий замечаний по качеству и проявляющий достаточно творческое отношение к
труду.
Показатели количественной оценки критериев К1, К2,
К3 («+» — повышение, «-» — понижение) должны
быть оговорены в положении.
Затем определяем условный показатель для начисления премии каждому
работнику:
Yпрi
= Ттрi x Кврi,
где Yпрi
— условный показатель i-го работника;
Ттрi — тарифный коэффициент i-го работника, рассчитывается
по формуле:
,
где Зтар
— тарифный месячный заработок работника, р.
Он рассчитывается:
Зтар
= li x tфакт,
где li
(р/ч) — часовая тарифная ставка i-го работника соответствующей квалификации;
tфакт — фактически отработанное время работником, час
(определяется по табельному учету);
Кврi — коэффициент, учитывающий отработанное время i-м
работником, рассчитывается по формуле:
,
где tкал
— месячный календарный фонд рабочего
времени, час. Определяется как
,
где Др
— количество рабочих дней в месяц;
tсм — продолжительность смены, час;
b — коэффициент потерь рабочего времени по организационно-техническим
причинам, % (принимаем 8 — 10%).
Рассчитывается сумма премии на единицу условного показателя по центру
ответственности в целом по формуле:
,
где n —
численность работников центра ответственности.
Сумма премии каждому работнику рассчитывается по формуле:
Прi
= Р x Yпрi, руб.
Размеры
премии каждому работнику центра ответственности проставляются в
ведомости-расчете, которая сдается в бухгалтерию цеха. Ответственность за
правильность расчетов несет руководитель центра ответственности.
Учет издержек — процесс
отражения использования издержек и результатов прошлой, настоящей и будущей
деятельности, соответствующей модели управления, ориентированной на выполнение
основной цели предприятия. Он обеспечивает нормальное функционирование системы
планирования производственных издержек.
К основным задачам учета издержек производства относятся:
— обеспечение руководства предприятия информацией о динамике издержек
для принятия решений;
— наблюдение и контроль за фактическим уровнем издержек в соответствии
с нормативами в целях выявления отклонений и формирования экономической
стратегии на будущее и принятие соответствующих решений;
— исчисление себестоимости выпускаемой продукции;
— выявление и оценка экономических результатов производственной
деятельности структурных подразделений.
Калькулирование — расчет
фактической (отчетной) себестоимости единицы продукции. Его задачи — определить
издержки, которые приходятся на единицу их носителя, то есть на единицу
продукции (услуг), предназначенной для реализации на рынке, а также на единицу продукции
(услуг) для внутреннего потребления. Вопросы калькулирования рассмотрены в гл.
6.
Экономический анализ издержек
— это анализ производственной деятельности как всего предприятия, так и
отдельных его подразделений с целью выявления отклонений и причин, вызвавших
сверхнормативные издержки. На основании данных производственного учета
производятся расчеты отдельных экономических показателей. Расчеты показателей
будут рассмотрены в гл. 10.
Контроль издержек —
завершающий этап процесса планирования, анализа и управления издержками
производства, направляющий деятельность предприятия на выполнение ранее
установленных заданий по уровню издержек производства. Он позволяет вскрывать и
разрабатывать мероприятия по устранению возникающих отклонений. Минимизация издержек — установление
новых значений издержек на изготавливаемую продукцию на основе опыта применения
действующих и повышения научно-технического уровня производства на предприятии.
2.4. Реализация функций управления производственным учетом
Для
реализации функций управления производственным учетом необходимо создать
специальный орган управления. В его качестве рекомендуется создавать
комплексные системы управления издержками, которые следует рассматривать как
кибернетические системы, имеющие в своем составе взаимосвязанные элементы,
информационные входы, обратные связи и т.д.
Отсюда следует, что система управления производственным учетом является
относительно замкнутой и состоящей из двух взаимосвязанных элементов:
— управляемой системы (объекта управления), способной воспринимать и
реализовывать управленческие решения;
— управляющей системы (органа управления), способной к разработке и
принятию управленческих решений и их реализации посредством воздействия на
объект управления.
Объектами управленческих воздействий в данном случае являются персонал
предприятия, предметы и средства труда, технологические процессы, структурные
подразделения предприятия.
Функционирование системы управления производственным учетом в общем
виде включает следующие элементы:
— сбор информации, отражающей уровень издержек производства;
— принятие решений по управлению издержками;
— доведение принятых решений до объекта управления;
— обеспечение реализации и контроль принятых решений.
Система управления производственного учета может стабильно и эффективно
функционировать в том случае, если объект управления регулярно получает
информацию, определяющую ее цели и задачи, а субъект управления — своевременную
и полную оперативную информацию о фактических издержках производства и причинах
их отклонения от запланированного уровня.
В процессе управления необходимо также по возможности полно учитывать
те воздействия внешней среды, которые влияют на эффективность функционирования
системы управления.
Общая схема функционирования системы управления производственным
учетом, в которой учтены сформулированные требования, приведена на рис. 6.
Общая схема функционирования системы управления
производственным
учетом
┌──────────────────────────┐
Хп │ Управляющая система │ Хф
┌──┤ (корпорация, холдинг) │<─┐
        │
└──────────────────────────┘  │
┌──┼────────────────────────────────┼──┐
     │
│
┌──────────────────────────┐  │
│
Вход │ └─>│ Управляющая подсистема ├──┘ │ Выход
     │
┌─>│
(предприятие)
│<─┐  │
     │
│
└──────────────────────────┘  │
│
     │
│
│  │
     │
│
┌──────────────────────────┐  │
│
     │
└─>│
Управляющая подсистема
├──┘
│
     │
│ (центры ответственности) │     │
     │
└──────────────────────────┘     │
└──────────────────────────────────────┘
Рис. 6
В
соответствии с поступившими плановыми заданиями по издержкам и их снижению (Хп)
составляются планы для центров ответственности (структурные подразделения, виды
работ и т.д.). Получив в ходе производственного процесса информацию от центров
ответственности (Хф), орган управления производственными издержками на уровне
предприятия анализирует ее, вносит дополнительные данные, разрабатывает
организационно-технические мероприятия, изыскивает средства и методы достижения
целей, принимает управленческие решения и доводит их до исполнителей. На рис. 6
под «Р» показаны неконтролируемые воздействия на систему, оказывающие
негативное влияние на уровень издержек производства.
В соответствии с рассмотренной общей схемой функционирования системы
управления структура управления издержками производства для ОАО
«Дальзавод» показана на рис. 7.
Структура управления издержками производства
ОАО
«Дальзавод»
┌────────────────────┐
┌───────────────────────────┐
                                                         │Генеральный
директор│────────>│Центр
управления издержками│
└─────────┬──────────┘
└─────────────┬─────────────┘
┌─────────────────────┬─────────────────────┬───────────┴───────┬─────────────────┬────────┼───────┐
┌──────────┴──────────┐
┌────────┴────────┐
┌──────────┴──────────┐
┌──────┴───────┐
┌───────┴───────┐
┌──────┴─────┐
│
Первый зам.     │
│     Директор    │ │     Технический     │ │   Директор
│ │    Главный    │││  Директор
│
│
гендиректора —   │ │
по производству │ │  директор
— главный │ │  по финансам
│ │   бухгалтер   │ │ по качеству│
│
коммер. директор  │
│                 │
│       инженер       │ │              │ │               │││            │
├─────────────────────┤
├─────────────────┤
├─────────────────────┤
├──────────────┤
├───────────────┤
├────────────┤
│ │ │ │ │ │ │ │ │ │││ │
├──────────┬──────────┤
├────────┬────────┤
├──────────┬──────────┤
├──────┬───────┤
├───────┬───────┤
├──────┬─────┤
│
/│\           │       /│\         │         /│\           │     /│\        │      /│\      │││     /│\
│          └── ──
── ─┤ ├─ ── ──
┴── ── ──│─┼
── ── ── ┴──
── ── ─┼ ┼─ ──
─┴ ── ──
┼─│── ── ─┴
── ── ┼┴┼─ ──
─┘     │
│
┌─────────────────┐   │
┌─────────────┐   │
┌─────────────────┐   │
┌──────────┐   │ ┌───────────┐   │
┌────────┐
│ │                 │ │ │
│  Управление │ │
│ │                 │
│ │ │Финансовый│ │ │ │   Служба
│ │ │ │ Служба │ │
├─┤Служба
маркетинга│
├─┤произв.-техн.│   ├─┤Технический
отдел│   └─┤   отдел
│   └─┤  главной
│
└─┤качества│
│ │                 │ │ │
│ комплектации│ │ │ │                 │ │   │          │ │   │бухгалтерии│ │   │        │ │
│
├─────────────────┤   │
├─────────────┤   │
├─────────────────┤     ├──────────┤
├───────────┤
├────────┤
│ │                 │<┤ │
│             │<┤
│ │                 │<┤   │          │<┤   │           │<┤   │        │<┤
│
└─────────────────┘   │
└─────────────┘   │
└─────────────────┘
└──────────┘
└───────────┘
└────────┘
│
┌─────────────────┐
│ │
┌─────────────┐
│ │
┌─────────────────┐
│
│ │    Начальник
│   │ │     Цеха
│   │ │      Отдел
│
└─┤    управления
│ │ └─┤
основного  │ │
└─┤инструментального│ │
│
│     │
производства│     │    хозяйства
│
├─────────────────┤
│   ├─────────────┤
│
├─────────────────┤
│
│
│<┤   │             │<┤   │                 │<┤
├─────────────────┴
┐   └─────────────┘
└─────────────────┘
│
┌───────────────┐
├─┤Служба главного│ │
│ │   экономиста  │
│
├───────────────┤
│
│ │
│<┤
│
└───────────────┘
│
┌───────────────┐
│
└─┤
Отдел     │
│ценообразования│ │
├───────────────┤
│
│<┤
└───────────────┘
Рис. 7
Главной
задачей руководителей центра управления является создание системы управления
производственными издержками на предприятии. Для этого необходимо выполнить
следующее:
— разработать регламентирующие документы (положения, должностные
инструкции и т.д.);
— разработать классификации издержек по видам и местам возникновения;
— разработать и изготовить формы плановых и отчетных документов,
обеспечивающих функционирование системы управления издержками;
— разработать и утвердить у первого руководителя структурную схему и
штатное расписание аппарата управления издержками;
— провести комплектование и подготовку персонала службы управления
издержками;
— организовать контроль соответствия издержек и достигнутых
результатов.
2.5. Компьютеризация управления производственным учетом
В
настоящее время на отечественных предприятиях компьютеризация в основном
коснулась расчетов по планированию прямых издержек (трудовых и материальных), а
также финансового учета.
Нормирование, планирование, учет и распределение косвенных издержек
компьютеризированы главным образом на заключительной стадии и базируются на
предварительных укрупненных нормативных расчетах. В то же время, например, в
условиях массового и серийного производства учет издержек можно вести только с
использованием средств вычислительной техники.
Недостаточный уровень компьютеризации первичного оперативного учета
издержек на производство, формирования и ведения нормативной базы, нестыковка
управленческого (производственного) и финансового учета не позволяют оперативно
контролировать и регулировать уровень издержек. Также необходимо, чтобы
расчеты, требуемые для управления издержками, были включены в общую
информационную, программную, техническую и организационную систему управления
предприятием.
Предпосылки для компьютеризации управления издержками производства
имеются. К их числу относятся:
— наличие высокопроизводительных и достаточно надежных средств
формирования, сбора, передачи, обработки и отображения управленческой
информации;
— существование экономико-математических методов прогнозирования,
планирования, учета и регулирования производственного процесса;
— настоятельная потребность в коренном улучшении прогнозирования и
регулирования уровня издержек на предприятии.
В основу компьютеризации управления издержками должны быть положены
следующие принципы:
— системный подход — взаимосвязь всех расчетов (по прогнозированию,
планированию, учету, калькулированию) и регулирования уровня издержек, а также
связь и взаимодействие с другими подсистемами управления предприятия;
— комплексность системы — максимальный охват компьютеризацией всех операций
по формированию, сбору, передаче, накоплению, обработке, отображению и
использованию информации (должна представлять замкнутую систему управления
издержками на всех стадиях жизненного цикла изделий);
— обеспечение работников сферы управления точной и оперативной
информацией о состоянии издержек и отклонениях от плановых (нормативных);
— совместимость по всем уровням управления с системой управления
предприятием в целом;
— оперативность, надежность, безотказность функционирования системы.
Итогом компьютеризации управления издержками производства будет создание единой
информационной системы.
Информационная система — это коммуникационная система сбора, передачи и
обработки информации об объекте, которая снабжает менеджеров различного уровня
управления сведениями, необходимыми для реализации их функций.
Информационную систему можно представить в следующем виде (рис. 8).
Информационная система управления издержками
┌─────────────────────┐
│ Информационная │
│ система │
└──────────┬──────────┘
┌─────────────────────────┼────────────────────────┐
┌─────────┴─────────┐    ┌──────────┴──────────┐
┌────────┴────────┐
┌───┤   Функциональные  │ ┌──┤  Система обработки  │ ┌──┤
Организационные │
│   │
компоненты    │ │  │
данных (СОД)    │
│  │    компоненты
│
│   └───────────────────┘
│
└─────────────────────┘
│
└─────────────────┘
│
┌───────────────────┐
│  ┌─────────────────────┐
│
┌─────────────────┐
├───┤   Функциональные  │ ├──┤    Информационное   │ │  │
Новая      │
│   │
модули, блоки   │
│  │     обеспечение     │ ├──┤
организационная │
│
└───────────────────┘
│  └─────────────────────┘
│  │    структура
│
│
┌───────────────────┐
│  ┌─────────────────────┐
│
└─────────────────┘
├───┤ Функциональные │ ├──┤ Техническое │ │ ┌─────────────────┐
│   │
задачи      │ │  │
обеспечение     │
└──┤
Персонал    │
│
└───────────────────┘
│  └─────────────────────┘
└─────────────────┘
│
┌───────────────────┐
│  ┌─────────────────────┐
└───┤ Алгоритмы │ ├──┤ Программное │
└───────────────────┘
│  │     обеспечение     │
                          │
└─────────────────────┘
                          │
┌─────────────────────┐
└──┤ Правовое обеспечение│
└─────────────────────┘
Рис. 8
Функциональные
компоненты представляют собой полный набор (комплекс) взаимосвязанных по
уровням управления и времени работ, необходимых для достижения поставленных
перед системой целей.
Функциональный признак предполагает выделение функциональных моделей
(блоков), реализующих систему функций управления издержками. Функциональный
признак определяет назначение модуля — для какой области он предназначен, каким
основным целям он служит, какие задачи и функции выполняет.
Специфические особенности каждого функционального уровня управления
обусловливают состав и содержание так называемых функциональных задач. В
настоящее время с появлением новых информационных технологий решение
функциональных задач — это законченный комплекс обработки информации,
обеспечивающей выдачу либо прямых управляющих воздействий на ход процесса
управления, либо информации, необходимой для принятия управленческих решений.
Система обработки данных (СОД) предназначена для информационного
обслуживания специалистов различных служб, принимающих управленческие решения
по вопросам управления издержками предприятия. Общая схема системы обработки
данных приведена на рис. 9.
Система обработки данных для управления издержками
┌──────────────────────────────────────────────────────┐
         │            Внемашинная информационная
база           │
└──────────────────────────┬───────────────────────────┘
│
                  Перенос информации на
машинные носители
\│/
┌──────────────────────────┴───────────────────────────┐
         │            Программно-аппаратные
комплексы           │
└──────────────────────────┬───────────────────────────┘
│
                          Ввод информации в
ПЭВМ
\│/
┌──────────────────────────┴───────────────────────────┐
         │            Программно-аппаратные
комплексы           │
└──────────────────────────┬───────────────────────────┘
│
                   Создание внутрифирменной
базы данных
\│/
┌─────────────────┐
┌───────────┴────────────┐
┌──────────────────┐
│  Функциональные │     │
Обработка информации  │     │
Организация   │
│задачи
подсистемы│     │         в ПЭВМ         │     │
вычислительного │
│                 │     │                        │     │
процесса     │
│┌───────────────┐│
│┌──────────────────────┐│
│┌────────────────┐│
││
││<───>││ Операционная
система ││<───>││                ││
││
Функциональные││
││         (ОС)         ││     ││    ППП — ОВП
││
││      ППП
││
││   Пакеты прикладных  ││     ││                ││
││ ││ ││ программ (ППП) ││ ││ ││
│└───────────────┘│
│└──────────────────────┘│     │└────────────────┘│
└─────────────────┘
└───────────┬────────────┘
└──────────────────┘
│
Вывод информации
\│/
┌──────────────────────────┴───────────────────────────┐
         │            Программно-аппаратные
комплексы           │
└──────────────────────────┬───────────────────────────┘
┌──────────────────────────┼───────────────────────────┐
\│/ \│/ \│/
┌────────┴────────┐
┌───────────┴────────────┐
┌────────┴─────────┐
│     Машино-
│     │    Прямое управление   │
│  Связь с другими │
│ и
видеопрограммы│     │                        │     │        СОД       │
└─────────────────┘
└────────────────────────┘
└──────────────────┘
Рис. 9
Существует
три основных режима работы СОД: пакетный, интерактивный, реальный масштаб
времени. Для пакетного решения
характерно, что результаты обработки выдаются пользователю после выполнения так
называемого пакета заданий. При интерактивном
(диалоговом) режиме работы происходит обмен сообщениями между пользователем
и системой. Реальный масштаб времени
предполагает управление в режиме «запрос — ответ — решение». Для
управления издержками используются все три режима в зависимости от функций
управления.
Под организационными компонентами в информационной системе понимают
совокупность методов и средств, позволяющих усовершенствовать организационную
структуру управления и управленческие функции: определить штатное расписание,
разработать должностные инструкции управленческому персоналу в условиях
компьютеризации и т.п.
Управление издержками на предприятии в условиях компьютеризации
реализуется в рамках человеко-машинной системы, выполняющей традиционные
функции на качественно новой технической, информационной,
экономико-математической и организационной основе.
Как показывает опыт зарубежных и отечественных предприятий,
эффективность компьютеризации управления издержками производства находит свое
выражение в целом ряде достижений. Основные из них:
— трудоемкость, а следовательно, и стоимость обработки информации
снижается более чем в 2 — 3 раза;
— улучшается качество управления. Прогнозирование уровня издержек
позволяет выработать стратегию в области:
формирования номенклатуры производимой продукции;
достижения рентабельности продукции;
получения необходимой прибыли;
— повышается качество норм и нормативов за счет компьютеризации
расчетов и их технической обоснованности (нормы и нормативы рассчитываются в
САПР);
— устанавливается рациональный уровень издержек, а следовательно,
достигается рациональное использование материальных и трудовых ресурсов;
— повышается достоверность плановых расчетов. Планы по издержкам
согласуются с планами производства, динамикой хода производства и его
управления;
— улучшается точность и оперативность учета издержек на производство.
Обеспечивается его информационное и технологическое единство с финансовым
учетом;
— новое качество обретает выявление отклонений фактических издержек от
нормативных или плановых. Принимаются оперативные регулирующие воздействия по
отклонениям.
Качество системы управления предприятия в целом улучшается за счет
выдачи информации о расходах и результатах в другие функциональные сферы и
подсистемы. Таким образом, компьютеризированная система управления издержками
эффективна как собственно система (внутренний системный эффект) и как главная,
оценивающая и регулирующая, составляющая всей системы управления предприятием.
Контрольные вопросы
1. В чем
заключаются предпосылки организации производственного учета?
2. Какие существуют формы связей производственной и финансовой
бухгалтерии?
3. Назовите основные элементы схемы интеграции функций управления
производственным учетом.
4. Назовите основные задачи производственного учета.
5. Перечислите основные группы нормативов на предприятии; дайте их
характеристику.
6. Определите общие принципы стимулирования экономии издержек.
7. Каковы основные элементы системы управления производственного учета?
8. В чем сущность программно-целевой структуры управления
производственным учетом?
9. Назовите основные принципы компьютеризации управления
производственного учета.
Глава 3. УЧЕТ ИЗДЕРЖЕК НА ПРОИЗВОДСТВО ПРОДУКЦИИ
3.1. Классификация издержек на производство продукции
Издержки
производства классифицируются по определенным категориям.
1. Внешние и внутренние.
Внешние издержки — это плата
за ресурсы поставщикам, не принадлежащим к числу владельцев данного
предприятия. Это денежные расходы на создание производственных запасов
материально-технических ресурсов, услуги (работы) поставщиков, приобретение
трудовых ресурсов. Внешние издержки идентичны понятию «затраты
предприятия» — это его активы, отражаемые в балансе и способные принести
доход в будущем.
Внутренние издержки — это
неоплачиваемые издержки на собственный и самостоятельно используемый ресурс.
Они равны денежным платежам, которые могли бы быть получены за самостоятельно
используемый ресурс при наилучшем из возможных способов его применения.
Пример.
Индивидуальное частное предприятие (ИЧП) создано Ивановой. Она является
единоличным владельцем небольшого магазина. Имеет в полной собственности
помещение магазина, использует в нем свой собственный труд и денежный капитал.
На ИЧП отсутствуют внешние издержки на выплату аренды и заработной платы. Но
есть внутренние издержки:
— Иванова жертвует ежемесячным арендным доходом, который она могла бы
получить, сдавая это помещение в аренду;
— используя свой капитал, она жертвует процентом, который могла бы
получить, поместив свой капитал в банк или инвестировав другого
предпринимателя;
— она отказывается от заработной платы, которую могла бы получать,
предложив свои услуги другому предприятию.
2. Постоянные, переменные и валовые.
Постоянные издержки (ТФС) <1> — англ. fixed costs. Постоянными
называются такие издержки, величина которых не меняется в зависимости от объема
производства. Постоянные издержки связаны с самим существованием предприятия и
поэтому должны быть оплачены, даже если предприятие ничего не производит. К ним
относятся расходы по содержанию предприятия, управлению, амортизационные
отчисления, арендная плата, страховка, предшествующие обязательства, некоторые
налоги и т.п.
———————————
<1> Здесь и далее буквенные обозначения издержек
автором взяты из работы Кэмпбелл Р. Макконнелла и Стенли Л. Брю
«Экономика». В отечественной научной литературе каждый автор вводит
свои обозначения, что весьма неудобно при изучении дисциплины.
Отличительным
свойством постоянных издержек является то, что в пределах масштабной базы они
остаются неизменными. Под масштабной базой в производственном учете понимается
определенный интервал объема производства (продаж), в котором издержки имеют
какую-либо четко выраженную величину.
Пример.
Предприятие имеет 20 ед. станочного оборудования и ежегодно производит 500 тыс.
ед. продукции. При этом годовая сумма амортизационных отчислений по этим
основным средствам составляет 300 тыс. руб. Руководство предприятия решило
удвоить объем выпуска, для чего дополнительно ввело в эксплуатацию 20 станков.
Масштабная база (от 0 до 500 тыс. шт. изделий), в рамках которой
амортизационные отчисления оставались постоянными, изменилась и составляет от
500 до 1000 тыс. шт. изделий. Амортизационные отчисления, являющиеся по своей
сути постоянными издержками, также возрастут и составят 600 тыс. руб. до
следующего изменения масштабной базы.
Рассмотренная зависимость показана на рис. 10.
Постоянные издержки при изменении масштабной базы
предприятия
Постоянные │
издержки, │
тыс. руб. │
│
       600 │
┌─────────┬─────────┬─────
│ │ /│\ │
│ │
│ │ │ │
│ │ ТФС
       300
├─────────┬─────────┤         │    2
│
│ /│\ │
│ │ ТФС │ │ │
           │        \│/   1
\│/
         5
└─────────┴─────────┴─────────┴─────────┴───────────────────────
500 1 000 Объем производства
(Q), тыс. шт.
Рис. 10
Аналогично
изменяются постоянные издержки при резком изменении уровня инфляции.
Следовательно, постоянные издержки могут изменяться скачкообразно в зависимости
от изменения масштабной базы предприятия.
Переменные издержки (ТВС) —
англ. variable costs. Переменными называются такие издержки, величина
которых меняется в зависимости от объема производства. К ним относятся затраты
на сырье, материалы, топливо, энергию, транспортные услуги, зарплату
производственным рабочим, инженерно-техническим работникам и т.п.
Следует отметить, что прирост суммы переменных издержек, связанных с
увеличением объема производства на одну единицу, не является постоянным. В
основе такой особенности лежит закон убывающей отдачи, который также называется
законом убывающего предельного продукта. Закон утверждает, что, начиная с
определенного момента, последовательное присоединение единиц переменного
ресурса (например, труда) к неизменному, фиксированному ресурсу (например,
капиталу или земле) дает уменьшающийся добавочный, или предельный, продукт в
расчете на каждую последующую единицу переменного ресурса. Иначе говоря, если
количество рабочих, обслуживающих данное оборудование, будет увеличиваться, то
рост объема производства будет происходить все медленнее по мере того, как
будет увеличиваться количество рабочих.
Пример.
Фермер имеет 10 га земли, на которой выращиваются зерновые. Допустим, он не
занимался культивацией почвы и получил урожай 10 центнеров с гектара. Он
обработал землю один раз и получил урожай до 20 ц/га. Вторая обработка повысила
урожай до 24 ц/га. Дальнейшая обработка почвы принесет лишь очень малую и даже
нулевую прибавку к урожаю. Последующие обработки вносят все меньший и меньший
вклад в продуктивность земли. Если бы дело обстояло иначе, то мировые
потребности в зерне мог бы удовлетворить этот фермер, имея 10 га земли.
Характер
изменения переменных издержек в зависимости от роста объема выпуска продукции
имеет определенную последовательность.
Вначале, в период освоения выпуска новой продукции, когда
технологический процесс не отлажен, а потери от брака значительны, переменные
издержки растут очень быстро. По мере увеличения выпуска продукции и освоения
технологии производства начинает сказываться фактор экономии за счет масштабов
производства и темпы роста переменных издержек становятся более медленными, чем
темпы расширения производства. Принято считать, что на данном этапе рост
переменных издержек пропорционален росту объема производства (прямая линия).
Этот этап обычно рассматривается в научно-технической литературе. В дальнейшем
в соответствии с законом убывающей отдачи все большее и большее количество
дополнительных переменных ресурсов придется использовать для производства
каждой последующей единицы продукции. Соответственно, сумма переменных издержек
будет увеличиваться нарастающими темпами, превышающими темпы роста
производства.
Переменные издержки характеризуют стоимость собственно продукта, все
остальные (постоянные издержки) — стоимость самого предприятия. Рынок не
интересует стоимость предприятия, его интересует стоимость продукта. Совокупные
переменные издержки имеют линейную зависимость от показателя деловой активности
предприятия, а переменные издержки на единицу продукции — величина постоянная.
Для характеристики переменных издержек в производственном учете
используется специальный показатель — коэффициент реагирования издержек (Кри).
Он характеризует соотношения между темпами роста деловой активности предприятия
и рассчитывается по формуле:
,
где Ип
— темпы роста переменных издержек, %;
X — темпы роста деловой активности предприятия, %.
Пример.
Стоимость арендной платы за пользование автомобилем не изменится при увеличении
объема производства на 10%. В этом случае:
.
Таким
образом, нулевое значение коэффициента реагирования издержек свидетельствует о
том, что мы имеем дело с постоянными издержками.
Разновидностями переменных издержек являются пропорциональные,
регрессивные и прогрессивные издержки.
Пропорциональные — издержки
увеличиваются теми же темпами, что и деловая активность.
Пример.
При увеличении объема производства на 5% переменные издержки возросли также на
5%. Тогда:
.
Следовательно,
Кри = 1 характеризует переменные издержки как пропорциональные.
Регрессивные — темпы роста
переменных издержек отстают от темпов роста деловой активности.
Допустим, при темпе роста объема производства на 10% переменные
издержки увеличились лишь на 5%. Тогда:
.
Итак,
случай, когда 0 < Кри < 1, свидетельствует о том, что
переменные издержки являются регрессивными.
Прогрессивные — переменные
издержки растут быстрее роста деловой активности предприятия.
Допустим, рост объема производства на 5% сопровождается увеличением
переменных издержек на 10%. Тогда:
.
Следовательно,
при Кри > 1 переменные издержки являются прогрессивными. Динамика
пропорциональных, регрессивных и прогрессивных издержек приведена на рис. 11.
Динамика пропорциональных (а), регрессивных (б)
и прогрессивных
(в) переменных издержек

Рис. 11
В
реальной жизни относительно редко можно встретить издержки, по своей сути
являющиеся исключительно постоянными или переменными. Экономические явления и
связанные с ними издержки с точки зрения содержания значительно сложнее.
Поэтому в отечественной практике их принято называть условно-постоянными и
условно-переменными. Они содержат как постоянные, так и переменные компоненты.
К примеру, оплата за пользование телефоном состоит из фиксированной абонентской
платы (постоянная часть) и оплаты междугородных переговоров (переменная часть).
Классификация издержек на постоянные и переменные имеет реальное
экономическое значение и широко используется в зарубежной и отечественной
практике для решения таких задач управления, как:
— оценка конкурентоспособности предприятия;
— регулирование массы и прироста прибыли на основе относительного
сокращения тех или иных расходов при увеличении выручки;
— расчет окупаемости расходов и определение запаса финансовой прочности
предприятия на случай осложнения конъюнктуры рынка или иных затруднений;
— расчет цены изделия методом маржинальных издержек.
Различие между постоянными и переменными издержками имеет существенное
значение для каждого предпринимателя. Переменные издержки — это издержки,
которыми предприниматель может управлять, величина которых может быть изменена
в течение краткосрочного периода времени путем изменения объема производства. С
другой стороны, постоянные издержки, очевидно, находятся вне контроля
предпринимателя. Такие издержки являются обязательными и должны быть оплачены
независимо от объема производства.
Любые издержки в общем виде могут быть представлены формулой:
И = a +
bX,
где И —
совокупные издержки, руб.; a — постоянная часть, не зависящая от объема
производства, руб.; b — переменные издержки в расчете на единицу продукции,
руб.; X — показатель, характеризующий деловую активность предприятия в
натуральных единицах измерения (объем производства продукции, товарооборота и
др.).
Если a = 0, то это переменные издержки, если b = 0, то анализируемые
издержки носят постоянный характер.
Валовые издержки (TC) — англ.
total costs. Это сумма постоянных и переменных издержек при каждом данном
объеме производства. Они существуют даже тогда, когда предприятие не выпускает
продукцию. В этом случае они будут равны сумме постоянных издержек.
Валовые издержки рассчитываются так:
TC = ТФС
+ ТВС.
Анализ
динамики постоянных, переменных и валовых издержек в зависимости от объема
выпускаемой продукции рассмотрим на примере.
Пример.
Возьмем условно предприятие радиоэлектронной промышленности. Необходимые данные
по нему приведены в табл. 3.
Таблица 3
Расчет
издержек по предприятию, выпускающему
бытовые
телевизоры
Графически
динамика постоянных, переменных и валовых издержек в зависимости от изменения
объема производства для данного предприятия показана на рис. 12.
Динамика постоянных, переменных и валовых издержек
в зависимости от
объема выпускаемой продукции

Рис. 12
Для
отнесения постоянных, переменных и валовых издержек на себестоимость продукции
используются средние издержки.
Средние издержки — это
издержки производства на единицу продукции. Показатели средних издержек обычно
используются для сравнения с ценой, которая всегда указывается в расчете на
единицу продукции.
Средние издержки имеют три разновидности: средние постоянные, средние
переменные и средние валовые.
Средние постоянные издержки
(АФС) определяются путем деления суммарных постоянных издержек на
соответствующее количество произведенной продукции:
,
где ТФС —
суммарные постоянные издержки, тыс. руб.;
Q — количество произведенной продукции, шт.
Средние постоянные издержки будут падать по мере увеличения количества
произведенной продукции, поскольку с ростом объема производства величина
постоянных издержек распределяется на все большее и большее количество
продукции.
Например, если бы производилась 1 тыс. телевизоров (см. табл. 3),
то сумма постоянных издержек и АФС равнялись бы 1 500 руб. При производстве 2
тыс. телевизоров сумма средних постоянных издержек составит 750 руб. в единице
продукции. При производстве 10 тыс. телевизоров сумма средних постоянных
издержек составит 150 руб. в единице продукции. И так далее.
Следовательно, доля постоянных издержек в себестоимости продукции с
ростом объема производства снижается.
Средние переменные издержки
(ABC) определяются путем деления суммарных переменных издержек на
соответствующее количество произведенной продукции:
,
где ТВС —
суммарные переменные издержки, тыс. руб.;
Q — количество произведенной продукции, шт.
Средние переменные издержки в процессе нарастания объемов производства
сначала падают, достигая своего минимума, а затем начинают расти (см. табл.
3). Производственный процесс при малом объеме производства будет
относительно неэффективным и дорогостоящим, поскольку имеющееся у предприятия
оборудование окажется недогруженным, средние переменные издержки относительно
велики. По мере расширения производства более высокий уровень специализации
рабочих и более полное использование капитального оборудования обеспечат
повышение эффективности производства. Средние переменные издержки будут
снижаться и достигнут минимума при производстве 6 000 шт. телевизоров.
При дальнейшем увеличении объема (количества) выпускаемой продукции
наступит момент, когда закон убывающей отдачи вступит в действие. С этого
момента капитальное оборудование будет использоваться настолько интенсивно, что
каждая добавочная единица переменных ресурсов будет увеличивать объем
производства на меньшую величину, чем предыдущая. Средние переменные издержки
начнут возрастать.
Средние валовые издержки (ATC)
можно рассчитать путем деления суммы валовых издержек на количество
произведенной продукции:
,
где TC —
суммарные валовые издержки, тыс. руб.
Средние валовые издержки представляют собой издержки производства на
единицу произведенной продукции и определяют нижнюю границу возможной цены на
эту продукцию.
Средние валовые издержки можно получить графически путем сложения
средних постоянных и переменных издержек. Динамика изменений средних издержек
показана на рис. 13 (по данным табл. 3).
Динамика изменения средних и предельных издержек
в зависимости от
объема выпускаемой продукции

Рис. 13
Вид
издержек имеет особое значение для понимания рыночного равновесия, поскольку
предприниматель стремится их минимизировать. Кривая средних валовых издержек
обычно имеет U-образную форму (рис. 13). Сначала средние валовые издержки достаточно
высокие. Это связано с тем, что большие постоянные издержки распределяются на
незначительный объем продукции. По мере роста производства постоянные издержки
приходятся на все большее число единиц продукции и средние валовые издержки
падают, доходя до минимума.
По мере роста объема производства основное влияние на величину средних
издержек начинают оказывать не постоянные, а переменные издержки. Поэтому
вследствие закона убывающей отдачи кривая начинает идти вверх. Следует обратить
внимание на то, что кривая средних валовых издержек непосредственно зависит от
кривых средних постоянных издержек (АФС) и средних переменных издержек (ABC).
Кривая средних валовых издержек имеет большое значение для
предпринимателя, поскольку позволяет определить, при каком объеме производства
издержки на единицу продукции будут минимальными.
В одной и той же отрасли действуют не одинаковые, а совершенно разные
предприятия с разными масштабами, организацией и технической базой
производства, а значит, и с разным уровнем издержек. Сравнение средних валовых
издержек с уровнем цены на рынке дает возможность оценить положение этого
предприятия на рынке.
На рис. 14 показаны три возможных варианта положения предприятия на
рынке. Если линия цены P лишь касается кривой средних издержек ATC в
минимальной точке M (рис. 14, а), то мы имеем дело с так называемым предельным
предприятием. Оно при данном уровне цен в состоянии покрыть лишь свои
минимальные средние валовые издержки, и ему безразлично, остаться в данной
отрасли или нет. Точка M в данном случае является точкой нулевой прибыли.
Возможные варианты положения предприятия на рынке

Рис. 14
Следует
особо подчеркнуть, что, говоря о нулевой прибыли, мы не имеем в виду, что
предельное предприятие вообще не получает никакой прибыли. В издержки
производства включаются не только расходы на сырье, оборудование, рабочую силу,
но и процент, который предприятие могло бы получить на свой капитал, если бы
вкладывало его в другие отрасли. Иными словами, нормальная прибыль как
нормальная отдача от капитала, определяемая в результате конкуренции во всех
отраслях с одинаковым уровнем риска, является составной частью издержек. Обычно
фактор предпринимательства рассматривается как постоянный. В связи с этим
нормальная прибыль относится к постоянным издержкам.
Если средние валовые издержки ниже цены (рис. 14,
б), то предприятие, находясь в положении равновесия, получает в среднем прибыль
более высокую, чем нормальная прибыль, т.е. получает сверхприбыль.
Наконец, если средние валовые издержки при любом объеме производства
выше рыночной цены (рис. 14, в), то данное предприятие терпит
убытки и разорится, если не будет реорганизовано или не уйдет с рынка. Динамика
средних валовых издержек предприятия характеризует положение его на рынке,
однако сама по себе не определяет линии предложения и точки оптимального объема
производства. Действительно, если средние валовые издержки ниже цены (см. рис.
14, б), то можно лишь утверждать, что в интервале от Q1
до Q3 находится зона прибыльного производства, а при объеме
производства Q2, которому соответствуют минимальные средние валовые
издержки, предприятие получает максимальную прибыль на единицу продукта. Однако
означает ли это, что объем производства Q2 — оптимальный, когда
предприятие достигает своего равновесия? Производителя, как известно,
интересует не прибыль на единицу продукции, а максимум общей массы получаемой
прибыли. Линия средних валовых издержек не показывает, где достигается этот
максимум.
Чтобы понять, является ли выгодным производство дополнительной единицы
продукции, предпринимателю необходимо сравнить возможное изменение дохода с
изменением величины валовых издержек. Это позволяет понять анализ предельных
издержек.
3. Предельные издержки (MC) —
англ. marginal cost, или добавочные.
Ими называются дополнительные издержки, связанные с производством еще одной
единицы продукта наиболее дешевым способом. Предельные издержки рассчитываются
по формуле:
.
Из табл.
3 видно, что производство первой единицы продукции (тыс. шт.)
увеличивает сумму валовых издержек с 1 500 до 2 630 тыс. руб. Поэтому
добавочные, или предельные, издержки составляют 1 130 тыс. руб. (2 630 — 1
500). Предельные издержки второй единицы составляют 710 тыс. руб. (3 340 — 2
630) и т.д. (графа 8 табл. 3).
Динамика изменения предельных издержек в зависимости от объема
производства продукции предприятия, построенная на основе данных табл. 3,
представлена на рис. 13.
Кривая предельных издержек (MC) пересекает кривые средних переменных
(ABC) и средних валовых (ATC) издержек в точках минимального значения каждой из
них. Это происходит из-за того, что, пока добавочная (или предельная) величина,
присоединяемая к сумме валовых (или переменных) издержек, остается меньше средней
величины этих издержек, показатель средних издержек уменьшается. И наоборот,
когда предельная величина, присоединяемая к сумме валовых (или переменных)
издержек, оказывается больше средних валовых (или переменных) издержек, средние
издержки будут расти.
В условиях рынка анализ предельных издержек играет решающую роль при
выработке и обосновании ценовой стратегии предприятия. Знание предельных
издержек помогает руководству предприятия установить:
— увеличить или уменьшить выпуск продукции;
— какому поставщику дать предпочтение;
— в каких границах должен осуществляться производственный процесс.
Предельные издержки отражают изменение в издержках, которое повлечет за
собой увеличение или уменьшение объема производства на одну единицу. Сравнение
предельных издержек с предельной выручкой — изменение выручки, связанное с
увеличением или уменьшением объема производства на одну единицу, — позволяет
предприятию выяснить прибыльность того или иного изменения масштаба
производства.
Концепция предельных издержек имеет стратегическое значение, поскольку
она позволяет определить те издержки, величину которых контролировать гораздо
проще. Предельные издержки показывают издержки, которые предприятию придется
понести в случае производства последней единицы продукции, и одновременно —
издержки, которые могут быть «сэкономлены» в случае сокращения объема
производства на эту последнюю единицу. Показатели средних издержек не дают
такой информации.
Рассмотрим растущую ветвь кривой предельных издержек (рис. 15).
Динамика предельных издержек в зависимости от объема
выпускаемой
продукции

Рис. 15
Анализ
кривой предельных издержек позволяет предприятию решить ряд конкретных вопросов
управления предприятием: объем конкурентного предложения товара, установление
оптимальных цен, принятие решения о прекращении производства продукции и др.
Когда предприятие в состоянии продавать любое количество своей
продукции по установившейся рыночной цене P (например, P = 1 000 руб.), что
видно из ее свободы перемещаться по горизонтальной линии спроса dd, то в
действительности оно установит объем продукции на уровне точки A вдоль кривой
MC, где она пересекается с линией спроса dd. Именно здесь предельные издержки
предприятия равны рыночной цене (1 000 руб.) Отсюда MC = P — условие равновесия
предприятия на кривой спроса.
В точке A, где MC = P, предприятие получит максимальную прибыль.
Если будет предложено товара больше (точка B), то предприятие будет
терять часть прибыли за счет роста предельных издержек, поскольку кривая МС
идет вверх. При меньшем объеме товара, наоборот, предприятие недополучит часть
прибыли.
Площадь треугольника ABC представляет дополнительный убыток вследствие
того, что производится слишком много. Площадь треугольника АДЕ представляет
дополнительный убыток вследствие того, что производится слишком мало. Отсюда
следует вывод, что оптимальные цены на товар устанавливаются на уровне
предельных издержек (MC = P).
Рассмотрим процесс прекращения производства. Возьмем случай, когда
предприятие сталкивается со все более и более низкой ценой (точка P»).
Предприятие всегда вправе ничего не производить. Но сколько оно потеряет при
этом? При остановке производства убытки будут равны постоянным издержкам. Когда
цена упадет настолько, что доход, получаемый предприятием от реализации Q»
товара, станет меньше переменных (предельных) издержек его производства, предприятие
прекратит производство продукции: к чему производить, если доход (P» x Q»)
будет меньше, чем переменные издержки. Это положение можно сформулировать в
следующее правило.
При критически низкой рыночной
цене, когда предприятие лишь покрывает свои переменные издержки, оно находится
на грани прекращения производства (точка Б). При цене ниже этого уровня
предприятие вообще не будет производить продукцию. При цене выше этого уровня
оно будет производить в соответствии со своей кратковременной кривой предельных
издержек.
4. Альтернативные, или
вмененные, издержки.
Количество других продуктов, от которого следует отказаться или которым
нужно пожертвовать, чтобы получить какое-то количество любого данного продукта,
называется альтернативными, или вмененными, издержками производства этого
продукта.
В основе возникновения альтернативных (вмененных) издержек лежат два
объективных фактора:
— ограниченность природных ресурсов;
— ограниченность территории предприятия.
Пример.
Предприятие приняло решение об освоении выпуска изделия Б вместо изделия А, на
выпуске которого задействованы все производственные мощности предприятия.
Вводить дополнительные производственные мощности (строить новые
производственные цехи) не позволяют имеющиеся площади предприятия. Рассмотрим
следующие условия (табл. 4).
Таблица 4
Гипотетический
план перехода
| Вид продукта, тыс. шт. Годы | Производственные альтернативы | ||||
| 2005 | 2006 | 2007 | 2008 | 2009 | |
| Изделие А | 10 | 9 | 7 | 4 | 0 | 
| Изделие Б | 0 | 1 | 2 | 3 | 4 | 
Количество
изделия А, от которого приходится отказаться, чтобы получить дополнительную
единицу изделия Б, и есть вмененные, или альтернативные, издержки.
Эти издержки иногда называют неявными издержками, или упущенными
возможностями. При расчете вмененных (альтернативных) издержек предприятия
руководствуются собственными выгодами и потерями в предпринимательской
деятельности. Поэтому для их определения нет строгих общепринятых методик,
перечня статей затрат, потерь, которые регламентировались бы какими-то
нормативными актами. Потери от вмененных издержек, или упущенных возможностей,
определяются в результате сравнения альтернативных вариантов принимаемых
решений.
Финансовые последствия использования определенной альтернативной
возможности допускается анализировать следующим образом:
— выгоды: доход, или положительное изменение наличности, как результат
решения об использовании этой возможности, и ни по какой другой причине;
— издержки: отрицательное изменение наличности, вызванное использованием
этой возможности вместо следующего наилучшего варианта действий.
Разница между выгодами и издержками дает чистую прибыль за счет данной
возможности.
При оценке какой-либо возможности нас интересует, принесет ли решение
об использовании этой возможности больше прибыли, чем использование другой
альтернативной возможности. Любые денежные платежи до принятия решения не могут
считаться альтернативными издержками этого решения, так как они были
произведены независимо от выбранной альтернативы. Будет ли выработана
рассматриваемая возможность или избран какой-либо иной вариант действий — все
предыдущие затраты, которые часто называют невозвратными издержками,
исключаются из суммы издержек.
Пример.
Принимается решение о производстве 5 000 или 6 000 единиц определенного товара.
Это относится только к операционным уровням затрат: расход материалов, прямые
затраты на рабочую силу, затраты на электроэнергию. Затраты на заводское
оборудование уже произведены. Но если решение о выпуске 6 000 единиц товара
потребует создания новых основных производственных мощностей, тогда эти
дополнительные затраты следует включать как часть альтернативных (вмененных)
затрат по выпуску 6 000 единиц по сравнению с 5 000 единиц.
На
практике могут быть приняты решения, приводящие к притоку наличности на
предприятие, но не покрывающие накладные расходы, которые могут быть отнесены
на данный продукт, и предприятие оказывается в убытке, так как договорные цены
не покрывают полные издержки. Эти рассуждения ошибочны? Лицо, принимающее
решение, должно всегда соглашаться на сделку, которая приводит к увеличению
денежных средств предприятия, даже если эта сделка не покрывает накладных
расходов. Доводы в пользу этого решения:
— если предприятие в течение длительного времени не покрывает накладных
расходов, то это предприятие терпит крах. Но эта проблема связана не с
принятием решений, основанных на притоке наличности, а с долговременными
решениями, в основе которых лежит потенциал предприятия;
— если одна из деловых возможностей не покрывает все накладные расходы,
но дает приток наличности, то существуют ли альтернативы этой возможности?
Предприятие может упустить эту возможность и тем самым отказаться от шанса хотя
бы частично покрыть постоянные накладные расходы. Оно может увеличить цену, но
сможет ли продать товар по этой более высокой цене? И снова потеряет
возможность хоть какого-то притока наличности для покрытия постоянных издержек.
В обоих случаях альтернативный вариант, т.е. отказ от возможности, приносящей
наличность, лишит предприятие возможности хотя бы частично уменьшить груз
постоянных накладных расходов.
Понимание экономистами вмененных, или альтернативных, издержек
основывается на факте редкости (ограниченности) ресурсов и возможности их
альтернативного использования. Выбор определенных ресурсов для производства
какого-то товара означает невозможность производства какого-то альтернативного
товара. Точнее говоря, вмененные издержки любого ресурса, выбранного для производства
товара, равны его стоимости, или ценности, при наилучшем из всех возможных
вариантов их использования.
Вмененные издержки лежат в основе всех конкурентных издержек. В
зарубежной литературе в настоящее время вмененные издержки рассматриваются как
экономические издержки.
5. Предпринимательские издержки.
Предпринимательские издержки
производства и реализации продукции (работ, услуг) определяют цену предложения.
В предпринимательские издержки предприятия целесообразно включать
следующие виды издержек:
1. Издержки производства и реализуемых предприятием услуг, исчисленные
в соответствии с законом
РФ «О налоге на прибыль предприятий и организаций». Это издержки,
учет которых определен нормативными актами о налогообложении прибыли и
правилами финансового учета.
2. Нормативная предпринимательская прибыль и, соответственно,
нормальная предпринимательская рентабельность предприятия, изделий, видов
продукции и услуг. Она необходима предприятию для обеспечения той стратегии
общего развития, которую определило руководство или собрание акционеров, с
учетом конкретной конъюнктуры в отрасли и регионе.
В расчете нормативной предпринимательской прибыли учитываются:
— расходы, обеспечивающие нормальное расширенное воспроизводство, —
капиталовложения в основные фонды и прирост оборотных средств;
— расходы из прибыли на научно-исследовательские,
опытно-конструкторские и другие работы, обеспечивающие научно-технический
прогресс;
— текущие расходы на социальные нужды, финансируемые из прибыли;
— подготовка и переподготовка кадров;
— выплата дивидендов по акциям;
— отчисления налогов, уплачиваемых за счет прибыли.
3. Нормативная прибыль учитывается в предпринимательских издержках
обычно в размере, принятом в данной отрасли производства.
Систематическое получение прибыли является одной из основных целей
предпринимательской деятельности предприятия. В экономических расчетах ориентации
предприятия в рыночных условиях принято учитывать кроме нормальной прибыли,
которая отражается в предпринимательских издержках, и другую часть прибыли, так
называемую экономическую, или дополнительную, прибыль — превышение полученной
прибыли над нормальной, принятой в данной отрасли.
Она определяется путем вычета из валового дохода (валовой выручки)
экономических (предпринимательских) издержек предприятия за период продаж:
,
где 
 —
совокупная экономическая, или дополнительная, прибыль предприятия за период
продаж (месяц, квартал, год);
TR(q) — совокупный валовой доход, или совокупная выручка предприятия,
от реализации продукции предприятия в объеме q;
TC(q) — совокупные предпринимательские издержки предприятия на
реализацию продукции в объеме q.
4. Налог на добавленную стоимость (НДС), если он прибавляется к цене,
т.е. начисляется сверх цены предприятия. Налог на добавленную стоимость
является издержками для предприятия и должен быть отражен в его расходах.
Предприятие вносит его сумму в бюджет и, следовательно, должно учитывать при
калькулировании всех своих издержек.
5. Акцизный налог, который предприятию необходимо учитывать в своих
издержках, если его продукция входит в список подакцизных товаров, утверждаемых
Правительством РФ, и оно отчисляет в бюджет начисленную сумму акцизного налога.
Цена предложения определяется с учетом акцизного налога.
6. Таможенные пошлины, тарифы и сборы необходимо учитывать в
предпринимательских издержках товаров, отпускаемых на экспорт в размере,
установленном соответствующими законодательными актами и постановлениями
Правительства Российской Федерации.
3.2. Учет издержек по видам
Задачи
учета издержек по видам состоят в оценке различных издержек, возникающих в
процессе производства и реализации продукции, а также в подготовке базы для
дальнейшего отражения этих издержек в общей системе учета предприятия.
Основным признаком для классификации видов издержек является их
возникновение в результате использования различных факторов производства. С
этой точки зрения важнейшими видами издержек являются:
— издержки на персонал (например, заработная плата и начисления на
нее);
— издержки на материалы (сырье, основные и вспомогательные материалы,
покупные полуфабрикаты и комплектующие изделия);
— издержки, связанные с использованием средств производства
(амортизационные отчисления, ремонт и эксплуатация основных фондов);
— издержки на оплату работ и услуг со стороны (например, плата за
транспортные услуги, рекламу, юридические консультации, страхование, энергию,
аренду, наем);
— отчисления в бюджеты различных уровней и внебюджетные фонды.
При классификации издержек учитывают, на какие участки производства,
виды продукции или заказы приходятся те или иные виды издержек. На каждый вид
издержек заводится первичный учетный документ (учетная карточка). Каждому виду
присваивается регистрационный номер и составляется его по возможности
однозначная характеристика. Условный пример классификации издержек по видам
приведен в табл. 5.
Таблица 5
Классификация
издержек по видам
| Код издержек | Вид издержек | 
| 1. Издержки, связанные с оплатой труда | |
| 101 | Сдельная заработная плата | 
| 102 | Авансовые выплаты заработной платы по больничным листам | 
| 103 | Прочие издержки по оплате труда производственных рабочих | 
| 104 | Оклады служащих | 
| 105 | Обязательные отчисления на социальное страхование производственного персонала | 
| 106 | Обязательные отчисления на социальное страхование служащих | 
| … | |
| 120 | Обязательные отчисления в пенсионный фонд | 
| 121 | Обязательные отчисления в фонд медицинского страхования | 
| … | |
| 2. Материалы | |
| 201 | Исходный материал А | 
| 202 | Исходный материал Б | 
| … | |
| 211 | Малоценные и мелкие детали | 
| 212 | Запасные части | 
| 213 | Комплектующие | 
| … | |
| 221 | Вспомогательные материалы | 
| 222 | Инструменты и приспособления | 
| … | |
| 251 | Упаковочные материалы | 
| 3. Энергия, топливо и горючие материалы | |
| 301 | Твердое топливо | 
| 302 | Жидкое топливо | 
| 303 | Газообразное топливо | 
| … | |
| 311 | Пар | 
| 312 | Электроэнергия | 
| 313 | Сжатый воздух | 
| 314 | Вода | 
| … | |
| 4. Издержки по ремонту и эксплуатации | |
| 401 | Ремонт и эксплуатация зданий | 
| 402 | Ремонт и эксплуатация машин и оборудования | 
| 403 | Ремонт и эксплуатация транспортных средств | 
| … | |
| 411 | Издержки на научные исследования и разработки | 
| 412 | Издержки на конструкторские и проектировочные работы | 
| … | И т.д. | 
Первичный
учетный документ должен содержать информацию о том, в результате какой
хозяйственной операции возникли издержки данного вида и как они дальше будут
отражены в системе производственного учета на предприятии. По истечении
отчетного периода (месяца, квартала, года) первичные документы по видам
издержек поступают в места возникновения издержек, где с использованием ПЭВМ
группируются по видам издержек и передаются в центры ответственности.
Учет издержек производства по видам можно рассматривать в системе
управления предприятием в качестве приоритетной ступени, призванной решать
задачи формирования упорядоченной информационной базы. Он имеет главной целью
получение обобщающих сводных учетных данных по отдельным однородным
экономическим элементам и является информационной основой всего управленческого
учета. Некорректный учет, ошибки при регистрации и обобщении учетных данных об
издержках производства по видам негативно воздействуют на все последующие
ступени управленческого учета, снижая достоверность и прозрачность полученной
фактической информации.
При подготовке к ведению производственного учета издержек производства
по видам важное значение имеет предварительное установление по периодам частоты
получения учетных данных о них, чтобы иметь возможность обобщить информацию за
отчетный период традиционным балансовым способом.
В условиях рыночной экономики для управления производством на
предприятии учет издержек производства по видам должен вестись развернуто, что
позволяет обеспечить его прозрачность. Основными направлениями, обеспечивающими
доказательность и достоверность обобщенных данных учета издержек, являются:
— подготовка и разработка плана счетов управленческого учета издержек
производства по видам, ориентированного на специфику работы предприятия, и
проводимые мероприятия по снижению издержек производства на единицу продукции;
— выявление возникающих разниц между учетными данными о величине
издержек производства, отражаемых согласно действующему законодательству в
финансовом учете и отчетности, с одной стороны, и фактически сложившимися в
производственном учете — с другой.
План счетов производственного учета издержек производства по видам
представляет собой результат организации процесса регистрации и обобщения
учетных данных в результате их отдельных видов согласно классификации по
экономически однородным элементам. Именно благодаря организации первичного
учета потребления ресурсов в производстве формируются фактические учетные
данные о видах издержек производства.
Примерная группировка аналитических счетов производственного учета
издержек по видам приведена в табл. 6. При этом за основу взята рассмотренная
ранее классификация издержек по видам (см. табл. 5).
Таблица 6
Примерная
группировка аналитических счетов
производственного
учета издержек по видам
| Счета | Виды издержек производства | 
| 10 | Трудовые издержки производства | 
| 100 | Оплата труда (собирательный счет) | 
| 101 | Оплата труда производственного персонала | 
| 102 | Оплата труда вспомогательного персонала | 
| 103 | Другие виды оплаты труда | 
| 104 | Различные компенсации | 
| 20 | Материальные издержки производства | 
| 200 | Сырье и материалы (собирательный счет) | 
| 201 | Основное сырье и материалы | 
| 202 | Вспомогательное сырье и материалы | 
| 203 | Внутрипроизводственное потребление полуфабрикатов | 
| 30 | Издержки производства на энергоносители | 
| 300 | Топливо | 
| 301 | Энергия | 
| 40 | Издержки на ремонт и эксплуатацию | 
| 400 | Текущий ремонт и содержание (собирательный счет) | 
| 401 | Капитальный ремонт | 
| 402 | Модернизация | 
| И т.д. | |
В
условиях рыночной экономики котировка по счетам вышеперечисленных учетных
признаков является основной частью целенаправленной подготовки
производственного учета издержек производства. Она обеспечивает получение
интегрированной по определенным планово-учетным признакам информации,
обусловленной организационно-технологической спецификой каждого предприятия.
Подобная подготовка производственного учета издержек производства по видам
предполагает обязательное проведение анализа калькуляционных связей между издержками
производства и себестоимостью продукции в системе отчетности предприятия.
3.3. Учет издержек по местам возникновения
Места
возникновения издержек — это те структурные единицы предприятия, которые
выделяются в самостоятельные объекты учета. Такое разделение позволяет
классифицировать и отражать издержки, возникающие в подразделениях предприятия,
и должно обеспечить действенный и всесторонний контроль эффективности работы
предприятия и дифференцированное распределение накладных издержек на единицу продукции,
необходимое для точной калькуляции себестоимости.
Основными принципами выделения мест возникновения издержек являются:
— организационный — в соответствии с внутренней организационной
структурой предприятия (цех, участок, бригада, отдел и т.д.);
— направлений бизнеса — в соответствии с категорией производимых
продуктов;
— функциональный — в соответствии с участием в бизнес-процессах
предприятия (сферы снабжения, основного производства, вспомогательного
производства, сбыта, научно-исследовательских и опытно-конструкторских
разработок и т.п.);
— технологический — в соответствии с технологическими особенностями
производства.
Места возникновения издержек делятся на производственные, обслуживающие
и условные, что показано на рис. 16.
Организация учета по местам возникновения издержек
┌───────────────────────────────────────────────────────────────┐
     │                  Места возникновения
издержек                 │
└─────────┬─────────────────────────┬────────────────────────┬──┘
\│/ \│/ \│/
┌──────────────┴────────────────┐┌───────┴───────┐
┌────────┴───────┐
│        Производственные       ││ Обслуживающие
│       │    Условные
│
└──────┬────────────┬───────────┘└───────┬───────┘
└────────┬───────┘
\│/ \│/ │ │
┌──────┴──────┐┌────┴───────────┐ │ │
│   Основные
││ Вспомогательные│        │                        │
└──────┬──────┘└───────┬────────┘ │ │
\│/ \│/ \│/ \│/
┌──────┴──────┐┌───────┴────────┐┌───────┴───────┐
┌────────┴───────┐
│Цеха,
участки││  Цеха, отделы,
││    Склады,    │       │Особо выделяемые│
│   бригады
││     службы     ││  лаборатории, │       │    издержки
│
│  основного
││вспомогательного││   общежития,
│       │                │
│
производства││  производства  ││   управление
│       │                │
└──────┬──────┘└───────┬────────┘└───────┬───────┘
└────────┬───────┘
\│/ \│/ \│/ \│/
┌──────┴───────────────┴─────────────────┴───┐┌───────────────────┴───────┐
│           Учет издержек по видам           ││Учет в поэлементном
разрезе│
└────────────────────────────────────────────┘└───────────────────────────┘
Рис. 16
К
производственным обычно относят цеха, участки, бригады. К обслуживающим —
отделы, службы управления, склады, лаборатории. К условным местам возникновения
относят издержки, не связанные с конкретными структурными подразделениями
(например, административно-управленческие расходы в целом или какая-то часть
могут быть также цеховыми расходами, не относящимися к конкретным службам
цеха).
Производственные места возникновения издержек складываются из многих
мест потребления ресурсов различного технологического уровня. В основных местах
возникновения издержек изготавливают продукцию, выполняют работы, оказывают
услуги на сторону.
Возникающие издержки напрямую относят на единицу продукции (заказ) в
соответствии с коэффициентом распределения.
В основные места возникновения
издержек входят:
— цеха и участки основного производства;
— сфера управления;
— сфера сбыта продукции.
Относящиеся к материальным запасам места возникновения издержек
охватывают сферу снабжения и складского хозяйства.
Участки и цеха основного производства охватывают процесс
непосредственного изготовления продукции. К ним относятся заготовительные,
механообрабатывающие и сборочные цеха. Конкретная структура мест возникновения
издержек основного производства зависит от отраслевых особенностей и специфики
самого предприятия.
К сфере управления относятся все подразделения, осуществляющие
коммерческое управление предприятием: общее руководство, планово-экономический
отдел, планово-производственный отдел, финансовый отдел, центральная
бухгалтерия, отдел кадров, канцелярия и т.д.
В сбытовых местах возникновения издержек осуществляются все функции,
относящиеся к реализации продукции предприятия: реклама, исследование рынка,
обслуживание клиентов, рассмотрение претензий и т.п.
Вспомогательные места
возникновения издержек участвуют в процессе основного производства косвенно.
Они задействованы в изготовлении продукции и оказании услуг, обеспечивающих
нужды основного производства. Издержки вспомогательного производства нельзя
отнести непосредственно на единицу продукции (заказ). Их распределяют по
основным местам возникновения издержек (в соответствии с коэффициентами
распределения). Совокупные издержки основных участников относят на единицу
продукции или заказ.
К вспомогательным местам возникновения издержек относятся:
— общезаводские;
— обслуживающие процесс производства.
Общезаводские места возникновения издержек обслуживают предприятие в
целом и занимаются производством продукции или оказанием услуг для всех его
подразделений (мест возникновения издержек). К ним относятся: служба содержания
и ремонта помещений, объекты социальной сферы, службы ремонта и эксплуатации
основных фондов.
Обслуживающие процесс производства участки изготавливают продукцию
(оказывают услуги) для нужд основного производства: отдел технического
контроля, отдел подготовки производства, отдел инструментального хозяйства,
технологический отдел, конструкторский отдел и т.п.
Каждому месту возникновения издержек должна соответствовать своя сфера
ответственности. Во главе каждого подразделения должен стоять руководитель,
который несет ответственность за учет, контроль и регулирование возникающих
издержек производства.
В сферу ответственности руководителя одновременно могут входить
несколько мест возникновения издержек. Вместе с тем недопустимо, чтобы за одно
место возникновения издержек отвечали несколько человек. В этом случае ни один
из них не будет ощущать ответственности за возникновение издержек, стараясь
переложить ее на остальных. При многосменной работе подразделений предприятия
руководители должны отвечать за возникновение издержек всего рабочего дня
(суток).
Причины, приводящие к возникновению издержек, должны поддаваться
количественному определению. Для каждого места возникновения издержек требуется
установить единицы измерения, на которые приходятся издержки (например,
машино-час, норма времени на обработку детали). Такие единицы иначе называются
базами распределения издержек. Они необходимы для обеспечения точности учета
издержек и дают возможность избежать ошибок в контроле издержек.
Выбор правильной базы распределения тем легче, чем детальнее разделение
предприятия на места возникновения издержек. Проще всего установить базы
распределения издержек для подразделений, которые объединяют однородное
оборудование или сходные рабочие места.
С другой стороны, необходимо избегать чрезмерной детализации мест
возникновения издержек, поскольку в данном случае расходы на совершенствование
системы управления издержками могут превысить полученные выгоды.
Места возникновения издержек необходимо выделять таким образом, чтобы
максимально упростить распределение различных видов издержек по соответствующим
местам их возникновения.
Чем крупнее выделяемое место возникновения издержек, тем легче отнести
на него соответствующие виды издержек и вести их учет. Допустим, что все
оборудование и рабочие места, находящиеся на участке, образуют одно место
возникновения издержек. В этом случае заработная плата начальника участка и
работающих на нем мастеров, издержки по содержанию помещения, стоимость
чистящих и смазочных материалов и т.д. относятся к данному месту возникновения
издержек.
Если же участок разбивается на несколько мест возникновения издержек,
то распределение указанных выше видов издержек по отдельным местам
возникновения значительно усложняется.
Названные выше принципы нельзя одновременно реализовать в полном
объеме. Выделение мест возникновения издержек, которые имеют только однородные
оборудование и рабочие места, крайне редко осуществимо на практике, так как
приводит к значительному усложнению системы учета. Следовательно, необходимо
найти компромисс между степенью точности результатов учета издержек по местам
их возникновения и сложностью процедур учета. Необходимо также определить,
действительно ли более детальная классификация мест возникновения издержек
обеспечивает повышенную точность данных или она ведет лишь к усложнению системы
учета.
Таким образом, невозможно привести стандартную схему выделения мест
возникновения издержек. Помимо различных требований к точности учетных данных
на их построение влияют масштабы деятельности предприятия, отраслевая специфика
и прочие особенности его деятельности.
Итак, при выделении мест возникновения издержек необходимо четко
разграничивать сферы ответственности. Руководители каждого из них должны
однозначно отвечать за возникающие издержки. Чем детальнее классификация мест
возникновения издержек, тем точнее должны быть данные учета. Необходимо найти
компромисс между детальной и укрупненной классификациями исходя из
сопоставления преимуществ каждого варианта и расходов по их обеспечению.
Места возникновения издержек следует классифицировать в зависимости от
выполняемых в этих местах функций.
Результаты классификации фиксируются в виде номенклатуры мест
возникновения издержек на предприятии. Каждому месту присваивается
регистрационный номер, и составляется его описание.
Как правило, используют трехзначные регистрационные номера: первые две
цифры характеризуют группу (область производства), к которой принадлежит место
возникновения; последняя цифра — порядковый номер места возникновения издержек
в данной группе. Условный пример номенклатуры мест возникновения издержек
приведен в табл. 7.
Таблица 7
Пример
номенклатуры мест возникновения издержек
на предприятии
| 1. Общезаводские | 4. Цех основного производства N 1 | |
| 10 Обслуживание помещений | 400 Производственное диспетчирование 401 Контроль качества 410 — 419 Участки изготовления продукции в цехе N 1 | |
| 100 Административные помещения 101 Производственные 102 Складские помещения 103 Автостоянки 104 Заводская и пожарная | ||
| 5. Цех основного производства N 2 (классификация аналогична п. 4) | ||
| 11 Отдел энергоснабжения | 6. Цех основного производства N 3 | |
| 110 Электроэнергия (снабжение и распределение) 112 Пар (снабжение и 113 Вода (распределение) | 7. Цех основного производства N 4 | |
| 8. Руководство предприятия | ||
| 800 Общее руководство 810 Отдел централизованного планирования 820 Отдел бухгалтерского учета и отчетности 830 Отдел производственного учета и отчетности 840 Отдел компьютерной обработки данных 850 Отдел кадров 860 Канцелярия 870 Хозяйственный отдел | ||
| 12 Объекты социальной сферы | ||
| 120 Заводская столовая 121 Медицинский кабинет 122 Совет предприятия | ||
| 13 Транспортные перевозки | ||
| 130 Отдел транспортных перевозок 131 Парк легковых машин 132 Парк грузовых машин | ||
| 2. Материальные запасы | ||
| 200 Руководство отдела снабжения 210 Склад сырья и 211 Склад сырья и 212 Склад запасных частей | 9. Служба сбыта | |
| 900 Руководство службой сбыта 910 Отдел исследования рынка 920 Рекламный отдел 930 — 939 Сбытовые отделы по направлениям 940 — 949 Склады готовой продукции | ||
| 3. Техническое управление производством | ||
| 300 Управление технологическими процессами 301 Технологическая подготовка производства 302 Конструкторская подготовка | 
В примере
даны общие принципы разработки номенклатуры мест возникновения издержек.
Реальная (действительная) номенклатура разрабатывается аппаратом управления
предприятия. Администрация решает сама, насколько детализировать места
возникновения издержек и как увязать их с центрами ответственности.
Эффективное выполнение задач производственного учета возможно только
при наиболее точном распределении издержек по местам их возникновения. По
способу отнесения издержек на объекты учета различают прямые и косвенные
издержки.
Издержки, которые могут быть однозначно отнесены к конкретному участку
производства, называют прямыми издержками по месту их возникновения. Примеры
прямых издержек приведены в табл. 8.
Таблица 8
Прямые издержки
по месту их возникновения
| Вид издержек | Основание для определения места возникновения | 
| Заработная плата | Платежная ведомость | 
| Амортизационные отчисления | Карточка учета основных фондов | 
| Вспомогательные материалы | Заборная карта | 
| Оплата услуг сторонних организаций по ремонту | Счет-фактура | 
| Затраты на электроэнергию | Показания счетчиков | 
Издержки,
которые относятся сразу к нескольким участкам производства, называются
косвенными издержками. В их состав входят общепроизводственные и
общехозяйственные накладные расходы.
Вопросы управления накладными издержками рассмотрены в гл. 8.
3.4. Учет издержек по центрам ответственности
Центр
ответственности — это центр, в котором учитываются все издержки конкретного
подразделения.
Центры ответственности необходимо обосабливать по принципу
производственного функционирования — снабжение, производство, сбыт, управление.
Так, центр ответственности по снабжению учитывает (контролирует) не
только издержки по заготовлению сырья, материалов, топлива, но и объемы, и
качество материальных запасов. Центр ответственности по сбыту контролирует не
только объемы и стоимость реализуемой продукции, работ, услуг, но и издержки,
связанные с деятельностью данного центра. Это даст возможность устанавливать
нормативную или предельную величину издержек, за которую несет ответственность
конкретный руководитель центра ответственности.
Для небольших структурных подразделений, в которых, как правило,
имеется одно место возникновения издержек, оно и будет являться центром
ответственности. При этом руководитель места возникновения издержек приказом
руководителя предприятия назначается руководителем центра ответственности.
По итогам формирования центров ответственности разрабатывается
классификатор центров ответственности, в котором закрепляются принципы их
выделения, классификации и кодирования, а также рекомендуется составить
справочник центров ответственности, содержащий перечень центров ответственности
предприятия.
Методы контроля по центрам ответственности
и местам
возникновения издержек
Эффективный
контроль величины издержек целесообразно вести на основе первичной учетной
информации. Подобный контроль может осуществляться в натуральном и денежном
выражении методом сопоставления или так называемым методом бюджетирования (рис.
17). В основе первого способа лежит метод суммирования отклонений от
устанавливаемых норм и производственных заданий по местам издержек. Второй
способ контроля предусматривает сопоставление издержек с актуализированной
(спланированной с учетом изменений) сметой издержек и результатов.
Методы контроля по центрам ответственности
и местам
возникновения издержек
┌──────────────────────────────────────────────────────────────────────────┐
│                    Контроль производственных
издержек                    │
└───────────────┬─────────────────────────────────────┬────────────────────┘
│ │
┌───────────────┴────────────────┐┌───────────────────┴───────────────────┐
│ Метод сопоставления ││ Метод бюджетирования │
└───────────────┬────────────────┘└───────────────────┬───────────────────┘
\│/ \│/
┌───────────────┴────────────────┐┌───────────────────┴───────────────────┐
│  Разработка норм и нормативов  ││Планирование издержек,
составление смет│
└───────────────┬────────────────┘└───────────────────┬───────────────────┘
\│/ \│/
┌───────────────┴────────────────┐┌───────────────────┴───────────────────┐
│ Учет фактических издержек ││ Учет фактических издержек │
└───────────────┬────────────────┘└───────────────────┬───────────────────┘
\│/ \│/
┌───────────────┴────────────────┐┌───────────────────┴───────────────────┐
│ Выявление и учет отклонений ││ Сопоставление издержек со сметой │
└────────────────────────────────┘└───────────────────────────────────────┘
┌──────────────────────────┐
┌─────────────────────────────────┐
   │
Принятие решений     │      │         Принятие решений        │
└──────────────────────────┘
└─────────────────────────────────┘
Рис. 17
В методе сопоставления устанавливают нормы
расхода по видам выпускаемой продукции, полуфабрикатов, выполняемых работ и
услуг для каждого центра ответственности. Учет и контроль над издержками
организуется по отклонениям от норм (с последующим выявлением причин изменений
объемов выпуска, загрузки производственных мощностей, уровня издержек и
виновников) в каждом месте возникновения и центре ответственности. Данный метод
обеспечивает своевременное, обоснованное и эффективное принятие управленческих
решений. Он удобен и эффективен в подразделениях основного производства, оценка
деятельности которых определяется соответствующими показателями объема
производства, уровня издержек, дохода и прибыли.
Метод бюджетирования как
способ управления издержками предусматривает составление бюджетных смет по
различным направлениям деятельности и в целом по подразделению. Здесь
произведенные издержки сравнивают с расходами, предусмотренными сметой
(планом). Сметный метод контроля широко используется по местам возникновения
издержек и центрам ответственности, где трудно или невозможно установить
конкретный результирующий показатель деятельности. Это отделы управления,
подготовки производства, обслуживания и т.д.
3.5. Учет издержек по носителям
Носители
издержек — товары и услуги предприятия, определяющие возникновение издержек.
Это продукт (часть продукта, группа продуктов) разной степени готовности,
который в процессе своего производства и сбыта является причиной возникновения
издержек и на который данные издержки можно отнести по прямому признаку.
К носителям издержек относятся:
— товары для конкретных заказчиков, изготавливаемые по заказу;
— товары массового производства;
— внутренние активируемые услуги и изделия, используемые в течение
нескольких периодов (например, крупные инновационные проекты или капитальные
ремонты оборудования);
— внутренние неактивируемые услуги и изделия, используемые в течение
одного расчетного периода.
К принципам распределения издержек по носителям следует отнести:
— принцип причинности — издержки должны быть распределены точно на
носители издержек, вызвавшие их возникновение;
— принцип средних значений — применяется в случае невозможности
отнесения издержек непосредственно на носители (общая сумма издержек делится на
количество изделий), смягчает принцип причинности и означает, что издержки
должны относиться на носители по возможности точно;
— принцип значимости — издержки должны быть распределены по носителям с
учетом их вклада в прибыль предприятия или с учетом величины покрытия
(например, распределение издержек пропорционально объему реализации).
Выбор носителей издержек в качестве объекта учета обусловлен:
— необходимостью оперативного управления производством — величина
издержек по носителям используется для планирования и контроля;
— необходимостью калькулирования себестоимости производимой продукции.
К общим для всех объектов учета принципам группировки в отношении
носителей издержек следует добавить еще один, специфический: поскольку
выделение носителей издержек в качестве объектов учета связано также с
необходимостью калькулирования себестоимости, необходимо согласовывать
группировку носителей издержек с объектами калькулирования. Под объектом
калькулирования понимается продукт, себестоимость которого следует определить
(рассчитать).
Носители издержек могут соответствовать объектам калькулирования, быть
уже (с несколькими другими носителями входить в состав объекта калькулирования)
или шире (включать несколько объектов калькулирования). Поэтому в группировке
носителей издержек следует стремиться к тому, чтобы они соответствовали
объектам калькулирования или входили в них. Классификация носителей издержек
разрабатывается по принципу:
— экономические (материальные) — продукция, работы, услуги;
— тип (категория) производства — основное, вспомогательное;
— иерархическая взаимосвязь продуктов — тип продуктов, вид продуктов,
сорт, типоразмер;
— степень готовности — продукт, прошедший последовательно через
технологические операции;
— наличие связи с покупателем — номер заказа.
Задачами расчета издержек по носителям является определение
себестоимости, рентабельности, подготовка информации для ценообразования,
формирования производственной программы, определения эффективности закупок
сырья и материалов.
Контрольные вопросы
1.
Назовите состав постоянных, переменных и валовых издержек и характер их
изменения.
2. В чем заключаются особенности изменения средних постоянных,
переменных и валовых издержек?
3. Что такое предельные издержки, их взаимосвязь с ценой товара на
рынке?
4. В чем сущность альтернативных издержек, причины их возникновения?
5. Какие издержки включаются в состав нормативной предпринимательской
прибыли?
6. Назовите состав предпринимательских издержек.
7. Назовите основные положения по организации учета издержек по видам.
8. По каким принципам разрабатывается классификатор издержек по видам?
9. Назовите основные требования к определению мест возникновения
издержек.
10. Как разрабатывается кодификатор мест возникновения издержек, его
содержание?
11. В чем отличие классификатора издержек по видам от кодификатора мест
возникновения издержек?
12. Какие организационные требования предъявляются к центрам
ответственности?
13. Назовите носителей издержек производства.
Глава 4. УЧЕТ МАТЕРИАЛЬНЫХ И ТРУДОВЫХ ИЗДЕРЖЕК
4.1. Учет материальных издержек
Производственная
деятельность предприятия невозможна без осуществления им материальных издержек.
Материалы являются важнейшей составляющей любого производственного процесса. В
себестоимости продукции стоимость материалов часто является определяющим
элементом.
Согласно ПБУ 5/01
«Учет материально-производственных запасов» к
материально-производственным запасам относится следующая часть имущества
предприятия:
— используемая при производстве продукции, предназначенной для продажи
(выполнения работ, оказания услуг);
— предназначенная для продажи;
— используемая для управленческих нужд предприятия.
Фактической себестоимостью материально-производственных запасов,
приобретенных за плату, признается сумма фактических расходов на их
приобретение, за исключением налога на добавленную стоимость и иных возмещаемых
налогов.
Сырье и материалы отпускают в производство в строгом соответствии с
действующими нормами расхода по массе, объему, площади или счету и оформляют
лимитно-заборными картами, требованиями, накладными. Под расходом сырья и
материалов в производстве понимают их непосредственное потребление в процессе
производства. Отпуск сырья и материалов в кладовые производственных и
вспомогательных цехов рассматривается не как расход на производство, а как
перемещение материальных ценностей.
В соответствии с ПБУ 5/01 «Учет материально-производственных
запасов» (п. 6)
фактическими расходами на приобретение материально-производственных запасов
могут быть:
— суммы, уплачиваемые в соответствии с договором поставщику (продавцу);
— суммы, уплачиваемые организациям за информационные и консультационные
услуги, связанные с приобретением материально-производственных запасов;
— таможенные пошлины;
— невозмещаемые налоги, уплачиваемые в связи с приобретением единицы
материально-производственных запасов;
— вознаграждения, выплачиваемые посреднической организации, через
которую приобретены материально-производственные запасы;
— расходы по заготовке и доставке материально-производственных запасов
до места их использования;
— начисленные проценты по кредитам, предоставленным поставщиками
(коммерческий кредит);
— иные расходы, непосредственно связанные с приобретением
материально-производственных запасов.
Фактические расходы на приобретение материально-производственных
запасов не включаются в общехозяйственные и иные аналогичные расходы.
Контроль за использованием сырья и материалов осуществляется одним из
следующих методов:
— методом документирования;
— методом партионного контроля;
— инвентарным методом.
Метод документирования
основан на оформлении отдельными документами всех случаев отклонений расхода
сырья и материалов от установленных норм и нормативов (при отпуске сырья и
материалов сверх лимита, при замене одних видов сырья и материалов другими и
т.п.). Данный метод в той или иной мере используется на всех промышленных
предприятиях.
Метод партионного контроля
заключается в том, что на каждую партию сырья и материалов выписывается
раскройный лист (учетная карта). В нем указывается количество сырья и
материалов, поданного к рабочему месту, а также количество заготовок (деталей)
и отходов, которое должно быть получено и получено фактически. Экономию и
перерасход определяют как разность между фактическим расходом (отходом) и
расходом (отходом) по норме. Указываются причины выявленных отклонений и лица,
ответственные за раскрой сырья и материалов.
Метод партионного контроля широко применяется в машиностроительной,
швейной, обувной, мебельной и других отраслях промышленности.
Инвентарный метод контроля
предусматривает проведение инвентаризации остатков неизрасходованного сырья и
материалов по истечении смены, суток или другого периода. Нормативный расход
сырья и материалов определяется умножением количества выработанной продукции на
норму расхода сырья и материалов на единицу продукции.
Инвентарный метод контроля широко применяется в мясной, молочной,
пищевой промышленности, а также в металлургии, электроэнергетике, химической
промышленности.
По истечении месяца по основным и вспомогательным цехам предприятия
составляются отчеты о расходе сырья и материалов. В них указываются нормативный
и фактический расходы сырья и материалов на каждый вид продукции или на
несколько видов продукции в целом. В отчетах дается объяснение причин
перерасхода или экономии сырья и материалов.
На основании отчетов цехов центральная бухгалтерия предприятия отражает
расход сырья и материалов по аналитическим счетам, на основании которых
составляются синтетические счета (машинограммы) распределения сырья и
материалов.
Распределение сырья и материалов по видам продукции во многих отраслях
осуществляется прямым путем. В первичных документах по их расходованию
указывается вид (код) изделия. Однако в ряде отраслей сырье и материалы
расходуются на группу изделий. В этих случаях сырье и материалы по видам
продукции распределяются косвенно-нормативным или коэффициентным способом.
При косвенно-нормативном способе фактический расход сырья и материалов
распределяется по видам продукции пропорционально расходу по их норме.
При коэффициентном способе основой распределения является коэффициент
содержания, показывающий соотношение потребления сырья и материалов по каждому
изделию.
Стоимость израсходованных в производстве сырья и материалов отражается
в себестоимости продукции за вычетом стоимости возвратных отходов.
4.2. Расход сырья и материалов в натуральном исчислении
Физические
объемы потребления сырья и материалов в процессе производства могут быть
определены следующими методами:
— списание сырья и материалов в производство в полном объеме по мере их
поступления на предприятие;
— инвентаризация;
— обратная калькуляция;
— оценка по заборным картам на сырье и материалы.
В первом случае сырье и
материалы, поступившие в данном отчетном периоде, полностью потребляются в
производстве в этом же периоде. Накладным на различные виды сырья и материалов
присваивается код носителей издержек, для изготовления которых они
предназначены, или код подразделений предприятия, в которых они потребляются.
Складские запасы не образуются. Данный метод применяется только в отношении тех
видов сырья и материалов, которые закупаются редко и сразу направляются в
производство.
Пример. В
соответствии с договором на поставку материалов на предприятие поступил
металлолом. Его потребитель — только литейный цех. Здесь в электросталелитейных
печах будут выплавлены определенные марки сталей для изготовления различных
поковок (полуфабрикатов). Поэтому металлолом поступит непосредственно в
кладовую литейного цеха, минуя центральный склад. Стоимость металлолома будет
полностью отнесена на себестоимость продукции литейного цеха.
При инвентаризации величина потребления
материалов определяется по формуле:
ПМ = ЗМН
+ ПМС — ЗМК,
где ПМ —
потребление материалов в отчетном периоде;
ЗМ — запасы материала на начало отчетного периода;
ПМС — поступление материалов на склад в отчетном периоде;
ЗМК — запасы материалов на конец отчетного периода.
Уровень запасов в начале и конце отчетного периода определяется
посредством инвентаризации запасов в контрольные даты, объем поступлений — по
накладным поставщика или по складским учетным ведомостям.
Недостатки метода: существуют материалы, потребление которых в
производстве приходится сразу на несколько носителей или мест возникновения
издержек. Инвентаризация не дает возможности определить потребление таких
материалов отдельными подразделениями, а также места возникновения издержек.
Инвентаризация в начале и конце коротких отчетных периодов (месячных) связана с
неоправданно высокими расходами. Для проведения инвентаризации на предприятии
должны быть созданы инвентаризационные комиссии, члены которых отвлекаются от
выполнения своих прямых функций. Более того, на центральных складах с большой
номенклатурой сырья и материалов комиссия может не успеть закончить
инвентаризацию отчетного месяца, как наступит инвентаризация следующего месяца.
Поэтому для текущего месячного учета расхода сырья и материалов метод
инвентаризации применяется редко, в основном на малых предприятиях с
ограниченной номенклатурой сырья и материалов на складах.
В то же время согласно действующему положению по составлению годового
балансового отчета для повышения достоверности данных по движению материальных
ресурсов на предприятиях должна быть проведена годовая инвентаризация основных
средств и оборотных фондов. Для ее проведения приказом руководителя предприятия
назначаются инвентаризационные комиссии, устанавливаются сроки проведения
инвентаризации и ответственные руководители по направлениям учета.
Результаты проведенной инвентаризации (акты об обнаруженных
отклонениях) сдаются в центральную бухгалтерию.
При обратной калькуляции
потребление материалов определяют исходя из количества произведенной продукции
и норм расходования материалов. Объем потребления материалов получают
умножением количества произведенной продукции на норму расхода материалов на
единицу продукции. При этом необходимо учитывать средний процент брака и
отходов переработки.
Норма расхода материала на единицу продукции берется из соответствующей
статьи калькуляции.
Преимущество метода: относительная простота, распределение материалов
производится непосредственно по носителям издержек.
Недостатки метода: обратная калькуляция предусматривает использование
не фактических, а нормативных показателей расхода материалов на единицу
продукции; не учитывается потребление вспомогательных материалов. Метод
обратной калькуляции на практике применяется при определении расходов по статье
«Основные материалы» при расчете сметы затрат на производство.
Метод оценки потребления материалов по заборным картам более других подходит для эффективного
производственного учета. Объем расхода материалов определяется на момент их
списания со склада. Движение материалов отражается на счетах сырья и
материалов, которые заводят для каждого их вида с указанием единиц измерения
(штуки, тонны, литры). Каждому счету присваивается пятизначный цифровой код:
первая — номер группы материала, две следующие — номер подгруппы материала, две
последние — характеристика конкретного вида материала.
Заборная карта на сырье и материалы должна содержать следующие
сведения:
— вид материала;
— его цифровой код;
— выданное количество (равное объему потребления);
— закупочная цена на единицу измерения;
— величина производственных издержек (объем потребления, умноженный на
закупочную цену);
— объекты распределения издержек (носитель или место их возникновения);
— данные о выписке требования на материалы (кем и когда было
произведено, место хранения);
— расписка в получении материалов ответственным лицом;
— отметка о регистрации хозяйственной операции на счетах (кем и когда
была произведена).
Издержки на материалы для изготовления продукции относятся прямо на
единицу продукции (заказа), что указывается в заборной карте. Для
вспомогательных материалов проставляется номер подразделения предприятия (места
возникновения издержек), в котором они потребляются.
Данным методом рассчитывают нормативный уровень складских материальных
запасов на конец отчетного периода. Расход материалов за отчетный период
определяют как разность материальных запасов на конец двух смежных отчетных
периодов.
4.3. Методы стоимостной оценки расхода сырья и материалов
В
соответствии с ПБУ 5/01
«Учет материально-производственных запасов» в отечественном
бухгалтерском учете определение фактической себестоимости материальных
ресурсов, списываемых в производство и оставшихся в запасах, разрешается
производить одним из следующих методов:
— по себестоимости единицы товара;
— по средней себестоимости;
— по себестоимости первых по времени закупок — метод ФИФО;
— по себестоимости последних по времени закупок — метод ЛИФО.
Согласно Приказу
Министерства финансов РФ от 26 марта 2007 г. N 26н «О внесении изменений в
нормативные правовые акты по бухгалтерскому учету» с 1 января 2008 г.
метод ЛИФО исключен.
Выбрав способ оценки материалов, отпускаемых в производство,
предприятие должно отразить его в учетной политике и применять до конца
отчетного года.
Рассмотрим характеристики методов.
Метод оценки по себестоимости единицы товара
Оценка
отпущенных материалов по себестоимости каждой единицы запаса должна применяться
предприятием в случаях, если они не могут быть обычным способом заменены друг
другом или подлежат особому учету.
К таким материалам относятся драгоценные металлы, драгоценные камни,
радиоактивные вещества. При списании в расходы таких материалов необходимо
отразить в регистре-расчете стоимости сырья цену каждой единицы товара.
Для предприятий, ведущих учет расходов по методу начисления, не важно,
оплачен материал или нет. При кассовом методе стоимость отпущенных в
производство материалов и сырья должна быть скорректирована в разрезе
оплаченных и не оплаченных поставщикам материалов.
Существуют два способа определения средней цены:
— взвешенная оценка — цена определяется исходя из среднемесячной
фактической себестоимости (в расчет включаются количество и стоимость
материалов на начало месяца и все поступления за месяц);
— скользящая оценка — цена определяется исходя из средней стоимости
материалов на дату отпуска (в расчет включаются количество и стоимость
материалов на начало месяца и все поступления до момента отпуска).
Себестоимость материалов, отпущенных в производство, зависит от способа
определения средней цены. При взвешенной оценке себестоимость ниже, чем при
скользящей оценке. Однако при скользящей оценке увеличивается трудоемкость
расчетов, так как приходится определять среднюю цену при каждом отпуске
материалов.
Предприятие самостоятельно выбирает любой из методов расчета средней
цены.
Метод оценки по средней себестоимости
Материально-производственные
запасы могут оцениваться предприятием по средней себестоимости. Она
определяется по каждому виду (группе) запасов как частное от деления общей
себестоимости вида (группы) запасов на их количество.
Данный метод требует периодического расчета себестоимости единицы
материала за учетный период, равный, как правило, календарному месяцу (его
часто называют итоговой себестоимостью). При этом делается допущение,
упрощающее реальную картину движения запасов: весь запас, имевшийся за учетный
период, поступил и отпущен в производство в одно и то же время — в конце
отчетного периода.
Более точные результаты достигаются при расчете средней себестоимости
после каждого поступления новой партии материала, и по ней оценивается расход
материала на конкретную дату до поступления следующей партии. Достоинство
метода: сразу известна оценка стоимости отпущенного и оставшегося запаса
материала на момент совершения операции.
Метод оценки по средней себестоимости эффективен при относительно
стабильных ценах на материалы и сырье.
В настоящее время этим методом пользуются большинство бухгалтеров.
Метод оценки по себестоимости первых по времени
закупок (ФИФО)
Оценка
запасов методом ФИФО основана на допущении, что материальные ресурсы
используются в течение отчетного периода в очередности их закупок. Ресурсы,
первыми поступающие в производство, должны быть оценены по себестоимости первых
по времени закупок. Оценка материальных ресурсов, находящихся на складе на
конец отчетного периода, производится по фактической себестоимости последних по
времени закупок. В себестоимости реализованной продукции учитывается
себестоимость ранних по времени закупок.
Применяя данный метод, бухгалтер должен соблюдать следующие правила:
сначала списываются материалы по себестоимости первой закупленной партии, затем
— по себестоимости второй и так далее. В конце месяца все запасы должны быть
оценены по себестоимости последней партии, закупленной в этом периоде.
При использовании метода ФИФО в себестоимости реализованной продукции
будет учитываться себестоимость самой старой и, скорее всего, самой дешевой
партии, в то время как выручка от продажи товаров или услуг будет в текущих ценах.
Следовательно, при высокой инфляции и значительном темпе роста цен
использование метода ФИФО вызывает увеличение прибыли в отчете «О прибылях
и убытках» по сравнению с той, которая могла быть указана при учете по их
текущей (фактической) себестоимости. В то же время в балансе стоимость запасов
будет показана по себестоимости, близкой к сложившейся на момент составления
отчета.
Приведем пример расчета фактической себестоимости и оценки запасов
рассмотренными выше методами. Исходные данные для расчета приведены в табл. 9.
Таблица 9
Исходные данные
| Операция | Дата | Количество, кг | Цена за 1 кг, руб. | Итого, руб. | 
| Остаток на начало месяца | 01.01 | 10 | 10 | 100 | 
| Поступило в течение месяца | 05.01 | 10 | 20 | 200 | 
| 15.01 | 10 | 15 | 150 | |
| 30.01 | 10 | 30 | 300 | |
| Отпущено в производство в целом за месяц | — | 35 | — | <*> | 
| Остаток на конец месяца | 31.01 | 5 | — | <*> | 
———————————
Решение
поставленной задачи при разных методах списания материалов приведено в табл.
10.
Таблица 10
Результаты
расчетов
| Метод расчета | Себестоимость единицы материала, руб. | Фактическая себестоимость списываемых в производство материалов, руб. | Стоимость остатков материалов на конец месяца, руб. | 
| По средней себестоимости | (100 + 200 + 150 + 300) / 40 = 18,75 | 18,75 x 35 = 656,25 | 18,75 x 5 = 93,75 | 
| ФИФО | — | 10 x 10 + 10 x 20 + 10 x 15 + 5 x 30 = 600 | 30 x 5 = 150 | 
На
основании расчетов делаем вывод: в условиях инфляции, то есть тенденции к росту
цен на материалы на рынке, метод ФИФО ведет к занижению себестоимости и к
завышенному сальдо материалов в балансе.
4.4. Учет издержек на оплату труда
В ст. 129
Трудового кодекса Российской Федерации говорится, что «оплата труда — это
система отношений, связанных с обеспечением установления и осуществления
работодателем выплат работникам за их труд в соответствии с законами, иными
нормативными правовыми актами, коллективными договорами, соглашениями,
локальными нормативными актами и трудовыми договорами».
Заработная плата — вознаграждение за труд в зависимости от квалификации
работника, сложности, количества, качества и условий выполняемой работы, а
также выплаты компенсационного и стимулирующего характера.
На предприятии должны быть разработаны Правила внутреннего трудового
распорядка, являющиеся локальным нормативным актом предприятия. Указанные
Правила регламентируют порядок приема и увольнения работников, основные
правила, обязанности и ответственность сторон трудового договора, режим работы,
время отдыха, применяемые к работникам меры поощрения и взыскания, а также
другие вопросы регулирования трудовых отношений на предприятии. На основании
такого распорядка предприятие вправе рассматривать расходы, осуществляемые на
основе Правил, в качестве расходов на оплату труда.
Согласно ст. 270
Налогового кодекса РФ расходы на любые виды вознаграждений, предоставляемых
руководству или работникам помимо вознаграждений, выплачиваемых на основании
трудовых договоров (контрактов), не учитываются в составе расходов на оплату
труда.
Основными составляющими издержек по оплате труда являются:
— заработная плата производственных рабочих;
— оплата труда руководителей, специалистов, служащих;
— социальные выплаты;
— обязательные отчисления во внебюджетные фонды.
По статье «Заработная плата производственных рабочих»
планируют и учитывают основную и дополнительную заработную плату
производственных рабочих и инженерно-технических работников, непосредственно
связанных с выработкой продукции. Основная заработная плата производственных
рабочих включается в себестоимость продукции прямым путем. Ту часть заработной
платы, которую невозможно прямым путем отнести на себестоимость отдельных
изделий, распределяют косвенно-пропорционально сметной ставке этих издержек на
единицу продукции.
Дополнительную заработную плату производственных рабочих и отчисления
на социальные нужды распределяют между видами продукции пропорционально
основной заработной плате производственных рабочих.
В соответствии с действующими положениями всю сумму начисленной
заработной платы производственных рабочих разделяют на две части: заработная
плата по нормам (тарифная заработная плата) и отклонения от норм. Его сущность
заключается в том, что заработная плата в пределах норм начисляется рабочим по
принятым документам. Начисление заработной платы сверх норм осуществляется по
специально выписанным документам — листкам на доплату, нарядам на выполнение
работ, не предусмотренных технологией, листкам учета простоев, нарядам на
исправление брака, нарядам на сверхурочные работы и др.
Отклонения от норм определяют методом документирования. Отклонения по
заработной плате рабочих, оплачиваемых повременно, выявляют сопоставлением
фактически начисленной заработной платы с нормативной суммой.
Необходимо отметить, что организация учета издержек на оплату труда в
производственном учете в целом аналогична ныне действующей на отечественных
предприятиях системе учета полной себестоимости.
В ст. 255
«Расходы на оплату труда» Налогового кодекса Российской Федерации дан
полный перечень соответствующих расходов (издержек): начисленные предприятием
суммы оплаты труда в денежной и натуральной формах за отработанное и неотработанное
время, стимулирующие доплаты и надбавки, компенсационные выплаты, связанные с
режимом работы и условиями труда, премии и единовременные поощрительные
выплаты, выплаты на питание, жилье, топливо, оговоренные в трудовом соглашении
или в коллективном договоре.
Контрольные вопросы
1. Что
относится к материально-производственным запасам?
2. Какие методы применяют для контроля за использованием сырья и
материалов?
3. Назовите методы расчета натурального потребления сырья и материалов.
4. Назовите преимущества и недостатки метода инвентаризации.
5. В каких случаях применяется метод обратной калькуляции?
6. Определите основные положения по учету потребления сырья и
материалов методом заборных карт.
7. Каковы особенности учета себестоимости материалов?
8. Назовите основные методы оценки сырья и материалов.
9. Укажите отличия методов ФИФО и ЛИФО.
10. Какие издержки включаются в оплату труда?
11. В чем особенности учета социальных выплат?
Глава 5. АМОРТИЗАЦИЯ ОСНОВНЫХ ФОНДОВ
5.1. Экономические основы амортизационных отчислений
Моральный
и физический износ объектов основных фондов в процессе эксплуатации достигает
таких размеров, когда их ремонт и модернизация становятся технически
невозможными или экономически невыгодными и изношенные объекты необходимо
заменять на новые.
Источником финансирования на приобретение, монтаж, наладку и сдачу в
эксплуатацию новых объектов основных средств служит на предприятии так
называемый амортизационный счет в банке. Амортизационный счет — это своего рода
копилка, куда поступают амортизационные отчисления от предприятия. Средства
счета по мере их накопления расходуются только на восстановление основных
средств (реновацию).
Амортизация — это возмещение в денежной форме величины износа основных
средств, т.е. процесс переноса стоимости основных средств на себестоимость
выпускаемой продукции. Отчисления, предназначенные для возмещения изношенной
части основных средств, называются амортизационными отчислениями.
Способы расчета амортизационных отчислений рассмотрены в подразделе
5.2.
Место амортизации в системе воспроизводства основных средств показано
на рис. 18.
Место амортизации в системе воспроизводства
основных средств
┌──────────────────────────────┐
┌─>│ Основные средства ├───┐
                 │
└──────────────────────────────┘   │
│ \│/
┌────────────────┴─────────────────┐
┌─────────────────┴──────────────────┐
│ Реновация основных средств │ │ Износ основных средств │
└────────────────┬─────────────────┘
└─────────────────┬──────────────────┘
/│\ \│/
┌────────────────┴─────────────────┐
┌─────────────────┴──────────────────┐
│ Амортизационный счет │ │ Амортизация основных средств │
└────────────────┬─────────────────┘
└─────────────────┬──────────────────┘
/│\ \│/
┌────────────────┴─────────────────┐
┌─────────────────┴──────────────────┐
│ Реализованная продукция │<┤ Себестоимость продукции │
└──────────────────────────────────┘
└────────────────────────────────────┘
Рис. 18
При
исчислении величины амортизационных отчислений необходимо периодически
переоценивать основные средства, что особенно актуально в условиях инфляции.
Амортизационные отчисления производятся от первоначальной стоимости
основных средств, но по мере переоценки они ведутся от новой восстановительной
или балансовой стоимости, т.е. величины, числящейся на бухгалтерском балансе.
Амортизационные отчисления, накопленные к концу срока полезного
использования основных средств, должны быть достаточны для полного их восстановления.
Срок полезного использования — это период, в течение которого
использование объекта основных средств должно приносить доход предприятию или
служить для выполнения целей деятельности предприятия.
Определение срока полезного использования производится исходя:
— из ожидаемого срока использования этого объекта в соответствии с
ожидаемой производительностью или мощностью;
— ожидаемого физического износа, зависящего от режима эксплуатации
(количества смен), естественных условий и влияния агрессивной среды, системы
проведения ремонтов;
— нормативно-правовых и других ограничений использования объекта
(например, срока аренды).
По ст. 258
Налогового кодекса РФ амортизируемое имущество в соответствии со сроком
полезного использования распределяется на следующие амортизационные группы:
— первая группа
— все недолговечное имущество со сроком полезного использования от 1 года до 2
лет включительно;
— вторая группа
— имущество со сроком полезного использования свыше 2 лет до 3 лет
включительно;
— третья группа
— имущество со сроком полезного использования свыше 3 лет до 5 лет
включительно;
— четвертая группа
— имущество со сроком полезного использования свыше 5 лет до 7 лет
включительно;
— пятая группа
— имущество со сроком полезного использования свыше 7 лет до 10 лет
включительно;
— шестая группа
— имущество со сроком полезного использования свыше 10 лет до 15 лет
включительно;
— седьмая группа
— имущество со сроком полезного использования свыше 15 лет до 20 лет
включительно;
— восьмая группа
— имущество со сроком полезного использования свыше 20 лет до 25 лет
включительно;
— девятая группа
— имущество со сроком полезного использования свыше 25 лет до 30 лет
включительно;
— десятая группа
— имущество со сроком полезного использования свыше 30 лет.
Постановлением Правительства РФ от 1 января 2002 г. N 1 установлена Классификация
основных средств, включаемых в данные амортизационные группы.
Срок последнего использования нематериальных активов устанавливают
исходя:
— из срока, оговоренного договором (лицензии, права пользования,
патенты и т.п.);
— срока, в течение которого предприятие собирается использовать данный
вид нематериальных активов с выгодой для себя, прибыльно.
В случае невозможности установления срока полезного использования
устанавливается десятилетний амортизационный период.
Срок полезного использования объекта основных средств определяется
предприятием самостоятельно на дату принятия объекта на балансовый учет.
Амортизационные отчисления производятся с первого числа месяца,
следующего за месяцем принятия объекта к бухгалтерскому учету, до полного
погашения стоимости объекта.
Приостановление амортизационных отчислений осуществляется в период
реконструкции или модернизации объекта продолжительностью более 12 месяцев.
5.2. Способы расчета амортизационных отчислений
В
Российской Федерации с 1 января 1998 г. в соответствии с Положением
по бухгалтерскому учету «Учет основных средств» (ПБУ 6/97, утверждено
Приказом Министерства финансов Российской Федерации от 3 сентября 1997 г. N 65)
установлены следующие способы расчета амортизационных отчислений:
— линейный способ;
— способ уменьшаемого остатка;
— способ списания стоимости по сумме чисел лет сроков полезного
использования;
— способ списания стоимости пропорционально объему продукции (работ).
Рассмотрим некоторые особенности их применения.
Линейный способ. При его
использовании годовая сумма амортизационных отчислений рассчитывается исходя из
первоначальной стоимости объема основных средств и нормы амортизационных
отчислений:
,
где Сперв
— первоначальная стоимость объекта основных средств;
На — норма амортизационных отчислений, %.
Норма амортизационных отчислений определяется исходя из срока полезного
использования объекта основных средств:
,
где Tпи
— срок полезного использования объекта основных средств (лет).
Линейный способ начисления амортизационных отчислений является
традиционным для отечественной практики учета. При этом способе амортизационные
отчисления из года в год начисляются в одной и той же сумме в течение всего
срока эксплуатации объекта. Достоинством этого способа является простота
расчетов годовых (ежемесячных) амортизационных отчислений. Недостатком является
то, что при начислении амортизации не учитывается ни объем произведенных на
амортизируемом объекте основных средств продукции, ни режим эксплуатации
объекта, ни напряженность производственной программы.
Линейный способ начисления амортизации предполагает равномерную
загрузку оборудования на весь период эксплуатации, а следовательно, и
равномерный его износ. Это может быть справедливо в отношении физического
износа основных средств, однако их моральный износ происходит, как правило,
быстрее. Поэтому предприятие и амортизационные отчисления должно получать
ускоренно, желательно в первые годы эксплуатации.
Способ уменьшаемого остатка.
При его применении считается, что стоимость объекта основных средств
списывается понижающимися долями в течение срока полезного использования.
Годовая сумма амортизационных отчислений определяется исходя из остаточной
стоимости объекта основных средств на начало года и нормы амортизационных
отчислений в зависимости от срока полезного использования объекта. Размер
амортизационных отчислений, списываемых на себестоимость продукции, будет
уменьшаться с каждым последующим годом эксплуатации. Отчисления производятся в
первый год эксплуатации исходя из первоначальной стоимости, а в последующие —
из остаточной. Расчет производится по формуле:
,
где n —
номер года от начала срока последнего использования объекта основных средств;
 — сумма
накопленной амортизации на начало n-го года.
Пример.
Первоначальная стоимость объекта основных средств — 100 тыс. руб., срок
полезного использования — 5 лет, годовая норма амортизационных отчислений —
20%. Результаты расчета приведены в табл. 11.
Таблица 11
Пример расчета
амортизационных отчислений способом
уменьшаемого
остатка
| Год | Стоимость объекта основных средств, руб. | Норма амортизационных отчислений, % | Годовая величина амортизационных отчислений, руб. | 
| 1-й | 100 000 | 20 | 20 000 | 
| 2-й | 80 000 | 20 | 16 000 | 
| 3-й | 64 000 | 20 | 20 800 | 
| 4-й | 51 200 | 20 | 10 240 | 
| 5-й | 40 960 | 20 | 8 192 | 
| Итого | 67 232 | ||
Как видно
из данной таблицы, сумма амортизационных отчислений за период полезного
использования меньше первоначальной стоимости и у предприятия будет
недостаточно средств на реновацию объекта основных фондов. Недостающая сумма
может быть компенсирована за счет дохода по депозитам в банке, на депозитных
вкладах которого размещены средства амортизационного фонда предприятия.
Способ списания стоимости по
сумме чисел лет сроков полезного использования. При его применении годовая
сумма амортизационных отчислений определяется исходя из первоначальной
стоимости объекта основных средств, а также соотношения чисел лет, оставшихся
до конца срока службы объекта, и суммы чисел лет срока полезного использования
объекта:
,
где 
 — сумма
чисел лет срока полезного использования объекта.
Сумма амортизационных отчислений меняется с каждым годом полезного
использования объекта основных средств. Максимальная величина амортизации
начисляется в начальные годы использования объекта с постепенным уменьшением к
концу срока полезного использования.
Способ описания стоимости по сумме чисел лет срока полезного
использования относится к ускоренным методам начисления амортизационных
отчислений, так как в первые 3 — 5 лет эксплуатации объекта основных средств 80
— 90% первоначальной стоимости будет отнесено на себестоимость выпускаемой
продукции.
Пример.
Приобретен объект основных средств первоначальной стоимостью 100 тыс. руб.,
срок полезного использования которого — 10 лет. Сумма чисел лет срока полезного
использования составит:
.
Годовая
величина амортизационных отчислений: в первом году А1 = 100 x 10 /
55 = 18,18 тыс. руб.; во втором году А2 = 100 x 9 / 55 = 16,36 тыс.
руб.; в третьем году А3 = 100 x 8 / 55 = 14,54 тыс. руб. и т.д.
Способ списания стоимости пропорционально
объему продукции (работ). При этом способе начисление амортизационных
отчислений производится исходя из натурального показателя объема продукции
(работ) в отчетном периоде и соотношения первоначальной стоимости объекта
основных средств и предполагаемого объема продукции (работ) за весь срок
полезного использования объекта основных средств:
,
где Аmi
— месяц, за который производится расчет амортизационных отчислений;
Rп — объем продукции (работ) в натуральных показателях за
отчетный период;
Rпр — предполагаемый объем продукции (работ) за весь срок
полезного использования объекта основных средств в натуральных показателях.
При этом рассматривается только та продукция, которая получена с
использованием данного конкретного объекта основных средств.
По данному способу начисление амортизационных отчислений производится
за каждый отчетный месяц исходя из фактического объема произведенной продукции.
Начисление амортизационных отчислений прекращается с месяца, в котором фактический
суммарный объем продукции (работ) равен предполагаемому объему за весь срок
полезного использования.
Применение способа списания стоимости пропорционально объему
произведенной продукции (работ) возможно, если в течение всего срока полезного
использования выпускается однородная продукция. Для расчета амортизационных
отчислений требуется организация аналитического учета выпуска продукции по
объектам основных средств.
Пример.
Предприятие приобрело транспортное средство первоначальной стоимостью 60 тыс.
руб. со сроком полезного использования 5 лет и с предполагаемым пробегом 400
тыс. км. В отчетном периоде пробег составил 15 тыс. км. Амортизационные
отчисления за отчетный период составят:
Ат = 15 x 60 / 400 = 2,25 тыс. руб.
Анализ
рассмотренных способов начисления амортизационных отчислений позволяет сделать
следующие выводы.
1. Способ уменьшаемого остатка целесообразно применять только при
повышенных нормах амортизационных отчислений (50 — 60%). На практике этот
способ широко применяется как дегрессивный способ ускоренной амортизации.
2. Способ списания стоимости по сумме чисел лет сроков полезного
использования является одним из способов ускоренной амортизации.
3. Способ списания стоимости пропорционально объему произведенной
продукции (работ) применим на предприятиях для начисления амортизационных
отчислений на транспортные средства.
Руководству предприятия предоставлено право выбора способа начисления
амортизационных отчислений. При этом предпочтение должно отдаваться тому из
них, который наиболее точно отражает реальный процесс снижения стоимости
основных средств в ходе производственного процесса. Выбранный способ должен
применяться в течение всего срока полезного использования группы основных
средств.
5.3. Методы начисления амортизационных отчислений
для целей
налогообложения
Начисление
амортизационных отчислений для целей налогообложения имеет некоторые
особенности по сравнению с амортизацией для целей финансового учета.
Предприятия начисляют амортизационные отчисления для целей
налогообложения одним из двух методов, определенных ст. 259
Налогового кодекса РФ:
а) линейным;
б) нелинейным.
Оба этих метода в равной степени могут быть использованы для расчета
амортизационных отчислений как по основным средствам, так и по нематериальным
активам. Сумма амортизации определяется налогоплательщиком ежемесячно по
каждому объекту амортизируемого имущества.
Как и для целей финансового учета, для целей налогообложения начисление
амортизационных отчислений начинается с первого числа месяца, следующего за
месяцем, в котором этот объект введен в эксплуатацию. Прекращается начисление
амортизационных отчислений с 1-го числа месяца, следующего за месяцем, когда
произошло полное списание стоимости объекта либо когда данный объект выбыл из
состава амортизируемого имущества предприятия по любым основаниям.
Расчет амортизационных отчислений линейным методом аналогичен
вышеизложенному.
Нелинейный метод предусматривает расчет амортизационных отчислений по
остаточной стоимости (способ уменьшаемого остатка). Норма амортизации
амортизируемого имущества определяется по формуле:
,
т.е.
норма линейной амортизации увеличивается в 2 раза.
При этом с месяца, следующего за месяцем, в котором остаточная
стоимость объекта достигнет 20% от первоначальной (восстановительной)
стоимости, амортизация по нему начисляется в следующем порядке:
— остаточная стоимость объекта в целях начисления амортизации
фиксируется как его базовая стоимость для дальнейших расчетов;
— сумма начислений за один месяц амортизации в отношении данного
объекта амортизируемого имущества определяется путем деления базовой стоимости
на количество месяцев, оставшихся до истечения срока его полезного
использования.
Налогоплательщик применяет линейный метод начисления амортизации к
объектам амортизируемого имущества, входящим в восьмую
— десятую
амортизационные группы. В эти группы входят здания, сооружения,
передаточные устройства, провода и кабели силовые, генераторы, компенсаторы
реактивной мощности, суда сухогрузные и пассажирские и т.д. По остальным
амортизационным группам имущества предприятие вправе самостоятельно выбрать
метод начисления амортизационных отчислений: линейный или нелинейный.
При расчете амортизации основных средств, используемых для работы в
условиях агрессивной среды и (или) повышенной сменности, к основной норме
амортизации применяется специальный коэффициент, но не выше 2. Для
амортизируемых основных средств, которые являются предметом договора финансовой
аренды (договора лизинга), к основной норме амортизации налогоплательщик вправе
применять специальный коэффициент, но не выше 3. Данные положения не
распространяются на основные средства, относящиеся к первой, второй и
третьей
амортизационным группам, в случае если амортизация по данным
основным средствам начисляется нелинейным методом.
По легковым автомобилям и пассажирским микроавтобусам с первоначальной
стоимостью соответственно более 300 тысяч рублей и 400 тысяч рублей основная
норма амортизации применяется со специальным коэффициентом 0,5. Организации,
получившие указанные легковые автомобили и пассажирские микроавтобусы в лизинг,
применяют основную норму амортизации со специальным коэффициентом 0,5.
Допускается начисление амортизации по нормам ниже установленных по
решению руководителя организации, закрепленному в учетной политике для целей
налогообложения. Использование пониженных норм амортизации допускается только с
начала налогового периода и в течение всего налогового периода.
5.4. Ускоренная амортизация
Ускоренная
амортизация — более быстрое по сравнению с амортизацией по установленным нормам
воспроизводство основных средств через текущие издержки производства
(себестоимость).
В мировой практике существуют два метода ускоренной амортизации.
Линейный метод — равномерное
списание стоимости основных средств за искусственно сокращенный срок
амортизации.
Так, в США в 1981 г. срок амортизации оборудования сокращен с 12 лет 7
мес. до 5 лет 7 мес. В Англии срок амортизации для некоторых видов оборудования
установлен 3 — 4 года (и меньше) при фактическом сроке службы 12 лет. В
Швейцарии правилами разрешается списывать в 1-й год до 30% стоимости, а
дальнейшие ежегодные списания не могут быть ниже 20%, т.е. стоимость оборудования
должна быть списана в течение 5 лет.
Дегрессивный метод — это
списание стоимости основных средств способом уменьшаемого остатка. При этом
устанавливается повышенная норма амортизационных отчислений (50 — 60%). За
первые 4 — 5 лет будет списано почти 100% его полной стоимости.
Применение ускоренных методов начисления амортизации позволяет за более
короткий срок накопить достаточные амортизационные отчисления, а затем
использовать их для реконструкции и технического перевооружения производства. У
предприятия появляются большие инвестиционные возможности. Это первый
выигрышный момент ускоренной амортизации. Второй выигрыш заключается в том, что
себестоимость продукции в первые годы эксплуатации увеличивается на величину
дополнительной амортизации, а прибыль снизится на эту же величину,
следовательно, предприятие заплатит меньший налог на прибыль.
При ускоренной амортизации может быть получена выгода и от снижения
суммы налога на имущество предприятия.
Ускоренную амортизацию целесообразно проводить в том случае, когда
предприятие прочно стоит на ногах, а издержки на выпуск продукции значительно
ниже, чем у конкурентов. Если же предприятие находится в тяжелом финансовом
положении вследствие неконкурентоспособности продукции или по другим причинам,
то в этом случае лучше отказаться от применения ускоренной амортизации.
Ускоренная амортизация для отечественных предприятий разрешена Постановлением
Правительства РФ от 19 августа 1994 г. N 967 «Об использовании механизма
ускоренной амортизации и переоценке основных фондов».
Предприятия могут применять метод ускоренной амортизации в отношении
основных фондов, используемых для увеличения выпуска средств вычислительной
техники, новых прогрессивных видов материалов, приборов и оборудования,
расширения экспорта продукции. Она разрешается в тех случаях, когда предприятия
осуществляют массовую замену изношенной и морально устаревшей техники новой,
более производительной. При введении ускоренной амортизации предприятия
применяют равномерный (линейный) метод ее начисления, при этом установленная
норма амортизационных отчислений увеличивается, но не более чем в два раза.
Метод начисления ускоренной амортизации не распространяется на машины,
оборудование и транспортные средства со сроком полезного использования до трех
лет.
В Постановлении
дается право малым предприятиям в целях стимулирования обновления машин и
оборудования в первый год функционирования наряду с применением ускоренной
амортизации списывать дополнительно в виде амортизационных отчислений до 50%
первоначальной стоимости основных средств со сроком службы свыше трех лет.
Пример.
Индивидуальным предпринимателем приобретен станок с ЧПУ стоимостью Сперв
= 1 000 000 руб. Годовая норма амортизации — 10%.
ИП имеет право в 1-й год эксплуатации списать на себестоимость
продукции сумму:
В связи с
правом на ускоренную амортизацию дополнительно на издержки производства
относится сумма:
Общая
сумма отчислений составит:
500 000 +
200 000 = 700 000 руб.
На эту величину уменьшится расчетная валовая прибыль в 1-й год
эксплуатации, и налоговая база будет заметно минимизирована.
Увеличенная
ставка нормы амортизации — это по существу разрешение государства направлять
средства на развитие предприятия, минуя процесс налогообложения. И если у
государства основной целью является увеличение темпов развития производства, то
оно активно должно идти на установление ускоренных норм амортизации.
5.5. Особенности учета амортизационных отчислений
в
производственном учете
На
практике при расчете срока полезного использования оборудования не удается, как
правило, избежать отклонений от фактического срока его использования на
предприятии. В этой ситуации возникает необходимость корректировки
амортизационных отчислений, поскольку задачей производственного учета является
как можно более точное определение издержек по амортизации в каждом отдельном
периоде.
В отличие от бухгалтерского учета, где начисление амортизационных
отчислений прекращается с истечением срока полезного использования, в
производственном учете амортизационные отчисления начисляются и в тех случаях,
когда уже полностью списанное оборудование используется в производстве и после
истечения срока его эксплуатации. Сумму амортизационных отчислений в
дополнительные периоды использования основных фондов рассчитывают исходя из
скорректированных сроков эксплуатации.
Пример.
Установленный срок эксплуатации станка — семь лет. Первоначальная стоимость
составила 60 тыс. руб. По истечении семи лет руководство предприятия принимает
решение об использовании станка в течение еще одного года. Годовая величина
амортизационных отчислений в течение первых семи лет составит 60 000 : 7 = 8
571 руб., в течение восьмого года эксплуатации 60 000 : 8 = 7 500 руб.
Если же
оборудование выводится из эксплуатации до истечения ее срока, то амортизация с
этого момента не начисляется. Часть первоначальной стоимости, не списанная на
момент выбытия, в производственном учете не рассматривается. В бухгалтерском
учете эта остаточная стоимость отражается по соответствующей статье расходов.
Наименьшая погрешность в расчете доли списываемой стоимости
оборудования обеспечивается при расчете амортизации исходя из цен данного
оборудования в текущем периоде. Поэтому на практике амортизацию начисляют
исходя из средней восстановительной стоимости оборудования в отчетном году.
Начисление амортизации на основе первоначальной стоимости по бухгалтерской
отчетности может осуществляться только при неизменных ценах на оборудование.
При определении восстановительной стоимости необходимо учитывать повышение цен
на аналогичное оборудование, вызванное увеличением его производительности.
Амортизационные отчисления учитывают на основе данных картотеки
основных средств, которая ведется главной бухгалтерией предприятия. На каждую
единицу основных средств заводится стандартная карта учета, которая содержит
информацию о состоянии каждой учитываемой единицы. Чтобы обеспечить
правильность учета калькуляционной амортизации, необходимо своевременно
зарегистрировать любое перемещение, продажу, демонтаж оборудования на
предприятии и уведомить о них главную бухгалтерию.
Контрольные вопросы
1.
Назовите назначение и содержание амортизационных отчислений.
2. Какие существуют способы расчета амортизационных отчислений для
целей финансового учета?
3. Опишите линейный способ расчета амортизационных отчислений.
4. Расчет амортизационных отчислений способом уменьшаемого остатка.
5. Расчет амортизационных отчислений способом по сумме чисел лет срока
полезного использования.
6. Особенности расчета амортизационных отчислений способом списания
стоимости пропорционально объему произведенной продукции (работ).
7. Каково назначение, порядок образования и расходования средств
«амортизационного счета» предприятия?
8. В чем состоит экономическое назначение ускоренной амортизации?
9. Какие существуют способы расчета ускоренной амортизации?
10. Какая экономическая взаимосвязь имеется между амортизационными
отчислениями и реновацией основных средств?
11. В чем состоят особенности учета амортизационных отчислений в
производственном учете?
12. Как и кем устанавливается срок полезного использования объектов
основных средств?
13. Назовите основные отличия расчетов амортизационных отчислений для
финансового учета и для целей налогообложения.
Тестовые задания к разделу I
1.
Организация производственного учета на предприятии — это:
а) учет доходов от производственной деятельности предприятия;
б) учет результатов производственно-хозяйственной деятельности
предприятия;
в) учет расходов предприятия на социальные нужды;
г) учет и анализ издержек производства.
2.
Хозяйственные операции по уменьшению денежных средств называются:
а) издержки;
б) расходы;
в) затраты.
3.
Расходы, связанные с изготовлением и реализацией продукции, выполнением работ и
оказанием услуг, а также с приобретением и продажей товаров, — это:
а) операционные расходы;
б) внереализационные расходы;
в) расходы по обычным видам деятельности;
г) чрезвычайные расходы.
4.
Основные принципы формирования состава доходов определены:
а) ПБУ 9/99;
б) ПБУ 10/99;
в) ПБУ 6/97.
5. ПБУ 9/99
устанавливает правила формирования в бухгалтерском учете информации:
а) о расходах;
б) о затратах;
в) о доходах.
6. Что
признается доходами предприятия:
а) увеличение экономических выгод;
б) увеличение объема потребляемых ресурсов;
в) уменьшение экономических выгод.
7. К
расходам, осуществляемым в целях управления производством, относятся:
а) общехозяйственные;
б) общепроизводственные;
в) основные.
8.
Расходы, отличные от расходов по обычным видам деятельности, считаются:
а) прямыми расходами;
б) прочими расходами;
в) косвенными расходами.
9.
Доходами предприятия признаются:
а) суммы налога на добавленную стоимость, акцизов, налога с продаж;
б) авансы в счет оплаты товаров, продукции, услуг, работ;
в) поступления активов (денежных средств, иного имущества) и (или)
погашения обязательств, приводящие к увеличению капитала предприятия.
10. При
использовании метода «ЛИФО» израсходованные материалы оценивают:
а) вначале по себестоимости последней партии, затем по себестоимости предыдущей;
б) вначале по себестоимости первой партии, затем по себестоимости
последующих;
в) по средневзвешенной себестоимости всех партий продукции.
11. При
использовании метода «ФИФО» остаток материалов на складе на конец
месяца оценивают:
а) по себестоимости первой партии;
б) по себестоимости последней партии;
в) по средневзвешенной себестоимости всех партий продукции.
12.
Материальные расходы относят к группе:
а) расходов, связанных с производством и (или) реализацией продукции;
б) расходов на содержание и ремонт, эксплуатацию основных средств и
иного имущества;
в) прочих расходов, связанных с производством и (или) реализацией.
13.
Амортизационные отчисления предназначены для компенсации:
а) расходов на содержание и эксплуатацию объектов основных средств;
б) физического и морального износа объектов основных средств;
в) расходов на капитальный ремонт и модернизацию объектов основных
средств.
14. К
расходам по оплате труда относятся:
а) премии за счет средств специального назначения;
б) оплата путевок на лечение и отдых, занятий в спортивных секциях,
кружках;
в) суммы, начисленные по тарифным ставкам, должностным окладам,
сдельным расценкам.
15. К
постоянным издержкам производства относятся:
а) заработная плата производственных рабочих;
б) расходы на оплату покупных сырья, материалов, полуфабрикатов;
в) оплата труда аппарата управления, амортизационные отчисления,
содержание зданий, сооружений.
16.
Переменные издержки:
а) цеховые накладные расходы;
б) общезаводские накладные расходы;
в) заработная плата основных производственных рабочих.
17.
Валовые издержки:
а) издержки на реализацию продукции;
б) сумма постоянных и переменных издержек;
в) издержки на подготовку и освоение выпуска новой продукции.
18. В
основе установления минимально возможной цены на продукцию лежат:
а) средние постоянные издержки;
б) средние переменные издержки;
в) предельные издержки;
г) средние валовые издержки.
19.
Альтернативные (вмененные) издержки:
а) издержки, связанные с выпуском продукции, аналогичной продукции
конкурентов;
б) издержки, обусловленные выпуском одновременно двух и более видов
продукции;
в) количество данного продукта, от которого следует отказаться или
которым нужно пожертвовать, чтобы получить какое-то количество любого нового
продукта.
20.
Предельные издержки:
а) максимально допустимые издержки на производство единицы продукции;
б) дополнительные издержки, связанные с производством еще одной единицы
продукции наиболее дешевым способом;
в) издержки, определяющие оптовую цену на единицу продукции.
Практические задания к разделу I
Задание 1
К каким понятиям, указанным в таблице, вы отнесете
перечисленные ниже финансовые операции, связанные с доходами и расходами:
1) произведена оплата за купленный на аукционе магазин;
2) поступила арендная плата за использование этого магазина
арендатором;
3) во время паводка пришла в негодность часть материалов на складе
предприятия;
4) страховое общество возместило ущерб, причиненный паводком;
5) на «амортизационный счет» в банке перечислена сумма
амортизационных отчислений;
6) получен и оплачен материал от поставщиков;
7) поступил платеж за реализованную продукцию;
8) поступил платеж за реализованные излишние основные фонды;
9) оплачен счет за капитальный ремонт объекта основных средств
сторонней организацией?
Впишите выбранный номер в таблицу.
Задание 2
Укажите, к постоянным или переменным относятся следующие издержки
производства:
1) сырье и материалы;
2) амортизация машин и оборудования;
3) заработная плата основных производственных рабочих;
4) плата за аренду складских помещений;
5) отопление цехов и административных зданий;
6) электроэнергия на освещение и хозяйственные нужды;
7) гарантийное обслуживание реализованных изделий предприятия;
8) дополнительная заработная плата основных производственных рабочих;
9) амортизация зданий цехов и административных зданий;
10) отчисления в фонд социальных нужд;
11) топливо и электроэнергия на технологические цели;
12) оплата услуг рекламных организаций;
13) упаковка готовой продукции предприятия;
14) оплата услуг сторонних организаций по капитальному ремонту зданий и
оборудования;
15) оплата командировок по производственной необходимости.
Задание 3
Определите, к какой группе издержек можно отнести виды расходов
мастерской по изготовлению замков, указанные в таблице.
Впишите номера выбранных групп. Издержки могут относиться к нескольким группам
(например, одновременно переменные и производственные):
1) переменные;
2) постоянные;
3) расходы отчетного периода;
4) расходы, относимые на себестоимость;
5) административные;
6) производственные;
7) прямые расходы на материалы;
8) прямые расходы на оплату труда;
9) производственные накладные расходы;
10) общехозяйственные накладные расходы.
Задание 4
Для производства продукции приобретен материал в последовательности,
указанной в таблице.
| Операция | Дата | Количество, кг | Цена за 1 кг, руб. | 
| Остаток на начало месяца | 01.01 | 300 | 9,5 | 
| Поступило за месяц | 08.01 | 420 | 10,0 | 
| 15.01 | 610 | 20,3 | |
| 22.01 | 500 | 12,5 | |
| 30.01 | 250 | 25,5 | |
| Отпущено в производство в целом за месяц | 1 810 | ||
| Остаток на складе на конец месяца | 31.01 | 270 | 
Оцените
фактическую себестоимость списываемых в производство материалов и остаток их на
складе по средневзвешенной себестоимости и методами «ФИФО» и
«ЛИФО».
Задание 5
В бухгалтерии промышленного предприятия за отчетный период отражено
следующее движение капиталов (см. таблицу):
| Дата | Приход, кг | Расход, кг | Цена, руб/кг | 
| 15.01 | 2 300 | ||
| 10.02 | 5 000 | 13,6 | |
| 03.03 | 1 500 | ||
| 13.04 | 4 000 | ||
| 29.05 | 1 800 | ||
| 19.07 | 3 000 | 13,75 | |
| 11.08 | 2 500 | ||
| 13.08 | 6 000 | 13,1 | |
| 29.10 | 3 500 | ||
| 16.11 | 1 500 | 
Остаток
на складе на 1 января составлял 8 300 кг по цене 13,0 руб/кг.
1. Найдите остаток материала на складе на конец года.
2. Определите фактическую себестоимость расхода материала за данный
период и остаток материала на складе по средневзвешенной себестоимости и
методами «ФИФО» и «ЛИФО».
Задание 6
Предприятие приобрело высокотехнологическое оборудование с
первоначальной стоимостью 1 800 000 руб. Предполагается эксплуатировать его 5
лет с остаточной стоимостью 150 000 руб. В течение времени эксплуатации
оборудования планируется произвести 550 000 ед. продукции, в том числе в 1-й
год — 120 000, во 2-й — 125 000, в 3-й — 140 000, в 4-й — 90 000, в 4-й — 75
000 ед.
Вычислите амортизационные отчисления:
— линейным способом;
— способом пропорционально объему выпуска продукции.
Задание 7
Предприятие при начислении амортизационных отчислений использует метод
ускоренной амортизации. Балансовая стоимость оборудования составляет 3 600 000
руб. Срок полезного использования — 8 лет. Коэффициент ускорения — 1,5.
Определите размер ежегодных амортизационных отчислений способами:
— линейным;
— уменьшаемого остатка;
— по сумме чисел лет срока полезного использования.
Задание 8
Малое предприятие с началом работы приобрело оборудование, подлежащее
ускоренной амортизации. Первоначальная стоимость — 150 000 руб., срок полезного
использования — 10 лет. Коэффициент ускорения — 2.
Рассчитайте величину амортизационных отчислений в первый и второй годы
работы предприятия.
Задание 9
Предприятие лесной промышленности, расположенное на Крайнем Севере,
использует автомобили грузоподъемностью 2 т и прицепы с 75% пробега для вывозки
леса из лесосек.
Балансовая стоимость автомобилей — 760 000 руб., норма амортизации —
14,3%. Поправочный коэффициент для автомобилей, работающих с прицепами не менее
70% пробега, — 1,1. Поправочный коэффициент для автомобилей, постоянно
работающих в условиях Крайнего Севера, — 1,3. Поправочный коэффициент для
автомобилей, постоянно работающих на вывозке леса из лесосек, — 1,2.
Определите величину ежегодных амортизационных отчислений по автомобилям
линейным способом.
Задание 10
На балансе предприятия два вида оборудования. Балансовая стоимость
первого оборудования — 105 000 руб. По данным статистики, к началу отчетного
года стоимость его рыночных аналогов составляет 120 000 руб. Балансовая
стоимость второго оборудования — 60 000 руб. Коэффициент переоценки для второго
оборудования — 1,24. На начало года на счете 02 «Износ основных
фондов» имеется сальдо 24 000 руб.
Определите размер амортизационного фонда (сальдо на счете 02) после
переоценки и величину остаточной восстановительной стоимости оборудования.
Норма амортизации — 8%.
Раздел II. КАЛЬКУЛИРОВАНИЕ СЕБЕСТОИМОСТИ ПРОДУКЦИИ
Глава 6. ОСНОВЫ КАЛЬКУЛИРОВАНИЯ
6.1. Роль калькулирования себестоимости продукции
в управлении
производством
В
отечественном бухгалтерском учете слово «калькуляция» (лат. calculation — вычисление) появилось во
второй половине XIX в. и означает исчисление себестоимости.
Калькулирование как элемент метода бухгалтерского учета существовало не
всегда, его возникновение непосредственно связано с зарождением мануфактурного
производства. Наиболее стремительное развитие калькулирование в качестве
инструмента оценки рентабельности товаров, способа преодоления конкуренции
получило в условиях промышленного производства.
В современной экономической литературе калькулирование определяется как
система экономических расчетов себестоимости единицы отдельных видов продукции
(работ, услуг). В процессе калькулирования соизмеряются издержки на
производство с количеством выпущенной продукции и определяется себестоимость
единицы продукции.
Задачи калькулирования — определить издержки, которые приходятся на
единицу их носителя, т.е. на единицу продукции (работ, услуг), предназначенной
для реализации, а также для внутреннего потребления.
Предпосылкой калькулирования является учет производственных издержек
(производственный учет). Он первичен по отношению к калькулированию.
Производственный учет предполагает сбор информации об издержках
предприятия, документальное оформление хозяйственных операций, связанных с
производством. В системе производственного учета такая информация обобщается,
группируется по различным признакам и анализируется. Лишь на базе информации,
подготовленной в системе производственного учета, возможно калькулирование.
Между калькулированием и производственным учетом существует тесная
связь и взаимозависимость. С одной стороны, базой для расчета себестоимости
единицы продукции является информация, собранная в системе производственного
учета. Калькулирование себестоимости конечного продукта предопределяется
системой и организацией производственного учета. С другой стороны, степень
детализации производственного учета зависит от задач, стоящих перед
предприятием в области калькулирования.
Калькулирование себестоимости продукции является объективно необходимым
процессом при управлении производством.
Современные системы калькулирования позволяют не только решать
традиционные задачи, но и прогнозировать экономические последствия следующих
ситуаций:
— целесообразность дальнейшего выпуска продукции;
— установление оптимальной цены на продукцию;
— оптимизация ассортимента выпускаемой продукции;
— целесообразность обновления действующей технологии и станочного
парка;
— оценка качества работы управленческого персонала.
Современное калькулирование лежит в основе оценки выполнения принятого
предприятием или центром ответственности плана. Оно необходимо для анализа
причин отклонений от плановых зданий по себестоимости. Данные фактических
калькуляций используются для последующего планирования себестоимости, для
обновления экономической эффективности внедрения новой техники, выбора
современных технологических процессов, проведения мероприятий по повышению
качества продукции.
Калькулирование является основой трансфертного ценообразования. Трансфертная
(внутренняя) цена применяется при коммерческих операциях между подразделениями
предприятия. Наибольшую актуальность вопросы формирования трансфертных цен
имеют при наличии права у подразделений предприятия самостоятельно выходить на
внешних покупателей. В этом случае от правильного формирования трансфертной
цены будет зависеть общее финансовое положение предприятия.
Если продукция подразделения полностью потребляется внутри предприятия,
то трансфертная цена является лишь учетной категорией, необходимой для
обеспечения хозяйственных связей между подразделениями, и не влияет на конечные
результаты предприятия.
Таким образом, производственный учет и калькулирование являются
основными элементами системы управления не только себестоимостью продукции, но
и производством в целом.
6.2. Принципы организации производственного
калькуляционного
учета себестоимости продукции
Производственный
калькуляционный учет является составной частью производства и охватывает
процессы формирования себестоимости всей товарной продукции или ее единицы как
по отдельным производствам, так и по видам, маркам, сортам и наименованиям.
Связь учета издержек производства продукции и калькуляционного учета
себестоимости продукции в системе производственного учета показана на рис. 19.
Связь учета издержек производства и калькуляционного учета
себестоимости
продукции
Этап 1. Учет издержек
производства
┌──────────────────────────────────────────┐
┌─────┤Группировка издержек
производства по видам├─────┐
          │
└──────────────────────────────────────────┘     │
         \│/
 \│/
┌─────────┴─────────────────┐
┌──────────────────┴────────┐
│  Списание прямых издержек │                 │Списание косвенных
издержек│
│ производства │ │ производства │
├──────────┬────────────────┤
├────────────────┬──────────┤
│
основного│вспомогательного│                 │вспомогательного│
основного│
└────┬─────┴───────┬────────┘
└───────┬────────┴──┬──┬─┬─┬┘
│ \│/ \│/ /│\ │ │/│\
     │
┌─────────┴──────────────────────────────────┴──────────┐│  │ │ │
     │
│  Формирование издержек
вспомогательного производства
││  │ │
│
     │
└───────────────────────────┬───────────────────────────┘│  │ │ │
│ \│/ │ │ │ │
     │
┌───────────────────────────┴───────────────────────────┐│  │ │ │
     │
│   Распределение услуг
вспомогательного производства
├┘  │ │
│
     │
└───────────────────────────┬───────────────────────────┘   │ │ │
     │                              \│/                              │ │
│
     │
┌───────────────────────────┴───────────────────────────┐   │ │ │
     │
│Распределение косвенных издержек основного
производства│<──┘ │ │
     │
└───────────────────────────┬───────────────────────────┘     │ │
└──────────────────────┐        │
┌────────────────────────┘
│
\│/ \│/ \│/ │
┌───────────────┐
┌───┴────────┴────────┴───┐
┌──────────────┴┐
│  Определение
│       │  Формирование издержек  │
│   Недостачи   │
│потерь от
брака├──────>│  основного производства
├──────>│
незавершенного│
│               │       │ по местам возникновения
│       │  производства │
└───────────────┘       │(центрам
ответственности)│       └───────────────┘
└────────────┬────────────┘
\│/
┌───────────────┐
┌────────────┴────────────┐
┌───────────────┐
│ Себестоимость
├──────>│    Списание со счета
├──────>│ Оприходование
│
│  бракованной
│       │  основного производства │       │    отходов
│
│   продукции
│
└────────────┬────────────┘       │
производства │
└───────────────┘ \│/ └───────────────┘
┌────────────────────────┴────────────────────────┐
            │Формирование остатков
незавершенного производства│
└─────────────────────────────────────────────────┘
Этап 2. Калькуляционный
учет себестоимости продукции
┌─────────────────────────────────────────────────────────────────────────┐
│ Формирование
себестоимости готовой продукции по отдельным производствам │
└────────────────────────────────────┬────────────────────────────────────┘
\│/
┌────────────────────────────────────┴────────────────────────────────────┐
│ Калькулирование
фактической себестоимости видов продукции, работ, услуг │
└────────────────────────────────────┬────────────────────────────────────┘
\│/
┌────────────────────────────────────┴────────────────────────────────────┐
│Калькулирование
фактической себестоимости единицы продукции, работ, услуг│
└────────────────────────────────────┬────────────────────────────────────┘
\│/
┌────────────────────────────────────┴────────────────────────────────────┐
│  Калькулирование фактической себестоимости
всей продукции, работ, услуг │
└─────────────────────────────────────────────────────────────────────────┘
Рис. 19
Как любая
система, производственный калькуляционный учет имеет свои принципы организации,
объекты учета, виды и формы документов, в которых отражаются исходные данные,
промежуточные и конечные результаты.
Учетная информация, полученная в процессе калькулирования себестоимости
продукции, служит основой для составления производственного отчета об издержках
производства, определения учетных данных о величине себестоимости
незавершенного производства и списания издержек производства на
непроизводственные расходы. Следовательно, без калькулирования фактической
себестоимости продукции завершить составление производственного отчета об
издержках производства на достоверной основе невозможно.
При организации производственного калькуляционного учета необходимо
учитывать две существенные особенности:
— процесс калькулирования себестоимости продукции основан на
общепринятых в теории и практике положениях и нормах, регулирующих правила
формирования и учета издержек производства;
— этот процесс на каждом предприятии автономен и имеет свои принципы,
формы и методы учета формирования себестоимости продукции по отдельным объектам
калькулирования.
Поэтому производственный калькуляционный учет позволяет рассчитать в
отчетном периоде фактические издержки производства, относимые на себестоимость
продукции. Объекты калькулирования себестоимости продукции тесно взаимосвязаны
с объектами учета издержек производства и могут совпадать.
Основными организационными принципами производственного
калькуляционного учета себестоимости продукции являются следующие.
1. Документальное подтверждение принадлежности прямых издержек
производства к отдельным видам продукции. В первичных документах обязательно
указывается код или наименование продукции, на которую фактически отнесены
конкретные виды издержек производства.
2. Ведение документально подтвержденного первичного поэлементного учета
косвенно распределяемых издержек производства. Первичный учет издержек
производства ведется по экономическим элементам и видам, подлежащим косвенному
распределению между отдельными объектами калькулирования пропорционально
какой-либо экономической или расчетно-аналитической базе.
Локализация аналитических первичных учетных данных об издержках
производства по местам возникновения (центрам ответственности) достигается
путем проставления в первичных документах кодов соответствующих структурных
подразделений предприятия.
6.3. Методы калькулирования
Процесс
калькулирования состоит из совокупности способов, используемых для исчисления
себестоимости всего выпуска и единицы отдельных видов продукции (работ, услуг)
по установленной номенклатуре издержек, месту их возникновения (производство,
цех и т.п.), а также предприятию в целом.
Общий алгоритм составления калькуляции
В
зависимости от вида продукции и типа технологического процесса ее обработки
применяются различные методы калькулирования. Тем не менее в рамках каждого из
них издержки рассчитываются в определенной, соответствующей ходу
производственного процесса последовательности.
Методы калькулирования различаются только порядком расчета издержек.
Содержание калькулируемых по разным методам видов издержек не меняется. Поэтому
каждый из методов может быть применен для расчета и фактических, и плановых
издержек. К числу основных методов калькулирования относятся простая,
постатейная и комплексная калькуляции.
Простая калькуляция
Простая
(попроцессная) калькуляция применяется в отраслях с высокой степенью
физико-химической однородности производимой продукции (электроэнергии, тепловой
энергии, пара, строительных материалов), а также при расчете стоимости сырья,
получаемого в результате добычи полезных ископаемых из недр земли (угля, нефти,
природного газа и т.п.). Кроме того, она широко используется в химической,
нефтехимической, пищевой, металлургической отраслях промышленности.
Простая калькуляция имеет несколько разновидностей:
— одноступенчатая простая калькуляция;
— двухступенчатая простая калькуляция;
— многоступенчатая простая калькуляция.
В рамках одноступенчатой простой
калькуляции себестоимость единицы продукции определяется делением суммарных
издержек за отчетный период на количество произведенной в этом периоде
продукции в соответствующих единицах измерения (штуки, килограммы, метры и
т.п.):
,
где Сед
— себестоимость единицы продукции, руб/ед.;
и — суммарные издержки за отчетный период, руб.;
n — количество производимой продукции в этом периоде (шт., кг, м и
т.п.).
При усовершенствованной форме одноступенчатой калькуляции совокупные
издержки классифицируются по видам — сырье, материалы, оплата труда и т.д.
Тогда суммарная себестоимость единицы продукции определяется:
,
где C1,
C2… Cк — соответствующие виды издержек.
Алгоритм калькулирования себестоимости продукции в машиностроительной
отрасли приведен в табл. 12.
Таблица 12
Алгоритм
калькулирования себестоимости продукции
| Издержки | Суммарные издержки | Себестоимость | 
| Прямые издержки | ||
| сырье и материалы + транспортно-складские издержки на сырье и материалы + покупные полуфабрикаты и комплектующие изделия + транспортно-накладные издержки на полуфабрикаты и + издержки на топливо и энергия на технологические — стоимость возвратных отходов | = суммарные издержки на сырье, материалы, полуфабрикаты, комплектующие, топливо, энергию | |
| основная заработная плата производственных рабочих + дополнительная заработная плата производственных + отчисления в фонд социального обеспечения | = суммарные издержки на оплату труда | |
| расходы на освоение и подготовку производства + расходы на содержание и эксплуатацию оборудования + прочие прямые издержки производства | = суммарные издержки на изготовление продукции | = технологическая себестоимость | 
| Цеховые накладные расходы | ||
| издержки по управлению цехом + производственные издержки цеха + и др. | = цеховые накладные расходы | = цеховая себестоимость | 
| Заводские накладные расходы | ||
| накладные издержки по управлению предприятием + общезаводские накладные расходы + накладные издержки по сбыту + прочие прямые издержки по сбыту | = суммарные издержки по управлению предприятием и сбыту | = себестоимость единицы продукции (производственная) | 
Применение
одноступенчатой простой калькуляции возможно при соблюдении следующих условий:
— предприятие производит один вид продукции;
— на предприятии отсутствуют запасы полуфабрикатов;
— на предприятии не образуются запасы готовой продукции.
Данным условиям отвечают предприятия, продукция которых не может
сохраняться на складе, — электростанции, транспортные предприятия.
При двухступенчатой простой
калькуляции расчеты осуществляются по двум отдельным направлениям.
Во-первых, величина производственной себестоимости в отчетном периоде делится
на количество изготовленной в этом периоде продукции. Во-вторых, сумма издержек
на управление и сбыт за рассматриваемый период делится на количество
реализованной продукции за этот период:
,
где Спр
— производственная себестоимость продукции в отчетном периоде;
иус — сумма издержек на управление и сбыт;
nр — количество единиц продукции, реализованной за отчетный
период;
n — количество единиц продукции, произведенной в данный отчетный
период.
Метод двухступенчатой калькуляции позволяет:
— оценить запасы и готовую продукцию по производственной себестоимости;
— отнести издержки по управлению и сбыту в полном объеме на количество
реализованной продукции.
В отличие от одноступенчатой двухступенчатая простая калькуляция требует
наличия на предприятии простейшей системы учета издержек по местам их
возникновения, которая позволит выделить издержки производственной сферы и
издержки управления и службы сбыта.
Пример.
Известны следующие данные за месяц о деятельности предприятия, производящего
один вид продукции:
— производственная себестоимость — 780 тыс. руб.;
— количество продукции: произведенной — 8 тыс. шт.; реализованной — 6
тыс. шт.;
— издержки по управлению и сбыту — 150 тыс. руб.
Рассчитываем себестоимость единицы продукции:
Метод многоступенчатой простой калькуляции
применяется в случаях, когда процесс изготовления продукции состоит из
нескольких стадий, в конце каждой из которых находится промежуточный склад
полуфабрикатов.
Издержки по каждой стадии производства, определяемые в рамках учета по
местам возникновения, делятся на количество продукции, обработанной на каждом
участке. Суммарная себестоимость единицы готовой продукции рассчитывается по
следующей формуле:
,
где и1,
и2… ик — издержки по стадиям производства;
n1, n2… nк — количество продукции,
обработанной на каждом участке;
nр — количество единиц продукции, реализованной за отчетный
период.
Для повышения наглядности составленной калькуляции целесообразно
относить издержки на сырье и материалы непосредственно на единицу продукции. В
этом случае в калькуляции учитываются только издержки процесса производства по
каждой стадии и издержки на управление и сбыт. Такая разновидность простой
калькуляции носит название калькуляции
издержек по стадиям обработки. Себестоимость единицы готовой продукции в
этом случае рассчитывается по формуле:
,
где исм
— издержки на сырье и материалы на единицу продукции, руб.
Сфера применения рассмотренных методов простой калькуляции охватывает
массовое производство однородной продукции.
Пример.
Исходные данные по предприятию: издержки на сырье и материалы — 40 руб/шт.;
издержки на управление и сбыт — 150 тыс. руб/мес.
Схема распределения издержек по стадиям производства для данного случая
отображена в табл. 13.
Таблица 13
Распределение
издержек по стадиям производства
| Продукция, тыс. шт/1 мес. Издержки, тыс. | Стадии производства | |||
| 1 | 2 | 3 | Сбыт | |
| Производственная или реализованная продукция | 10 | 9 | 8 | 6 | 
| Издержки процесса изготовления | 160 | 180 | 200 | — | 
Исходя из
данных табл. 13 себестоимость единицы продукции определяется:
Постатейная (попередельная) калькуляция
Метод
постатейной калькуляции используется в отраслях промышленности, когда изделия
проходят в определенной последовательности через все этапы производства,
называемые попеределами. Поэтому он наиболее распространен на предприятиях
серийного и поточного производства. При расчете простой калькуляции
используется величина совокупных издержек производства, а при постатейной
калькуляции — единица продукции (партия, отдельный заказ).
Такая калькуляция требует разделения издержек на прямые и накладные.
Прямые издержки относят непосредственно на единицу продукции или заказ (т.е. на
носители), а накладные издержки, приходящиеся сразу на несколько видов
продукции или заказов, распределяют при помощи процентных коэффициентов
начисления.
Существующие формы носителей калькуляции различаются в зависимости от
вида и количества используемых в них коэффициентов начисления накладных
издержек. В зависимости от того, распределяются накладные издержки
предварительно по местам возникновения или нет, выделяют общепроизводственную постатейную
калькуляцию и постатейную калькуляцию по местам возникновения издержек.
Общепроизводственная постатейная
калькуляция встречается на предприятиях (в основном небольших) без деления
производства на участки возникновения издержек. В рамках системы учета по видам
издержек определяют их суммарную величину, которую затем распределяют на
единицу продукции (заказ) посредством одного или нескольких коэффициентов.
Базой распределения могут служить:
— прямые издержки на сырье и материалы;
— прямые издержки на изготовление продукции (основная заработная плата
производственных рабочих);
— суммарные прямые издержки;
— физические величины (например, время обработки).
Такой приблизительный, но простой в применении метод хорош для
предприятий с малым удельным весом накладных издержек (например, небольшая
ремесленная мастерская), а также при одном участке производства с небольшими
запасами сырья и низкими издержками на управление и сбыт.
Постатейная калькуляция по
местам возникновения издержек предусматривает сначала распределение
накладных издержек по разным участкам производства, а затем их относят на
единицу продукции согласно своим для каждого участка коэффициентам
распределения. Коэффициенты рассчитываются путем деления суммы накладных
издержек на величину базы распределения:
сумма накладных издержек
    К
= —————————.
     РАСПР
величина базы распределения
При учете
фактических издержек производства такие коэффициенты рассчитывают ежемесячно.
Расчет необходимых коэффициентов распределения может быть выполнен по следующим
формулам:
коэффициент распределения накладных издержек на сырье и материалы (КРНИСМ,
%):
             накладные издержки на сырье и
материалы
    К
= ————————————— x 100%;
     РНИСМ
прямые издержки на сырье и материалы
коэффициент
распределения накладных издержек производственного процесса (КРНИПП,
%):
             накладные издержки
производственного процесса
    К
= ——————————————— x 100%;
     РНИПП
зарплата основных производственных рабочих
здесь
вместо заработной платы в качестве базы распределения можно принять
проработанное время;
коэффициент распределения накладных издержек по управлению предприятием
(КРНИУП, %):
             накладные издержки по управлению
предприятием
    К
= ——————————————— x 100%;
РНИУП производственная себестоимость
коэффициент
распределения накладных издержек по сбыту (КРНИИСБ, %):
              накладные издержки по сбыту
продукции
    К
= ————————————- x 100%.
РНИСБ производственная себестоимость
Издержки
производственного процесса начисляются одним из следующих способов:
— на общую сумму заработной платы основного производственного
персонала;
— на суммы заработной платы основного производственного персонала по
участкам производства;
— на основе базисных чисел.
В простейшем случае издержки производственного процесса не распределяют
по отдельным местам возникновения, а относят на единицу продукции посредством
единого коэффициента начисления, который в большинстве случаев рассчитывают как
долю заработной платы основного производственного персонала. Это возможно в
случаях, когда производство состоит из одной стадии или когда при
многостадийном процессе не образуются запасы полуфабрикатов, а причины
возникновения издержек на каждой стадии однородны. Такой способ называется начислением накладных издержек
производственного процесса на общую сумму заработной платы основного персонала.
В случаях, когда издержки производственного процесса по участкам
различны, для каждого участка исчисляют свой коэффициент распределения по
данным о приходящейся на него величине заработной платы основных
производственных рабочих. Такой способ называется начислением накладных издержек на суммы заработной платы основного
персонала каждого участка производства. Этот способ применяется на
предприятиях с высоким удельным весом заработной платы в суммарных издержках по
изготовлению продукции.
Для составления точной калькуляции необходимо для каждого участка
производства выбирать свою базу распределения (одну или несколько), от величины
которой зависят все основные виды издержек. Наиболее распространены
количественные базы распределения (время обработки, производительность и т.п.).
Такой способ называется начислением
накладных издержек производственного процесса на основе базисных чисел.
Приведем пример калькуляции издержек на один час работы оборудования.
Исходные данные к рассмотренному примеру показаны в табл. 14.
Таблица 14
Исходные данные
и нормы калькулирования
| Издержки за отчетный период | Сумма, тыс. руб. | Нормы калькулирования издержек | 
| Прямые издержки на материалы | 1 320 | от прямых | 
| Накладные издержки на материалы | 99 | |
| Производственный участок А | На 6 570 часов отработанного времени: 
 | |
| Заработная плата основных производственных рабочих | 215 | |
| Накладные издержки | 475 | |
| Производственный участок Б | На 5 600 часов отработанного времени: 
 | |
| Заработная плата основных производственных рабочих | 140 | |
| Накладные издержки | 385 | |
| Производственный участок В | На 6 200 часов отработанного времени: 
 | |
| Заработная плата основных производственных рабочих | 210 | |
| Накладные издержки | 472 | |
| Прочие издержки производственного процесса | 180 | — | 
| Производственная себестоимость | 3 331 | — | 
| Издержки по управлению | 443 | от | 
| Издержки по сбыту | 236 | от | 
Обобщая
информацию об издержках производства, получаем:
прямые издержки на материалы
— 54,00;
прочие прямые издержки
производственного процесса — 10,70;
время обработки изделия:
участок А — 20 мин/шт.;
участок Б — 12 мин/шт.;
участок В — 15 мин/шт.
Исходя из имеющихся данных, производим калькулирование себестоимости
продукции (табл. 15).
Таблица 15
Расчет
себестоимости единицы продукции
| Прямые издержки | Суммарные издержки | Себестоимость | 
| Прямые издержки на материалы = 54,00 + накладные издержки на материалы (7,5% от 54,00) = 4,05 | = 58,05 | |
| Издержки по изготовлению: Участок А — 20 мин/шт. x 105,00 руб/ч = 35,00 + Участок Б — 12 мин/шт. x 93,75 руб/ч = 18,75 + Участок В — 15 мин/шт. x 110,00 руб/ч = 27,50 + Прочие прямые издержки процесса производства = | = 91,95 | = 150,00 — производственная себестоимость | 
| Издержки по управлению (13% от 150 000) = 19,50 + Издержки по сбыту (7,1% от 150 000) = 10,65 | = 30,15 | = 180,15 — себестоимость единицы продукции | 
Комплексная калькуляция
Если в
рамках какого-либо производственного процесса на выходе одновременно получается
несколько различных видов продукции, он носит название комплексного. Например,
ТЭС — электроэнергия, тепловая энергия, побочные продукты. Существуют два
метода комплексной калькуляции:
— метод остаточной стоимости;
— распределительный метод.
Метод остаточной стоимости
применяется в случаях, когда продукты комплексного производства делятся на
следующие виды:
— основной продукт, производство которого является основной целью
деятельности предприятия;
— один или несколько побочных продуктов, экономическая ценность которых
невелика или которые являются для предприятия отходами.
Объектом калькулирования служит основной продукт.
Производственную себестоимость определяют следующим образом: суммарные
издержки комплексного производства — выручка от реализации побочных продуктов
(за вычетом дополнительных издержек по их дальнейшей переработке и сбыту) плюс
издержки по утилизации побочных продуктов, которые не могут быть реализованы, и
все это делится на полученное количество единиц основного продукта. Затем при
помощи простой или постатейной калькуляции на единицу продукции определяют
издержки на необходимую дальнейшую переработку основного продукта, а также на
управление и сбыт. Эти издержки прибавляют к полученной ранее величине
производственной себестоимости. Таким образом рассчитывают конечную
себестоимость единицы основного продукта.
Распределительный метод
применяется тогда, когда невозможно классифицировать продукты комплексного
производства на основные и побочные. В таком случае их рассматривают как
равнозначные объекты калькулирования. Издержки распределяют при помощи
коэффициентов пересчета.
Последние рассчитываются исходя из данных о рыночных ценах и показывают
долю каждого продукта в покрытии совокупных издержек. Помимо рыночных цен для
расчета коэффициентов можно использовать и различные физические величины
(теплопроизводительность, весовые характеристики и т.п.).
6.4. Содержание статей калькуляции
Под
калькуляцией понимается расчет себестоимости единицы продукции. Калькуляция
себестоимости товарной продукции в целом по предприятию и по отдельным изделиям
осуществляется по калькуляционным статьям. Группировка издержек по
калькуляционным статьям расходов необходима для определения себестоимости
продукции и контроля за правильностью расходования средств на изготовление
изделия.
В машиностроении используется следующая группировка издержек по
калькуляционным статьям расходов.
1. Сырье и материалы.
2. Возвратные отходы (вычитаются).
3. Полуфабрикаты собственного производства.
4. Покупные комплектующие изделия, полуфабрикаты и услуги
кооперированных предприятий.
5. Контрагентские поставки и работы.
6. Топливо и энергия на технологические цели.
7. Основная заработная плата производственных рабочих.
8. Дополнительная заработная плата производственных рабочих.
9. Отчисления во внебюджетные фонды.
10. Расходы на освоение и подготовку производства.
11. Расходы на содержание и эксплуатацию оборудования.
12. Износ инструментов и приспособлений целевого назначения и прочие
специальные расходы.
13. Общепроизводственные накладные расходы.
14. Общехозяйственные накладные расходы.
15. Потери от брака.
16. Прочие производственные расходы.
17. Внепроизводственные расходы.
Номенклатура калькуляционных статей в отдельных отраслях промышленности
может претерпевать некоторые изменения.
Так, в некоторых отраслях используются статьи «Вспомогательные
материалы», «Амортизация оборудования» и другие, если их
удельный вес значителен. И наоборот, там, где затруднительно и практически
нецелесообразно выделять издержки в отдельные статьи, они объединяются с
другими подобными им издержками.
Рассмотрим содержание указанных статей калькуляции.
Сырье и материалы —
включаются издержки на материалы, которые входят в состав вырабатываемых
изделий, образуя их основу, а также на вспомогательные материалы, которые
используются в процессе изготовления данного изделия для обеспечения
нормального технологического процесса.
Возвратные отходы — под этим
понимаются остатки сырья, материалов, полуфабрикатов, теплоносителей и других
видов материальных ресурсов, образовавшиеся в процессе производства продукции,
утратившие полностью или частично потребительские качества исходного ресурса
(химические или физические свойства). Они могут быть использованы с повышенными
издержками для производства других видов продукции или вовсе не использоваться.
Полуфабрикаты собственного
производства — отражается стоимость полуфабрикатов заготовительных и
металлургических цехов предприятия (литье, поковки, штамповки), а также
издержки по их частичной отработке и отделке. В эту статью также включается
стоимость готовых изделий по номенклатуре плана межзаводской кооперации,
изготовляемых для собственных нужд. Издержки на полуфабрикаты собственного
производства и готовые изделия в себестоимость продукции включаются комплексной
статьей по производственной себестоимости.
Покупные комплектующие изделия,
полуфабрикаты и услуги кооперированных предприятий — отражается стоимость
готовых изделий и полуфабрикатов, требующих издержек на отработку или сборку и
приобретенных по кооперации для комплектации выпускаемой продукции.
Контрагентские поставки и работы
— отражается стоимость механизмов и изделий, полностью изготовленных
заводом-контрагентом.
Топливо и энергия на
технологические цели — включаются издержки на все виды топлива и энергии,
непосредственно расходуемые в процессе производства продукции, как полученные
со стороны, так и выработанные самим предприятием. К таким издержкам относятся:
— топливо для плавильных агрегатов в литейных и металлургических цехах,
для нагрева металла в кузнечно-прессовых и штамповочных цехах;
— топливо для проведения установленных технологическим процессом
испытаний (стендовых, сдаточных и контрольных);
— электроэнергия для получения сжатого воздуха, кислорода и холода.
Во всех остальных случаях (потребление для термических печей, для
сварки, для нагревательных печей и т.п.) стоимость энергии и топлива относится
на статью «Расходы на содержание и эксплуатацию оборудования».
Издержки на покупную электроэнергию состоят из расходов на ее оплату по
установленным тарифам, а также на трансформацию и передачу до внешних вводов
цехов.
Основная заработная плата
производственных рабочих — планируется и учитывается основная заработная
плата производственных рабочих, занятых непосредственно в процессе изготовления
продукции, инженерно-технических работников, выполняющих производственные
операции: изготовление продукции, настройку, регулировку и др.
В состав основной заработной платы производственных рабочих входят:
— оплата за выполнение операций и работ по сдельным нормам и расценкам;
— оплата труда рабочих, занятых непосредственно в производственном
процессе в целом или в отдельных технологических операциях, по повременной
системе оплаты труда;
— оплата по среднему заработку в период производственных командировок,
связанных с выполнением производственного процесса;
— доплата по сдельно-премиальной системе оплаты труда, включая
сдельно-прогрессивную (премиальную), премии за работу по технически
обоснованным нормам, за качество и др.;
— премия рабочим-повременщикам;
— районный коэффициент;
— доплата за сверхурочную работу рабочим и настройщикам в составе
сдаточных команд;
— оплата в размере двойной тарифной ставки (должностного оклада) при
проведении ходовых испытаний судов по специальной программе.
Основная заработная плата производственных рабочих относится на
себестоимость отдельных изделий и заказов прямым путем (как статья
калькуляции).
Дополнительная заработная плата
производственных рабочих — планируются и учитываются выплаты,
предусмотренные законодательством о труде или коллективными договорами за не
проработанное на производстве (неявочное) время:
— оплата очередных отпусков;
— компенсация за неиспользованный отпуск при увольнении или переводе
работника на другое предприятие;
— оплата льготных часов подростков;
— оплата перерывов в работе кормящих матерей;
— оплата выходного пособия;
— оплата за прохождение военных сборов;
— выплаты вознаграждений за выслугу лет;
— доплата рабочим за совмещение профессий в размере 30% тарифной ставки
от оклада заменяемого работника;
— доплата за межразрядную разницу;
— доплата за сверхурочную работу;
— доплата за работу в выходные и праздничные дни;
— надбавка за работу в районах Крайнего Севера и приравненных к ним
районах;
— надбавка неосвобожденным бригадирам за руководство бригадой и др.
Дополнительная заработная плата производственных рабочих относится на
себестоимость изделий (заказов) пропорционально основной заработной плате
производственных рабочих.
Отчисления во внебюджетные фонды
— отражаются обязательные отчисления по установленным законодательством нормам:
— в пенсионный фонд (ПФ);
— в фонд обязательного медицинского страхования (ФОМС);
— в фонд социального развития (ФСР).
Эти отчисления производятся от фонда оплаты труда основных
производственных рабочих.
Расходы на подготовку и освоение
производства:
— расходы на освоение новых производств, цехов, участков и агрегатов
(пусковые расходы);
— расходы на подготовку и освоение производства новых видов продукции и
новых технологических процессов;
— отчисления в фонд освоения новой техники;
— отчисления в фонд премирования за создание и освоение новой техники.
Расходы на подготовку и освоение производства включаются
непосредственно в производственную себестоимость и в оптовую цену следующей
продукции:
— всей специальной продукции;
— судостроения, судоремонта и электромонтажных работ;
— опытных образцов (партий) новых видов продукции;
— всех видов услуг;
— изделий, изготовляемых по разовым заказам.
Отчисления в фонд освоения новой техники и фонд премирования за
создание и освоение новой техники производятся в размере, предусмотренном
финансовым планом.
Расходы на содержание и
эксплуатацию оборудования — издержки на содержание, амортизацию и текущий
ремонт производственного и подъемно-транспортного оборудования, ценных
инструментов, цехового транспорта и рабочих мест в цехе, а также издержки на
восстановление быстроизнашивающихся инструментов и приспособлений общего
назначения. В порядке исключения в эту статью может включаться стоимость
вспомогательных материалов, используемых на технологические цели, если их
стоимость составляет незначительный удельный вес в себестоимости продукции, а
расчеты сметных ставок на единицу изделия сложны и нецелесообразны.
Расходы на содержание и эксплуатацию оборудования распределяются между
видами продукции пропорционально основной заработной плате производственных
рабочих.
Износ инструментов и
приспособлений целевого назначения и прочие специальные расходы — включают
издержки:
— на изготовление, приобретение и ремонт специальных инструментов и
приспособлений и специальной технологической оснастки, используемых при
производстве определенных изделий, за вычетом расходов, отнесенных на статью
«Расходы на подготовку и освоение производства»;
— проведение специальных эпизодических испытаний, оплату экспертиз,
консультаций и т.д., связанных с производством отдельных изделий или видов
продукции;
— специальную оснастку, амортизацию стапеля и других гидротехнических
сооружений;
— все виды энергии, потребляемой на стапеле и на плаву при обслуживании
судов, находящихся в процессе постройки и ремонта;
— содержание сдаточных баз, оплату работ ЦКБ по обслуживанию судов во
время постройки и др.
Расходы по статье «Износ инструментов и приспособлений целевого
назначения и прочие специальные расходы» на себестоимость продукции
относятся в следующем порядке:
— в судостроении и в судоремонте все издержки включаются в
себестоимость постройки или ремонта судов;
— в машиностроении и приборостроении издержки на оснастку относятся на
товарную продукцию по сметным ставкам, рассчитанным планово-экономическим
отделом, а другие расходы распределяются между незавершенным производством и
выпуском пропорционально плановой (нормативной) стоимости незавершенного
производства и товарной продукции.
Общепроизводственные и
общехозяйственные накладные расходы — рассмотрены в гл. 8.
Потери от брака — к данной
статье относятся себестоимость окончательно забракованной продукции, стоимость
материалов, полуфабрикатов и деталей, испорченных при наладке оборудования
сверх установленных норм, а также издержки на исправление брака. К потерям от
брака относятся также издержки на ремонт проданной с гарантией продукции, если
последняя вышла из строя ранее установленного для нее гарантийного срока.
Браком в производстве считаются изделия, полуфабрикаты, детали, узлы и
работы, которые не соответствуют по качеству установленным стандартам или
техническим условиям и не могут быть использованы по своему прямому назначению
или могут быть использованы лишь после исправления.
Для определения потерь от брака, относимых на себестоимость продукции,
к стоимости окончательного брака прибавляются издержки на исправление брака и
вычитаются стоимость забракованной продукции по цене ее возможного
использования и суммы, фактически удержанные с виновников брака.
Прочие производственные расходы:
— отчисления и расходы на финансирование научно-исследовательских и
опытных работ;
— издержки на гарантийное обслуживание и ремонт продукции;
— издержки на стандартизацию и отчисления на техническую пропаганду
(рекламу);
— другие расходы, не относящиеся ни к одному из указанных выше видов
издержек.
Размер отчислений на финансирование научно-исследовательских работ,
работ по стандартизации предусматривается в финансовом плане.
В отчетную себестоимость соответствующих изделий (заказов) эти
отчисления входят в размерах, предусмотренных в плановых (сметных)
калькуляциях.
Внепроизводственные расходы:
— расходы по транспортировке продукции;
— расходы на тару, упаковку изделий на складах готовой продукции;
— комиссионные сборы;
— скидки с оптовых цен;
— списание внепроизводственных расходов по реализованной продукции;
— прочие расходы по сбыту.
Внепроизводственные расходы включаются в себестоимость соответствующих
видов продукции прямым путем. При невозможности такого отнесения они могут
распределяться между отдельными видами продукции по специальному расчету в
процентах к производственной себестоимости.
Калькулирование себестоимости промышленной продукции — это определение
себестоимости единицы продукции каждого наименования, т.е. калькуляционной
единицы. В качестве калькуляционных единиц используют различные измерители:
натуральные, условно-натуральные, а в ряде случаев определяют величину затрат
на 1 руб. стоимости продукции данного вида. Данные о себестоимости
калькуляционной единицы при расчете приводятся в калькуляционных листах
(калькуляциях), которые представляют собой формы расчетов себестоимости
конкретных видов продукции. Формы калькуляционных листов устанавливаются
отраслевыми министерствами и их главными производственными управлениями
(ведомствами). Ими же утверждаются отраслевые инструкции по планированию, учету
и калькулированию себестоимости продукции для предприятий соответствующей
отрасли. Некоторые отраслевые инструкции в своем составе имеют направления по
планированию и учету совместно с этими показателями и показателями по основному
производству.
6.5. Виды калькуляций
В зависимости
от производственного назначения различают следующие виды калькуляций:
нормативная, плановая, отчетная и сметная.
Нормативная калькуляция
предполагает исчисление себестоимости единицы продукции по статьям расходов в
стоимостном выражении на основе действующих норм расхода
материально-технических ресурсов, заработной платы и др. Нормативные
калькуляции призваны обеспечить выполнение двух основных управленческих функций
— планирования и контроля.
Формирование бюджета производственной себестоимости, в который входят
нормативные калькуляции, является необходимым этапом при проведении процедуры
планирования. Без нормативных калькуляций практически невозможно создать бюджет
доходов и расходов (прибылей и убытков).
Показатели нормативной себестоимости непосредственно используются при
принятии решений относительно производственно-сбытовой программы, становятся
инструментом контроля, отражающим успешность реализации плана.
Для составления нормативных калькуляций необходимы:
— нормативные карты, содержащие данные о нормах (текущих или плановых)
потребления производственных ресурсов для изготовления единицы продукта;
— тарифный справочник, отражающий цены на потребляемые производственные
ресурсы;
— четко прописанный алгоритм (методика) расчета себестоимости.
Нормативные калькуляции используются для расчета остатков
незавершенного производства, оценки брака в производстве и определения
фактической себестоимости продукции. Все изменения действующих норм отражаются
в течение месяца в нормативных калькуляциях.
Плановая калькуляция
представляет собой задание по себестоимости отдельных изделий, работ, услуг.
Она определяется путем прямого расчета издержек по отдельным статьям на основе
передовых норм затрат труда, материалов, топлива, энергии, а также норм
использования оборудования и режима экономии в расходах по управлению и
обслуживанию производства. В рамках плановой калькуляции заранее исчисляют
поддающиеся точному расчету издержки на единицу продукции в определенном
плановом периоде. Необходимую информацию получают из системы учета плановых
издержек на предприятии. Все относящиеся к калькулированию издержек данные —
спецификация продукции, графики технологических процессов, необходимое
количество материалов, электроэнергии и т.п. — должны быть известны до начала
планового периода. Поэтому составление плановой калькуляции возможно на
предприятиях стандартного, серийного производства. Она составляется на год с
разбивкой по кварталам на все виды серийной продукции, изделий и работ,
предусмотренных производственной программой предприятия.
В плановых калькуляциях себестоимость продукции исчисляется по статьям
издержек в денежном выражении в соответствии с намеченными к применению в
течение планируемого периода производственными ресурсами, нормативами
использования оборудования, обслуживания и управления, смет комплексных
расходов на производство и т.д. Эта калькуляция определяет величину оптимально
допустимых издержек на единицу продукции и является основой расчета плановой
себестоимости всей продукции и сметы затрат на производство. Сопоставление
плановой себестоимости продукции с нормативной определяет степень напряженности
финансового плана предприятия.
Отчетная калькуляция
составляется на основе бухгалтерских данных по истечении отчетного периода и
представляет достоверную информацию о фактических издержках производства
продукции, выполнения работ, оказания услуг. Отчетная калькуляция служит
средством контроля за выполнением плановых заданий по себестоимости, базой для
экономического анализа, планирования, бухгалтерской и статистической
отчетности. Периодичность составления отчетных калькуляций устанавливается
исходя из требований управления.
В единичном и позаказном производстве вся отчетная калькуляция
составляется по мере закрытия заказа и служит для сравнения фактических и сметных
издержек, а также для определения прибыли, полученной от выполнения заказа. В
массовом и серийном производстве отчетная калькуляция составляется раз в месяц.
При выполнении долговременных заказов в целях контроля издержек и оценки
стоимости запасов составляют промежуточные
отчетные калькуляции для выполненных на данный момент частей заказа.
Промежуточная калькуляция может быть представлена как итоговая калькуляция
себестоимости полуфабрикатов.
Сметную калькуляцию
составляют до момента размещения заказа и начала производства. Она составляется
на предприятиях с единичным или позаказным производством и необходима для
определения цены предложения, а также для решений о принятии или отклонении
заказа. Степень точности калькуляции зависит от наличия информации, необходимой
для определения издержек (спецификации, графики технологических процессов и
т.п.) до момента размещения заказа. Сметные данные представляют основу для
переговоров по ценам. При этом необходимо помимо величины совокупных издержек
определить сметную предельную себестоимость и рассчитать на ее основе нижнюю
границу цен.
Данный вид калькуляции включает в себя стоимость единицы проектируемой
или вновь осваиваемой продукции в денежной форме. Ее иногда называют
предварительной калькуляцией в связи с тем, что она является основой для
разработки оптовых и розничных цен и в последующем для определения плановой
себестоимости. Сметная калькуляция служит также базой для определения
экономической эффективности новой продукции и прогрессивных (новых) технологий.
Система «стандарт-кост»
Название
«стандарт-кост» (Standart Costs) в широком смысле подразумевает
себестоимость, установленную заранее (в противоположность себестоимости, данные
о которой собираются).
Смысл системы «стандарт-кост» заключается в том, что в учет
ставится то, что должно произойти, а не то, что произошло, и обособленно
отражаются возникшие отклонения. Основная задача — учет потерь и отклонений в
прибыли предприятия. В ее основе лежит четкое, твердое установление норм затрат
материалов, энергии, рабочего времени, труда, заработной платы и всех других
расходов, связанных с изготовлением продукции. Причем установленные нормы
нельзя перевыполнять. Выполнение их даже на 80% означает успешную работу.
Превышение нормы означает, что она была установлена ошибочно.
Расчет стандартной себестоимости имеет определенный алгоритм. Все
операции, связанные с изготовлением изделия, нумеруются. Определяется перечень
сдельных и повременных работ, приходящихся на данное изделие. Расходы на
повременные работы определяются умножением стандартного времени, необходимого
для выполнения операции на стандартную часовую ставку. Стандартная стоимость
материалов рассчитывается как произведение стандартной цены на стандартный
расход. В качестве стандартных цен, как правило, используются рыночные.
Самостоятельным расчетом является определение ставки распределения
накладных расходов. Существуют следующие методы включения накладных расходов в
стандартную себестоимость:
— ставки распределения на каждый станок цеха;
— ставки, установленной для каждого цеха;
— общей (унифицированной) ставки.
Более точные результаты даст первый метод. Он наиболее трудоемкий. Им
пользуются в тех случаях, когда требуется особая точность в расчетах
стандартной себестоимости. Предприятие, где все производственные операции
оплачиваются по сдельной форме, а все материалы отпускаются по спецификациям,
наиболее приспособлено для практического применения системы
«стандарт-кост». Процедура учета затрат и калькулирования в этом
случае сводится:
— к записи отклонений от стандартных цен на поступающие материалы;
— определению стоимости брака;
— сопоставлению действительных общепроизводственных расходов со
стандартными.
При этом все расходы сверх установленных норм относятся на виновных лиц
и не включаются в счета, отражающие затраты.
Нормативный метод учета
Нормативный
метод учета издержек представляет собой вид учетной подсистемы,
характеризующийся наличием норм использования ресурсов, нормативных (учетных)
цен этих ресурсов и использованием этих показателей для планирования и
контроля.
Характеризуется следующими особенностями:
— наличие норм потребления ресурсов и учетных цен этих ресурсов в
процессах деятельности предприятия;
— отражение фактических издержек с подразделением их по нормам и
отклонениям;
— оперативный учет отклонений от норм потребления ресурсов с
установлением размера отклонений, мест возникновения, причин и виновников с
целью использования этих данных для управления производством;
— системный учет изменений норм с целью проверки обоснованности
текущего уровня норм;
— формирование отчетов о возникших издержках с детализацией выявленных
отклонений по факторам и виновникам, вызвавшим данные отклонения.
Нормирование — это процесс
анализа использования оборотных средств (ОС) разработки, согласование
нормативов и норм расхода элементов ОС или других объектов.
Норма расхода — это
максимально допустимая величина абсолютного расхода сырья, материалов и других
элементов оборотных средств на производство единицы продукции (работы)
установленного качества и в условиях производства планируемого года.
Нормативы — это показатели,
характеризующие относительную или удельную величину расхода ресурсов (орудий
труда, предметов труда) на единицу площади, массы, объема и другие. Например,
коэффициент использования оборудования, норматив съема продукции с 1 м2
производственной площади или пода печи и т.д.
На предприятиях система норм и нормативов трансформируется в
нормативную базу. Она должна учитывать специфику производственных процессов на
предприятии.
На практике используются следующие методы разработки норм и нормативов:
расчетно-аналитический, опытный, отчетно-статистический,
экономико-математический.
Расчетно-аналитический метод
предусматривает определение индивидуальных норм по данным
конструкторско-технологической документации с учетом
организационно-экономических условий на дату внедрения нормы.
Опытный метод разработки
норм основан на данных замеров полезного расхода элемента оборотных средств,
потерь и отходов, определяемых в лабораторных или производственных условиях.
Отчетно-статистический метод
разработки норм основан на применении отчетных данных по использованию ресурсов
в прошлые периоды в аналогичных условиях с корректировкой на изменение условий.
Это наиболее простой и наименее точный метод.
Экономико-математический метод
разработки норм основан на применении теории вероятности, линейной алгебры и
ЭВМ. Для его применения нужен значительный объем статистических данных по
расходу ресурсов и факторов, определяющих величину расходов. Это наиболее
точный метод.
Для внедрения нормативного метода должны быть созданы следующие
предпосылки:
— наличие «нормативного хозяйства»;
— наличие регламента ведения учета и анализа отклонений.
Нормативное хозяйство — это
система, которая включает методологическую базу и необходимую
организационно-техническую инфраструктуру, обеспечивающую:
— разработку норм и нормативов;
— ревизию (пересмотр) норм и нормативов;
— внесение изменений в нормы и нормативы.
Требования к нормам: нормы должны отражать действительные потребности в
потребляемых ресурсах при данном технологическом и организационном уровне
производства.
Принято различать:
— плановые нормы — это средние в течение определенного периода (года,
квартала). Используются для среднесрочного и долгосрочного планирования;
— текущие нормы — нормы, действующие в данный момент. Используются для
оперативного управления.
Текущие нормы могут совпадать с плановыми, если в течение
рассматриваемого периода не предполагается их изменение.
Нормативный метод учета является эффективным инструментом:
— планирования: наличие норм облегчает планирование потребности в
производственных ресурсах (оборудование, материалы, персонал) и финансовых
средств для потребления этих ресурсов. На основе плановых калькуляций
планировать расходы, программу выпуска, отпускные цены, объем реализации и в итоге
прибыль;
— оперативного контроля и принятия управленческих решений: в ходе
производства по различным причинам возникают отклонения от нормального течения
технологического процесса, а вместе с ними и отклонения в потреблении
производственных ресурсов. Оперативно устраняя причины нарушения норм
производственного потребления, можно восстановить нормальное течение
технологического процесса;
— анализа: используя данные выявленных отклонений по вызвавшим их
причинам, виновникам, объектам учета, можно еще до окончания отчетного периода
спрогнозировать результаты деятельности в целом и отдельных мест возникновения
издержек (центров ответственности), разработать программу снижения издержек.
Зарубежным аналогом российского нормативного метода учета является
система «стандарт-кост». Советские экономисты ознакомились с идеями
системы «стандарт-кост» в 1933 г., когда был опубликован перевод
книги Д.-Ч. Гаррисона «Стандарт-кост». Исторически
«стандарт-кост» явился прообразом отечественной системы нормативного
учета.
Управленческая методология обоих методов одинакова — наличие норм
потребления ресурсов, учетных цен ресурсов и использование этих данных для
планирования и контроля деятельности. Возможные различия между нормативным
методом и методом «стандарт-кост» носят не столь существенный
характер, чтобы можно было говорить о принципиальной разнице.
Наиболее существенные различия между традиционным для отечественного
учета нормативным методом и системой «стандарт-кост» представлены в
табл. 16.
Таблица 16
Основные отличия
нормативного метода учета
от системы
«стандарт-кост»
| Область сравнения | «Стандарт-кост» | Нормативный метод | 
| Учет изменений норм | Текущий учет изменения норм не ведется | Ведется в разрезе причин и инициаторов | 
| Учет отклонений от норм прямых расходов | Отклонения документируются и относятся на виновных лиц и финансовые результаты | Отклонения документируются и относятся на виновных лиц и финансовые результаты | 
| Учет отклонений от норм накладных расходов | Накладные расходы относятся на себестоимость в пределах норм, отклонения выявляются с учетом объема производства и относятся на результаты финансовой деятельности | Накладные расходы относятся на себестоимость в сумме фактически произведенных затрат, отклонения относятся на издержки производства | 
| Степень регламентации | Не регламентирован, не имеет единой методики установления стандартов и ведения учетных регистров | Регламентирован, разработаны общие и отраслевые стандарты и нормы | 
| Варианты ведения учета | Учет затрат, выпуска продукции и незавершенного производства ведется по нормативам. Затраты на производство учитываются по фактическим расходам, выпуск продукции — по нормативным, остаток незавершенного производства — по стандартам с учетом отклонений | Незавершенное производство и выпуск продукции оцениваются по нормам на начало года, в текущем учете выделяются отклонения от норм. Незавершенное производство и выпуск продукции оцениваются по нормам на начало года, в текущем учете выявляются отклонения от плана. Все издержки учитываются как алгебраическая сумма двух слагаемых — нормы и отклонений | 
6.6. Калькулирование в судоремонте
Судоремонтные
предприятия относятся к предприятиям с единичным типом производства. Плановой и
учетной единицей является заказ, то есть конкретное ремонтируемое судно. В
процессе его ремонта участвуют все производственные подразделения предприятия:
корпусный, достроечный, дизелеремонтный, котельный, кузнечный, литейный,
доковый и другие цеха. Каждое из них выполняет свой определенный объем работ в
сроки, установленные графиком ремонта судна. Общее руководство ходом ремонтных
работ осуществляет служба главного диспетчера (СГД) предприятия.
Многоступенчатость выполнения ремонтных работ обусловливает некоторые
особенности расчета калькуляции на определенный заказ. Исходя из опыта
калькулирование целесообразно проводить в следующей последовательности (по
этапам).
1. На предприятие поступает предварительная заявка от заказчика на
производство ремонта и перечень планируемых ремонтных работ.
2. После рассмотрения предварительной заявки на судно (заказ)
направляется дефектовочная бригада из работников предприятия под руководством,
как правило, директора по производству.
3. Дефектовочная бригада уточняет на месте объем предполагаемых
ремонтных работ по всем направлениям и определяет предварительную стоимость
ремонта судна. Результаты работы обсуждаются на совещании и оформляются единым
документом — протоколом согласования объема работ (ПСОР), который подписывают
капитан судна (или старший помощник) и директор по производству. Определяется
дата постановки судна к причальной стенке судоремонтного предприятия.
4. После постановки судна на него направляются дефектовочные бригады от
всех цехов, участвующих в ремонте. Они устанавливают окончательный детальный
объем работ и составляют калькуляционный перечень работ в натуральном и
стоимостном выражениях (дефектовочные акты).
5. Дефектовочные акты цехов поступают в ИВЦ предприятия, на котором
производятся необходимые расчеты и определяется окончательная калькуляционная
стоимость ремонта судна.
На основании данной калькуляции заказчик производит оплату выполненных
работ.
Для расчета более точной калькуляции на каждый заказ заранее должен
быть разработан нормативный перечень работ (НПР), в котором указываются все
возможные варианты ремонтных работ и их стоимость. Дефектовщик цеха отмечает в
НПР позиции, по которым будут производиться работы, и сдает на ИВЦ предприятия.
С получением НПР от всех цехов, участвующих в ремонте, ИВЦ производит расчет
калькуляции. К недостаткам метода следует отнести предварительную разработку
НПР на каждый заказ, что требует значительных трудовых и финансовых расходов.
Кроме того, у нас нет одинаковых судов. Даже суда серийного производства
отличаются друг от друга.
Этот метод находит широкое применение за рубежом, где, как правило,
стандартизированное серийное производство судов и НПР составляется на конкретную
серию, а не на отдельный заказ. При этом НПР разрабатывается при строительстве
и передается со сдачей судна в эксплуатацию.
Контрольные вопросы
1. Какова
роль калькулирования в управлении производством?
2. Определите связь между калькулированием и производственным учетом.
3. Назовите основные принципы организации производственного
калькуляционного учета.
4. Простая калькуляция: разновидности и применение.
5. Постатейная калькуляция общепроизводственная и по местам
возникновения издержек: назначение и содержание.
6. Назовите группировку издержек по калькуляционным статьям расходов
для предприятий машиностроения.
7. Какие платежи входят в состав основной заработной платы
производственных рабочих?
8. В чем сущность дополнительной заработной платы производственных
рабочих? Назовите состав выплат, входящих в данную статью.
9. Назовите состав издержек, входящих в общепроизводственные накладные
расходы.
10. Назовите состав издержек, входящих в общехозяйственные накладные
расходы.
Глава 7. СЕБЕСТОИМОСТЬ ПРОДУКЦИИ
7.1. Общие положения
Себестоимость
продукции — это выраженные в денежной форме текущие издержки на производство и
реализацию готовой продукции. Себестоимость продукции — важнейший экономический
показатель, синтезирующий результаты деятельности предприятия.
В прямой зависимости от себестоимости находятся показатели прибыли и
рентабельности продукции. Она является ориентиром для планирования цен на
продукцию предприятия. Показатель себестоимости используется при расчете
экономической эффективности внедрения новой техники, освоения новых
технологических процессов, совершенствования организации производства и во
многих других случаях.
Себестоимость продукции (работ, услуг) предприятия складывается из
издержек, связанных с использованием в процессе производства природных
ресурсов, сырья, материалов, топлива, энергии, основных фондов, трудовых
ресурсов и других издержек на ее производство и реализацию. В себестоимости
продукции отражаются также потери от брака, от простоев по
внутрипроизводственным причинам, недостачи материальных ценностей в
производстве и на складах в пределах норм естественной убыли, выплата пособий в
результате потери трудоспособности из-за производственных травм (на основе
судебных решений).
Себестоимость продукции является качественным показателем, в котором
концентрированно отражаются результаты хозяйственной деятельности предприятия.
Чем ниже себестоимость продукции, тем больше экономится труд, лучше
используются основные фонды, материалы, топливо, тем дешевле производство
продукции обходится предприятию.
В системах финансового и производственного учета подходы к формированию
себестоимости различны.
В производственном учете себестоимость формируется для того, чтобы
руководитель (менеджер) имел полную картину об издержках. Поэтому в системе
данного учета могут использоваться различные методы расчета себестоимости (в
зависимости от того, какая управленческая задача решается). В калькулировании
могут участвовать даже те издержки, которые не включаются в себестоимость
продукции (работ, услуг) в финансовом учете.
Информация об издержках, собранная в рамках финансового учета,
позволяет сформировать прибыль от реализации продукции (работ, услуг) в целом
по предприятию. Себестоимость каждого изделия в этой системе учета вообще не
показывается или рассчитывается усредненно. В рамках всего предприятия учет и
списание издержек на себестоимость могут быть выполнены корректно с точки
зрения налогообложения, но информация о структуре отдельных видов продукции при
этом может быть искажена. Для целей финансового учета такая картина вполне
приемлема.
Однако для менеджеров предприятия важна достоверная информация о
структуре себестоимости — предприятие получает возможность управлять своими
издержками. Именно такая информация должна формироваться в системе
производственного учета.
В производственном учете одним из альтернативных традиционному
отечественному подходу к калькулированию полной себестоимости является подход,
когда по носителям издержек планируется и учитывается частичная (неполная)
себестоимость. Эта себестоимость может включать только прямые издержки. Одной
из модификаций данной системы является система «директ-костинг»
(Direct-Costing-System — система учета прямых издержек).
Система «директ-костинг»
Главный
принцип, заложенный в основу системы «директ-костинг», — раздельный
учет переменных и постоянных издержек для калькулирования себестоимости
продуктов и признание постоянных издержек убытками отчетного периода.
В калькуляцию включаются только переменные издержки — рассчитывается не
полная, а частичная себестоимость. Оставшуюся часть издержек (постоянные
расходы) собирают на отдельном счете и периодически списывают на финансовые
результаты при расчете прибылей и убытков за отчетный период.
При калькулировании себестоимости по переменным издержкам более четко
выявляется рентабельность изделий, так как разница между продажными ценами и
ограниченной себестоимостью не затушевывается в результате списания постоянных
издержек на себестоимость изделий и обеспечивается возможность переориентации
производства на более рентабельные изделия.
Преимущества системы
«директ-костинг»:
— простота и объективность калькулирования частичной себестоимости, так
как отпадает необходимость в условном распределении постоянных издержек;
— возможность сравнения себестоимости различных периодов по переменным
издержкам. Изменение структуры предприятия и связанные с ним изменения
постоянных издержек не оказывают влияния на себестоимость изделий;
— возможность акцентировать внимание руководства на изменении
маржинального дохода (суммы покрытия) как по предприятию в целом, так и по
различным изделиям, а также выявить изделия с большей рентабельностью, чтобы
перейти в основном на их выпуск;
— информация, получаемая в системе «директ-костинг»,
позволяет проводить эффективную политику цен, указывая наиболее выгодные
комбинации цены и объема.
К недостаткам системы
«директ-костинг» относятся:
— трудности в разделении издержек на постоянные и переменные.
Значительная часть полупеременных (смешанных) издержек может быть
квалифицирована по-разному, что будет сказываться на результатах;
— необходимость для большинства предприятий наличия информации о
величине полных (валовых) издержек для определения цены изделия, так как в
ценах в долгосрочном плане необходимо обеспечивать покрытие всех издержек
предприятия. При отсутствии данных о полной себестоимости велик риск
несоблюдения этого условия;
— наличие некоторых трудностей при формировании внешней отчетности.
Условием применения системы «директ-костинг» является
установление и развитие рыночных отношений. Менеджеры предприятий
самостоятельно принимают многие решения, учитывая спрос, конкуренцию и другие
факторы.
В экономике России уже накоплен некоторый опыт применения системы
«директ-костинг».
В Письме
Минфина СССР от 2 июля 1991 г. N 40 «О рекомендациях по ведению
бухгалтерского учета и применению учетных регистров на малых предприятиях»
говорилось, что малые предприятия, «учитывающие общехозяйственные
(накладные) расходы обособленно от прямых, могут списывать их ежемесячно
полностью на затраты от реализации продукции (работ, услуг)».
В Указаниях
по заполнению форм квартальной бухгалтерской отчетности в 1996 году сказано,
что начиная с 1 апреля 1996 г. суммы общехозяйственных расходов, учтенные на
счете «Общехозяйственные расходы», могут списываться в полном объеме
ежемесячно в дебет счета «Реализация продукции (работ, услуг)».
Положение по бухгалтерскому учету «Расходы организации» ПБУ
10/99 подтверждает возможность использования системы
«директ-костинг», поскольку его п. 9
содержит следующую формулировку: «…коммерческие и управленческие расходы
могут признаваться в себестоимости проданных продукции, товаров, работ, услуг
полностью в отчетном году признания их в качестве расходов по обычным видам
деятельности».
Данное положение находит отражение и в Методических рекомендациях
о порядке формирования показателей бухгалтерской отчетности организации,
утвержденных Приказом Министерства финансов РФ от 28 июня 2000 г. N 60н.
Из рассмотренных документов следует, что общехозяйственные издержки
исключаются из калькулирования. Они полностью включаются в себестоимость
реализованной продукции общей суммой без подразделения на виды изделий. В конце
отчетного периода они списываются непосредственно на уменьшение выручки от
продаж.
Общепроизводственные издержки (постоянные и переменные) включаются в
калькулирование себестоимости единицы продукции (работ, услуг).
7.2. Элементы издержек,
включаемых в
себестоимость продукции
Вопрос
классификации элементов издержек, относимых на себестоимость продукции, перед
отечественными предпринимателями остро встал в последнее десятилетие в связи с
переходом к рыночной экономике. В предыдущие годы этой проблеме уделялось мало
внимания, ибо правила игры, сложившиеся на российском рынке, позволяли получать
высокую по западным стандартам прибыль за счет факторов, не связанных с
оптимизацией ограниченных ресурсов, вовлекаемых в производство.
Условия рыночной ценовой конкуренции, а также положения налогового
законодательства РФ обусловили необходимость разработки законодательных
положений по классификации элементов издержек, относимых на себестоимость
продукции как основы при расчете налогооблагаемой базы.
Для предприятий машиностроения изначальным основополагающим нормативным
документом, определяющим элементы издержек, включаемых в себестоимость
продукции, является Положение
о составе затрат по производству и реализации продукции (работ, услуг),
включаемых в себестоимость продукции (работ, услуг), и о порядке формирования
финансовых результатов, учитываемых при налогообложении прибыли, утвержденное
Постановлением Правительства РФ от 5 августа 1992 г. N 552. В последующие годы
в него внесен ряд изменений и дополнений.
В настоящее время основополагающим документом по отнесению расходов на
себестоимость продукции является Федеральный закон
«О внесении изменений и дополнений в часть вторую Налогового кодекса
Российской Федерации и некоторые другие акты законодательства Российской
Федерации о налогах и сборах, а также о признании утратившими силу отдельных
актов (положений актов) законодательства Российской Федерации о налогах и
сборах», принятый Государственной Думой 6 июля 2001 г. за N 110-ФЗ (гл. 25
Налогового кодекса).
В соответствии с Законом
расходы (издержки), связанные с производством и (или) реализацией продукции,
подразделяются:
— на материальные расходы;
— расходы на оплату труда;
— суммы начисленной амортизации;
— прочие расходы.
Рассмотрим кратко их содержание.
Материальные расходы. В них
отражается стоимость:
— приобретенных со стороны сырья и материалов, входящих в состав
вырабатываемой продукции, являясь ее основой;
— покупных материалов для обеспечения нормального технологического
процесса (проведения испытаний и контроля; содержания, ремонта и эксплуатации
оборудования, зданий, сооружений; изготовления запасных частей и т.д.) и для
упаковки продукции;
— работ и услуг производственного характера, выполняемых сторонними
предприятиями: выполнение отдельных операций по изготовлению продукции,
обработке сырья и материалов; проведение испытаний, ремонта основных
производственных фондов; транспортные услуги сторонних организаций по перевозке
грузов внутри предприятия и доставка готовой продукции до станции (порта)
отправления;
— покупных комплектующих изделий и полуфабрикатов, подвергающихся в
дальнейшем монтажу или дополнительной обработке;
— приобретаемого со стороны топлива для выработки всех видов энергии в
технологических целях и для отопления зданий;
— покупной энергии (электрической, тепловой, сжатого воздуха, холода и
других видов), расходуемой на производственные и хозяйственные нужды;
— потерь от недостачи материальных ресурсов в пределах норм
естественной убыли.
Из затрат на материальные ресурсы, входящих в себестоимость продукции,
исключается стоимость возвратных отходов. Под возвратными отходами производства
понимаются остатки сырья, материалов и других видов материальных ресурсов,
образовавшиеся в процессе производства, утратившие полностью или частично
потребительские качества (химические и физические свойства) и в силу этого
используемые с повышенными затратами (понижением выхода продукции) или вовсе не
используемые по прямому назначению.
Расходы на оплату труда. К
ним относятся:
— выплаты заработной платы за фактически выполненную работу;
— стоимость продукции, выдаваемой в порядке натуральной оплаты
работникам;
— выплаты компенсирующего характера: премии за производственные
результаты, вознаграждения по итогам работы за год, за профессиональное
мастерство;
— выплаты компенсирующего характера: надбавки и доплаты за работу в
вечернее и ночное время, сверхурочную работу, за работу в тяжелых, вредных, особо
вредных условиях труда и т.д.;
— выплаты, предусмотренные законодательством РФ о труде, за
непроработанное время: оплата основных и дополнительных отпусков, льготных
часов подростков, перерывов в работе матерей для кормления ребенка, времени
прохождения медосмотров, выполнения государственных обязанностей;
— оплата учебных отпусков рабочих и служащих, успешно обучающихся в
вечерних и заочных высших и средних учебных заведениях, общеобразовательных
школах;
— заработная плата рабочих, руководителей и специалистов за время их
обучения с отрывом от работы в системе повышения квалификации и переподготовки
кадров;
— выплаты работникам, высвобожденным с предприятия в связи с его
реорганизацией, сокращением численности работников;
— другие виды выплат, включаемые в фонд оплаты труда.
Не включаются в себестоимость следующие выплаты:
— премии, выплачиваемые за счет средств специального назначения и
целевых поступлений;
— материальная помощь на социальные потребности;
— оплата дополнительных отпусков, предоставляемых работникам по
коллективному договору;
— надбавки к пенсиям; единовременные пособия уходящим на пенсию
ветеранам труда; доходы (дивиденды, проценты), выплачиваемые по акциям;
— оплата путевок на лечение и отдых, занятий в спортивных секциях,
кружках, клубах;
— другие аналогичные выплаты, производимые за счет прибыли предприятия
и не связанные непосредственно с оплатой труда.
Суммы начисленной амортизации.
В этом элементе отражается сумма амортизационных отчислений, начисленная исходя
из балансовой стоимости амортизируемого имущества по установленным нормам.
Подробнее об амортизации изложено в гл. 5.
Прочие расходы. К ним
относятся:
— платежи по налогам, сборам, в страховые резервные фонды и другие
обязательные отчисления, производимые в соответствии с порядком, установленным
законодательством;
— платежи за предельно допустимые выбросы (отбросы) загрязняющих
веществ;
— платежи по обязательному страхованию имущества предприятия,
учитываемого в составе производственных фондов;
— платежи по кредитам в пределах ставок, установленных
законодательством;
— вознаграждения за изобретения и рационализаторские предложения;
— оплата работ по сертификации продукции;
— затраты на командировки по установленным законодательством нормам;
— оплата сторонним организациям за пожарную и сторожевую охрану;
— расходы на подготовку и переподготовку кадров, на организованный
набор кадров;
— расходы на гарантийный ремонт и обслуживание;
— оплата услуг связи;
— лизинговые платежи;
— другие расходы, входящие в состав себестоимости продукции (работ,
услуг), но не относящиеся к ранее перечисленным элементам.
Расходы, связанные с производством и реализацией продукции (работ,
услуг), при планировании, учете и калькулировании себестоимости группируются по
статьям. Перечень статей, их состав и методы распределения по видам продукции
определяются отраслевыми методическими рекомендациями.
Расходы на производство продукции включаются в себестоимость продукции
того отчетного периода, к которому они относятся, независимо от времени оплаты
— предварительной или последующей.
7.3. Расчет полной и частичной (неполной) себестоимости
Система
учета полных фактических издержек, традиционно используемая в бухгалтерском
учете на отечественных предприятиях, предусматривает всестороннее и точное
отражение абсолютно всех издержек. Однако практически достичь этого почти
невозможно.
Так, амортизация начисляется по твердым ставкам, в то время как в
действительности износ основных средств протекает сугубо индивидуально.
Косвенные издержки распределяются по готовым изделиям по заранее выбранным
базам и в соответствии с установленными коэффициентами. Это распределение не
зависит от степени использования производственных мощностей. Выбирая базу, мы
предопределяем результат распределения косвенных издержек.
Также сложна система анализа издержек по всем статьям калькуляции для
принятия оперативных решений.
Этим обусловливается ограниченность использования системы учета полных
фактических издержек для принятия управленческих решений.
Процесс исчисления себестоимости по переменным издержкам осуществляется
в определенной последовательности:
1) сырье, материалы, полуфабрикаты, комплектующие,
потребляемые на изготовление единицы продукции, руб.;
2) переменные общие материальные затраты (% от п.
1);
3) основная заработная плата, приходящаяся на единицу
изготавливаемой продукции, руб.;
4) переменные затраты производства (% от п.
3);
5) сумма переменных затрат на производство единицы
продукции, руб. (п. 1 + п. 2 + п.
3 + п. 4);
6) переменные расходы по управлению (% от п.
5);
7) переменные расходы по реализации (% от п.
5);
8) индивидуальные расходы по реализации единицы
продукции, руб.;
9) переменная (частичная) себестоимость единицы изготавливаемой
продукции, руб. (п. 5 + п. 6 + п.
7 + п. 8).
Калькуляция по неполным издержкам выявляет иную, чем в учете полной
себестоимости, нижнюю границу оптовой цены, открывающую больший диапазон для
принятия заказов или заключения договоров.
Пример.
Полная себестоимость изделия составляет 20 руб., частичная — 12 руб.
Предприятию предлагают договорную цену в 18 руб. Если руководствоваться полной
себестоимостью, то от заказа следует отказаться. Однако постоянные издержки в 8
руб. предприятие все равно будет нести, и отказ от заказа только подтвердит эти
убытки. Принятие заказа если и не принесет прибыли, то, по крайней мере, снизит
неизбежные потери на 6 руб.
Финансовые отчеты при использовании методов расчета полной и неполной
себестоимости приведены в табл. 17 и 18.
Таблица 17
Финансовый
отчет при использовании
метода полного
расчета себестоимости
| Показатели | Сумма, млн руб. | 
| Выручка от реализации | 100 | 
| Расходы производства: | |
| Производственные расходы | 40 | 
| Основная заработная плата производственных рабочих | 15 | 
| Общепроизводственные расходы | 10 | 
| Итого производственных расходов | 65 | 
| Валовая прибыль | 35 | 
| Коммерческие расходы | 15 | 
| Административные расходы | 12 | 
| Итого коммерческих и административных расходов | 27 | 
| Операционная прибыль | 35 — 27 = 8 | 
Таблица 18
Финансовый
отчет при использовании
метода неполного
расчета себестоимости
| Показатели | Сумма, млн руб. | 
| Выручка от реализации | 100 | 
| Переменные издержки: | |
| Основные материалы | 40 | 
| Основная заработная плата производственных рабочих | 15 | 
| Общепроизводственные расходы | 3 | 
| Итого переменных производственных издержек | 58 | 
| Переменные расходы: | |
| Переменные коммерческие расходы | 5 | 
| Переменные административные расходы | 2 | 
| Итого переменных расходов | 65 | 
| Маржинальная прибыль | 35 | 
| Постоянные издержки: | |
| Производственные | 7 | 
| Коммерческие | 10 | 
| Административные | 10 | 
| Итого постоянных издержек | 27 | 
| Операционная прибыль | 35 — 27 = 8 | 
Международные
бухгалтерские стандарты не разрешают использовать систему
«директ-костинг» для составления внешней отчетности и расчета
налогов. Практическое значение этой системы состоит в том, что ее применение
позволяет оперативно изучать взаимосвязь между объемом производства, издержками
и доходами, а следовательно, прогнозировать формирование себестоимости или
отдельных видов расходов при изменениях деловой активности.
В современных условиях менеджеры должны знать, во что обходится
производство отдельных видов продукции, независимо от величины арендной платы
за помещение и заработной платы руководителя и его заместителей. Одним из
принципов производственного учета является следующий: самая точная калькуляция
не та, в которую после многочисленных и трудоемких расчетов включаются все
расходы предприятия, а та, в которую вносятся издержки, непосредственно
обеспечивающие выпуск данной продукции (выполнение работы, оказание услуги).
Решить эту задачу можно лишь используя систему «директ-костинг» —
систему учета переменных издержек и расчета частичной (неполной) себестоимости.
Выбранный вариант калькулирования себестоимости должен быть закреплен в учетной
политике предприятия.
7.4. Виды себестоимости
В
зависимости от полноты охвата расходов различают технологическую,
общепроизводственную (цеховую), общехозяйственную (заводскую, производственную)
и полную (коммерческую) себестоимость.
Технологическая
себестоимость включает основные расходы на производство продукции, т.е.
расходы, непосредственно связанные с выполнением технологического процесса по
изготовлению продукции в производственных подразделениях предприятия. В ее
состав входят стоимость сырья, основных материалов, полуфабрикатов и
комплектующих изделий; заработная плата основных производственных рабочих
(основная и дополнительная) с отчислениями во внебюджетные фонды; содержание и
ремонт технологического оборудования и т.д. Сюда же входят стоимость
контрагентских работ и специальные расходы по изделию.
Общепроизводственная
(цеховая) себестоимость состоит из технологической себестоимости и цеховых
накладных расходов, приходящихся на единицу изделия. Их уровень непосредственно
зависит от применяемой в цехе техники и технологии, уровня организации
производства и управления.
В общехозяйственную
(заводскую, производственную) себестоимость включается цеховая себестоимость,
дополненная расходами на управление и обслуживание предприятия в целом
(общехозяйственные накладные расходы).
Полная (коммерческая)
себестоимость состоит из заводской себестоимости и внепроизводственных
расходов, связанных с реализацией продукции. Структура полной себестоимости
приведена на рис. 20.
Структура полной себестоимости
| Полная (коммерческая) себестоимость | ||||||
| Заводская (производственная) себестоимость | Внепроизводственные расходы | |||||
| Цеховая себестоимость | Специальные расходы по предприятию | Общезаводские накладные расходы | ||||
| Технологическая себестоимость | Цеховые накладные расходы | |||||
| Стоимость основных материалов, полуфабрикатов, комплектующих изделий и т.д. | Заработная плата основных производственных рабочих (основная и дополнительная) с начислениями | Расходы, связанные с работой технологического оборудования | ||||
Рис. 20
Кроме
того, различают индивидуальную и среднеотраслевую себестоимость.
Индивидуальная себестоимость свидетельствует об издержках конкретного
предприятия по выпуску продукции. Среднеотраслевая — характеризует средние по
отрасли издержки на производство данного изделия. Она рассчитывается по формуле
средневзвешенной из индивидуальных себестоимостей предприятий отрасли.
Существуют также плановая и фактическая себестоимости. В расчеты
плановой себестоимости включаются максимально допустимые издержки предприятия
на изготовление продукции, предусмотренные планом на предстоящий период.
Фактическая себестоимость характеризует размер действительно затраченных
средств на выпущенную продукцию.
7.5. Смета затрат на производство
Смета
затрат на производство представляет собой важную часть бизнес-плана. Она
составляется на основе данных перспективного производственного плана
предприятия исходя из объема и номенклатуры выпускаемой продукции.
Важной особенностью сметы затрат на производство является то, что она
отражает общую потребность предприятия в средствах для осуществления всех без
исключения денежных затрат и расходов. Поэтому она включает расходы как
промышленного, так и непромышленного характера, выполнение услуг для собственного
производства и других организаций. Правильное определение объемов затрат на
производство продукции положительно влияет на установление планового фонда
оплаты труда, планового размера прибыли, уровня рентабельности, фондов
экономического стимулирования.
Смета затрат на производство широко используется предприятиями при
финансовом планировании. Она является основой определения плана реализации
продукции по себестоимости, установления экономически обоснованных нормативов
собственных оборотных средств. С ее помощью решается ряд таких важных задач,
как увязка плана производства с планом материально-технического снабжения,
плана по труду с фондом заработной платы, плана капитальных вложений с планом
ввода в действие новых мощностей. И наконец, важно отметить, что на основе
сметы затрат на производство выявляются конкретные резервы повышения
эффективности промышленного производства и улучшения качества выпускаемой
продукции.
Учет затрат на производство продукции и фактической себестоимости
должен обеспечить:
— своевременное, полное и достоверное отражение всех затрат, связанных
с производством и реализацией продукции;
— контроль за выполнением сметы затрат на производство и соблюдением
норм производственных затрат;
— проверку выполнения планов по снижению себестоимости продукции;
— выявление неиспользованных резервов производства;
— определение результатов внутризаводского хозяйственного расчета.
Для успешного решения указанных задач необходимо обеспечить единство
показателей плана и учета по затратам на производство и калькулированию
продукции. В планировании и учете должны применяться единая номенклатура затрат
на производство, единая методика группировки и распределения затрат, единые
объекты калькулирования продукции, что необходимо для обеспечения сопоставимости
отчетных показателей с плановыми, возможности сравнения показателей нескольких
предприятий, а также для получения сводных данных по отрасли.
Планирование и учет затрат на производство в целом, т.е. без деления по
видам продукции, осуществляются по элементам сметы затрат на производство.
Установлена следующая группировка затрат по элементам:
— сырье и основные материалы, в т.ч. покупные изделия и полуфабрикаты;
— заработная плата работников (основная и дополнительная);
— отчисления в фонд социального развития;
— амортизация основных фондов;
— прочие расходы.
Указанная группировка затрат по элементам является единой и
обязательной для применения по определению затрат на производство.
Группировка затрат по элементам необходима для обоснованного
планирования себестоимости и установления факторов ее снижения, для
нормирования оборотных средств.
При формировании годового бюджета предприятия расчет (планирование)
затрат на производство — один из приоритетных и трудоемких процессов. Он
включает совокупность различных методов экономических расчетов и большие объемы
обрабатываемых данных. От точности выполнения расчетов во многом зависит
объективность затратной части бюджета, а также построение всех расчетов,
связанных с определением результата хозяйственной деятельности предприятия, ее
эффективности и других экономических показателей.
Укрупненно процесс расчета сметы затрат на производство можно разбить
на следующие этапы.
1. Расчет прямых затрат — это затраты, которые прямо относятся на
конкретное изделие.
2. Расчет первичных затрат — это затраты, которые относятся на места
возникновения затрат (МВЗ), а не на конкретные носители (изделия). Их может
быть два вида: затраты, прямо списываемые на МВЗ (например, арендная плата за
помещение, где размещается МВЗ), и затраты, которые прямо не могут быть
отнесены на одно МВЗ (например, затраты на электроэнергию в здании, где стоит
один счетчик и существует несколько МВЗ).
3. Расчет вторичных затрат — это затраты МВЗ общего назначения и
вспомогательные МВЗ. Они должны быть распределены между МВЗ производственного
назначения (основными цехами) и представляют собой внутризаводской оборот.
Расчет прямых затрат осуществляется путем умножения калькуляционных
норм расхода ресурса на единицу продукции на объем ее производства и не представляет
сложности.
Расчет первичных затрат представляет собой более сложную задачу и
производится по форме, приведенной в табл. 19.
Таблица 19
Виды первичных
затрат и базы их распределения
| N п/п | Виды затрат | Основа для начисления | 
| Затраты, прямо списываемые на МВЗ | ||
| 1 | Электроэнергия | Показания счетчиков | 
| 2 | Газ | |
| 3 | Вода | |
| 4 | Вспомогательные материалы | Нормативы, статистика | 
| 5 | Материалы для производственной деятельности | Ведомости выдачи материалов | 
| 6 | Заработная плата вспомогательных рабочих | Ведомости начислений заработной платы | 
| 7 | Заработная плата служащих | Платежные ведомости | 
| 8 | Амортизационные отчисления | Стоимость основных средств (ОС) | 
| 9 | Калькуляционный процент | |
| Затраты, распределяемые между МВЗ | ||
| 1 | Затраты на отопление | Объем помещений в м3 | 
| 2 | Расходы на содержание здания | Объем здания в м3 | 
| 3 | Затраты на электроэнергию | Мощность установленного оборудования | 
| 4 | Арендная плата | Площадь помещений в м2, стоимость арендуемого оборудования | 
| 5 | Налог на землю | Площадь земли под МВЗ в м2 | 
| 6 | Налог на имущество | Стоимость ОС, капитал | 
| 7 | Добровольное страхование на социальные нужды | Численность производственно-промышленного персонала (ППП) предприятия в сферах обслуживания | 
| 8 | Страхование от несчастных случаев | |
| 9 | Страхование от пожаров | Стоимость основных фондов | 
Расчет
затрат вспомогательных цехов производится по следующим формулам:
С1
= С1с + К1С2 + К2С3,
С2
= С2с + К3С1 + К4С3,
С3
= С3с + К5С1 + К6С2,
где С1,
С2, С3 — затраты вспомогательных цехов с учетом взаимных
услуг;
С1с, С2с, С3с — собственные затраты
вспомогательных цехов;
К1 — К6 — доля взаимных услуг вспомогательных
цехов.
Пример.
Рассчитать затраты вспомогательных цехов (механоремонтного и электроремонтного)
с учетом взаимных услуг.
Исходные данные:
1. Собственные затраты механоремонтного цеха — 1 420 тыс. руб.
2. Собственные затраты электроремонтного цеха — 1 350 тыс. руб.
3. Количество единиц ремонтной сложности оборудования по предприятию —
2 500 RE.
4. Количество единиц ремонтной сложности оборудования в
электроремонтном цехе — 610 RE.
5. Установленная мощность электрооборудования предприятия — 12 000 кВт.
6. Установленная мощность электрооборудования в механоремонтном цехе —
250 кВт.
Составим уравнения:
Смр
= 1 420 000 + 250 / 12 000 x Сэр,
Сэр
= 1 350 000 + 610 / 2 500 x Смр.
Решив
систему уравнений из двух неизвестных (Сэр и Смр),
определим затраты электроремонтного и механоремонтного цехов с учетом взаимных
услуг. Они составят:
Смр
= 1 434 910 руб.,
Сэр
= 1 700 119 руб.
Распределение
услуг вспомогательных цехов на основное производство осуществляется после
вычитания из их полных затрат величины взаимных услуг с целью исключения
внутризаводского оборота. Критериями распределения услуг, оказываемых
вспомогательными цехами основным цехам, выступает их сложность и объем.
Полученная при распределении величина затрат вносится в соответствующую статью
основного производства.
В зарубежной практике организация четкого деления производственных
издержек на постоянные и переменные позволяет составлять так называемые гибкие сметы затрат, которые позволяют
учесть изменения запланированного уровня издержек в зависимости от изменения
масштаба производства; порядок разработки такой сметы показан в табл. 20.
Таблица 20
Пример гибкой
производственной сметы затрат
| Статьи расходов | Формула сметы | Q1 = 8 000 | Q1 = 9 000 | Q1 = 10 000 | 
| Труд основных производственных рабочих | 6 руб. на 1 ед. продукции | 48 000 | 54 000 | 60 000 | 
| Основные материалы | 5 руб. на 1 ед. продукции | 40 000 | 45 000 | 50 000 | 
| Накладные расходы: | ||||
| Труд вспомогательных рабочих | 40 000 ПР <*> + 4 руб. на 1 ед. продукции | 72 000 | 76 000 | 80 000 | 
| Освещение и отопление | 6 000 руб. ПР | 6 000 | 6 000 | 6 000 | 
| Энергия | 1 руб. на 1 ед. продукции | 8 000 | 9 000 | 10 000 | 
| Техническое обслуживание | 5 000 руб. ПР + 2 руб. на 1 ед. продукции | 21 000 | 23 000 | 25 000 | 
| Вспомогательные материалы | 0,5 руб. на 1 ед. продукции | 4 000 | 4 500 | 5 000 | 
| Амортизация машин и оборудования | 10 000 ПР | 10 000 | 10 000 | 10 000 | 
| Итого | 209 000 | 227 500 | 246 000 | 
———————————
Гибкие
сметы затрат позволяют произвести пересчет плановых затрат на фактический объем
производства, что повышает объективность оценки деятельности менеджера по
контролю за использованием сметы.
Контрольные вопросы
1. Что
называется себестоимостью?
2. Назовите отличие подходов к определению себестоимости в финансовом и
производственном учетах.
3. Опишите процесс формирования полной себестоимости.
4. Система «директ-костинг»: назначение, содержание.
5. Какими законодательными документами определяются издержки,
включаемые в себестоимость продукции?
6. Назовите состав материальных расходов, включаемых в себестоимость
продукции.
7. Какие расходы по оплате труда не включаются в себестоимость продукции?
8. Назовите виды себестоимости, их содержание.
9. Назначение и содержание сметы затрат на производство продукции.
10. Какие этапы включает расчет сметы затрат на производство?
Глава 8. УПРАВЛЕНИЕ НАКЛАДНЫМИ РАСХОДАМИ
8.1. Общие принципы управления
Накладные
расходы — те расходы, которые не могут быть непосредственно отнесены к прямым
издержкам на продукцию. В себестоимость продукции накладные расходы должны
входить по видам работ, поскольку они распределяются на каждую единицу
выпущенной продукции.
Накладные расходы состоят из производственных и непроизводственных.
Производственные накладные
расходы — это расходы непосредственно на организацию, обслуживание и
управление производством. Они возникают в большей степени в производственных
подразделениях, планируются и учитываются по местам их возникновения,
контролируются бюджетно-сметным методом и распределяются косвенным путем между
различными видами продукции.
Непроизводственные накладные
расходы вызываются необходимостью реализации функций управления, которые по
своему назначению и содержанию отличаются от производственных функций и функций
организации производства. Эти расходы возникают в масштабе всего предприятия и
распределяются между различными видами продукции косвенным путем.
Типовая классификация накладных расходов машиностроительных предприятий
приведена на рис. 21.
Типовая классификация накладных расходов
машиностроительных
предприятий
┌─────────────────────────────┐
│ Накладные расходы │
└──────────────┬──────────────┘
┌───────────────────┴──────────────────┐
│ │
Общепроизводственные Общехозяйственные
│ │
┌───────────┴────────────┐
┌──────────┴──────────┐
│ Цеховые │ │ Общезаводские │
└───────────┬────────────┘
├─────────────────────┘
┌───────────┴────────────┐              │
┌───────────┴──────────┐
┌───────────┴────────────┐
│
│ Расходы на
содержание│ │   Общецеховые
расходы  │
│<─┤Административно-
│ и эксплуатацию │ │ на управление │ │ │управленческие
│ оборудования │ │ │ │ │расходы
├──────────────────────┘
├────────────────────────┘
│
│ │ │
│<┤Амортизация           │<─┤Содержание
аппарата
│<─┤Амортизация
│
│оборудования          │  │управления цеха        │
│основных средств
│ │и
транспортных        │                          │  │общезаводского
│
│средств               │                          │  │назначения
│ │ │
│<┤Эксплуатация          │<─┤Содержание
прочего
│<─┤Содержание
│
│оборудования          │  │цехового персонала     │
│и текущий ремонт
│ │(кроме
расходов       │                          │
│зданий, сооружений
│ │на текущий
ремонт)    │                          │  │и инвентаря
│ │ │ │общезаводского
│ │ │ │назначения
│ │ │
│<┤Текущий
ремонт
│<─┤Амортизация зданий,    │<─┤Расходы на
│
│оборудования и        │  │сооружений             │  │изобретательство,
│
│транспортных средств  │  │и инвентаря            │  │технические
│ │ │ │усовершенствования
│ │ │ │
│
│Внутризаводское
│<─┤Содержание зданий,     │<─┤Расходы по охране
│
│перемещение грузов    │  │сооружений             │  │труда
│ │ │ │и инвентаря │ │
│ │ │ │ │ │
│ │Износ
малоценных и
│<─┤Текущий ремонт         │<─┤Производство
│
│быстроизнашивающихся  │  │зданий, сооружений     │
│испытаний, опытов,
│
│инструментов          │  │и инвентаря            │  │исследований,
│ │и
приспособлений      │  │                       │  │содержание
│ │ │ │ │ │общезаводских
│ │                      │  │                       │
│лабораторий
│ │ │ │ │ │
│ │Прочие
расходы,
│<─┤Испытания, опыты       │<─┤Расходы по
│
│связанные             │  │и исследования         │  │подготовке кадров
│ │с
содержанием         │  │
               │  │
│ │и
эксплуатацией       │  │                       │  │
│
│оборудования          │  │                       │  │
│ │ │ │
│<─┤Расходы
│<─┤Расходы
                         │  │по рационализации      │
│по организованному
                         │  │и изобретательству     │
│набору рабочей
│ │ │ │силы
                         │  │                       │
│
│<─┤Расходы по охране      │<─┤Содержание
│ │труда │ │пожарной,
│ │ │ │военизированной и
│ │ │ │сторожевой охраны
│ │ │ │
│<─┤Износ малоценного и    │<─┤Прочие расходы
│ │быстроизнашивающегося │ │общезаводского
│ │инвентаря │ │характера
│ │ │ │
│<─┤Прочие расходы,        │<─┤Налоги, сборы,
│ │связанные │ │отчисления,
                         │  │с управлением цехом    │
│предусмотренные
│ │ │ │законодательством
Рис. 21
Действующая
номенклатура статей общезаводских расходов группирует издержки на осуществление
функций подготовки производства, организационных функций и непосредственно
функций управления. Такое объединение разных по экономическому содержанию
издержек осложняет нормирование, планирование, контроль и анализ расходов.
В настоящее время цеховые и общезаводские накладные расходы принято
относить на готовую продукцию, как правило, пропорционально расходам на оплату
труда основных производственных рабочих. Этот способ отнесения накладных
расходов не позволяет точно определить себестоимость единицы продукции, так как
отсутствует прямая связь между большей частью издержек, входящих в состав
цеховых и общезаводских накладных расходов, и расходами на оплату труда
основных производственных рабочих. Необъективное распределение издержек между
различными видами продукции приводит к неверным выводам о реальной
себестоимости единицы продукции и принятию ошибочных решений в части
ценообразования.
Вопрос достоверности отнесения издержек по статьям накладных расходов
является актуальным для предприятий. Объективное отнесение издержек по статьям
накладных расходов позволяет снизить себестоимость и повысить рентабельность
осваиваемых к выпуску товаров.
При существующей системе бухгалтерского учета сделать это практически
невозможно, так как на каждую статью относят все расходы, возникающие в
процессе производства и управления. Значительные возможности в вопросах учета и
управления издержками по статьям накладных расходов дает организация
производственного учета на предприятии.
В производственном учете каждое предприятие определяет свои правила
отнесения накладных расходов на себестоимость единицы определенных видов
продукции. Это зависит от особенностей технологии и организации производства,
организации управления предприятием. Как и все другие расходы предприятия,
накладные расходы рассматриваются в производственном учете в зависимости от
целей управления.
В практике производственного учета в качестве базы распределения
производственных накладных расходов чаще всего используются:
— количество единиц конечной продукции. Здесь предполагается, что
выручка от реализации всего объема выпуска покрывает суммарные расходы
предприятия;
— количество рабочих часов производства. Рабочая сила является основным
ресурсом производства, поэтому количество часов рабочего времени, используемого
для производства, пропорционально суммарным издержкам на продукт;
— количество машино-часов используемого в производстве оборудования. В
этом случае предполагается, что машино-часы являются наиболее важной
характеристикой производственных издержек. Применяется в капиталоемких
отраслях;
— затраты на материалы, используемые в производственном процессе.
Применяется тогда, когда издержки на материалы являются основной составляющей
производственных издержек;
— суммарная заработная плата, выделенная на определенный аспект
производства. Применяется при высокой доле расходов на оплату труда в общем
объеме издержек производства. Многие предприятия, использующие
высокооплачиваемую рабочую силу, распределяют издержки на этой базе;
— суммарный доход, который приносит продукт. Это своего рода форма
налогообложения дохода на соответствующий продукт.
Каждая база дает возможность распределения производственных накладных
расходов на единицу продукции, что приводит в конечном итоге к неодинаковым
суммарным издержкам на единицу продукции. В основе выбора базы должен лежать
тот элемент производства, который в наибольшей мере связан с уровнем накладных
расходов.
Отнесение накладных расходов на себестоимость выпускаемой продукции
производится через коэффициент распределения (аллокацию) издержек.
Приведем пример по расчету коэффициентов распределения производственных
накладных расходов в зависимости от выбранной базы.
Пример.
Компания производит в месяц 16 000 единиц продукции типа А. Каждое изделие
реализуется по цене 5 руб. Данные об объеме производства компании приведены в
табл. 21. Суммарные накладные расходы составили 110 000 руб.
Таблица 21
Исходные данные
для расчета коэффициентов распределения
| N | Показатель | Ед. изм. | Производство продукции типа А | Производство всей продукции | 
| 1 | Суммарный объем производства | шт. | 16 000 | — | 
| 2 | Доход от продаж | руб. | 80 000 | 725 000 | 
| 3 | Затраты материалов | кг | 10 000 | 73 000 | 
| 4 | Стоимость материалов на ед. продукции | руб. | 0,5 | 0,8 | 
| 5 | Использование рабочей силы | час | 1 250 | 31 680 | 
| 6 | Часовая оплата труда | руб/час | 10 | 9 | 
| 7 | Затраты времени работы оборудования | маш.-час | 240 | 2 700 | 
База
распределения выбирается по усмотрению менеджера. Но следует делать выбор на
основе того элемента прямых затрат, который имеет в них наибольший удельный
вес.
При выборе в качестве распределения дохода от продаж накладные расходы
по продукции составят:
а) в целом — (80 000 : 725 000) x 110 000 = 12 138 руб.;
б) на единицу продукции — 12 138 : 16 000 = 0,759 руб.
Результаты аналогичных расчетов с разными базами распределения
приведены в табл. 22.
Таблица 22
Распределение
накладных расходов
при разных базах
распределения
| Показатель | База распределения | |||||
| Доходы от производства | Использование материалов | Стоимость материалов | Рабочие часы | Затраты на рабочую силу | Машино-часы | |
| Коэффициент распределения | 0,110 (80 000 / 725 | 0,136 (10 000 / 73 | 0,085 (5 000 / 58 | 0,039 (1 250 / 31 | 0,043 (12 500 / 285 | 0,088 (240 / 2 700) | 
| Суммарные производственные накладные расходы | 110 000 | 110 000 | 110 000 | 110 000 | 110 000 | 110 000 | 
| Распределенные накладные расходы | 12 138 | 15 068 | 9 418 | 4 340 | 4 822 | 9 778 | 
| Отчисления на единицу продукции | 0,759 | 0,942 | 0,589 | 0,271 | 0,301 | 0,611 | 
Как видно
из табл. 22, каждая база дает различное распределение накладных расходов на
единицу продукции, что приводит в конечном итоге к неодинаковым суммарным
издержкам на единицу продукции (суммарной себестоимости единицы продукции).
Например, арендную плату целесообразно распределять пропорционально площади
арендуемых помещений, используемых в производстве, в то время как оплату
руководителей работ можно распределять в соответствии с общим числом
отработанных часов.
Накладные расходы в виде «налога»
на производство. С началом перестройки и приватизации государственных
предприятий, их разукрупнения образовались различные формально самостоятельные
субъекты хозяйствования, но фактически полностью зависимые от предприятий
(дочерние и зависимые общества и т.д.). Каждое из них несет ответственность за
результаты своей производственно-хозяйственной деятельности. Роль центрального
руководства в этом случае состоит в том, чтобы создать определенные условия для
их деятельности. Центральное руководство должно обеспечивать такие условия
деятельности, чтобы каждая производственная единица платила центральному
руководству за услуги, которое оно предоставляет.
В этом смысле отчисление накладных расходов очень похоже на налоговую
систему. При этом на предприятии могут быть две «налоговые системы»:
прямая — основанная на получаемых доходах, и косвенная — основанная на
понесенных издержках. Отчисления могут производиться и с прямого потребления
производственными подразделениями услуг центрального руководства.
Для контроля уровня себестоимости накладные расходы учитываются по
центрам ответственности и видам издержек. В процессе же планирования накладные
расходы должны быть распределены по физическим единицам, составляющим весь
объем продукции, которые проходят через соответствующий центр ответственности.
Обычно центры ответственности состоят из нескольких подразделений, но это более
мелкие подразделения, которые называются центрами возникновения издержек.
По какой базе следует распределять производственные накладные расходы
на каждую единицу продукции? Чаще всего используется время, фактически
отработанное производственными рабочими, оборудованием, или затраты на оплату
труда основных производственных рабочих.
Цеховые накладные расходы зависят в основном от уровня таких, например,
затрат, как время, фактически отработанное основными производственными рабочими
или оборудованием. При этом предполагается, что чем оно больше, тем больше
косвенные затраты труда и другие накладные расходы.
В качестве базы распределения должен выбираться тот фактор, который
наиболее соответствует накладным расходам каждого производственного
подразделения.
На основе выбранной базы распределения исчисляется величина накладных
расходов на единицу соответствующего производственного фактора для каждого
подразделения, и эта величина используется для определения накладных расходов
по каждому заказу, выполняемому в этом подразделении. На каждый заказ относится
величина накладных расходов на основании величины издержек, являющихся базой
распределения и понесенных в процессе выполнения заказа.
Необходимо заметить, что издержки для контроля за уровнем накладных
расходов должны накапливаться сначала по центрам ответственности, а затем
относиться на единицы продукции, проходящей через эти центры.
Вопрос планирования накладных расходов является наиболее актуальным для
практики управления и поэтому заслуживает особого рассмотрения.
8.2. Планирование и контроль накладных расходов
Планирование
накладных расходов с целью эффективного управления ими имеет в своей основе
выделение мест возникновения издержек на предприятии. Места возникновения
издержек представляют собой подразделения предприятия, которые выделяются в
самостоятельные объекты контроля и учета издержек производства.
В качестве планового документа по издержкам используется форма бланка
«Лист планирования издержек (бюджетный лист)», а отчетного —
«Лист учета издержек». С точки зрения процедуры планирования
производственных издержек решающим фактором является разделение их на две
группы. Издержки первой группы распределяются напрямую по местам возникновения,
второй группы — косвенным образом. Итак, можно различать:
— основные места возникновения издержек;
— вспомогательные места возникновения издержек.
В основных местах возникновения издержек непосредственно
изготавливается продукция, предназначенная для реализации. Возникающие издержки
напрямую относят на единицу продукции (заказ) в соответствии с коэффициентами
распределения.
Вспомогательные места возникновения издержек участвуют в процессе
основного производства косвенно, поскольку занимаются производством продукции и
оказанием услуг для нужд основных участков. Издержки производства для
собственных нужд нельзя отнести непосредственно на единицу продукции. Их
распределяют сначала по основным местам возникновения издержек, затем
совокупные издержки основных участков относят на единицу продукции или заказ.
На практике основные и вспомогательные места возникновения издержек
подразделяются в зависимости от выполняемых в них функций. Особенности такой
классификации определяются спецификой предприятия и потребностью в информации
для принятия решений.
Основными местами возникновения издержек на машиностроительных
предприятиях являются подразделения основного производства, а также
подразделения, не производящие основную продукцию, но производящие продукцию и
услуги, предназначенные для реализации на сторону. К вспомогательным местам
следует относить вспомогательные и обслуживающие подразделения, отпускающие
продукцию и услуги внутри предприятия, но не на сторону, а также подразделения
аппарата управления.
Результаты классификации фиксируются в номенклатуре мест возникновения
издержек на предприятии. Изложим основные принципы распределения издержек по
местам их возникновения. Эффективное выполнение задач производственного учета
возможно только при условии как можно более точного распределения издержек по
местам их возникновения и носителям. По способу отнесения издержек на объекты
учета различают:
— прямые издержки;
— накладные издержки.
Издержки, причина возникновения которых касается определенного
носителя, относятся на него напрямую. Они называются прямыми издержками,
приходящимися на единицу продукции (услуги). Издержки, причина возникновения
которых связана сразу с несколькими носителями, являются накладными.
В качестве базы для распределения накладных издержек на единицу
продукции следует выбирать величины, которые количественно характеризуют
причину возникновения издержек. Эта ситуация наблюдается тогда, когда величина
базы распределения показывает участие того или иного места возникновения
издержек в производстве продукции предприятия. Таким образом, накладные
издержки на единицу продукции сначала распределяются по местам их
возникновения.
Базу для распределения следует выбирать так, чтобы установление ее количественного
значения не было связано с большими затратами времени и средств.
При выборе способа распределения накладных издержек по местам
возникновения необходимо сравнивать расходы, связанные с применением каждого
способа, и эффект от него. Накладные издержки могут распределяться по местам
возникновения на основе:
— количественных баз распределения (число сотрудников, обработанных
единиц продукции, вес, кубатура помещения, отработанные машино-часы, время
складирования и т.д.);
— стоимостных баз распределения (суммы заработной платы и окладов,
оборот, стоимость закупаемых материалов, стоимость израсходованных в
производстве материалов, издержки производственного процесса, заводская
себестоимость продукции, конечная себестоимость, остаточная стоимость
оборудования и т.п.).
Следующим принципиальным вопросом является выбор ставки для
планирования накладных расходов. Единая (для всего предприятия) ставка
распределения накладных расходов устанавливается по всем видам работ независимо
от подразделения, в котором они выполняются. Единую ставку распределения
накладных расходов целесообразно использовать только тогда, когда на все работы
во всех подразделениях предприятия затрачивается примерно одинаковое время.
Если на эти работы затрачивается разное время, то необходимо установить ставки
распределения накладных расходов отдельно по каждому подразделению, чтобы на
все заказы распределялись фактически соответствующие им накладные расходы.
Рассмотрим порядок исчисления этих расходов.
Исходным пунктом рассмотрения должно послужить распределение накладных
расходов между производственными и обслуживающими подразделениями. Существуют
некоторые статьи накладных расходов, которые не могут быть отнесены однозначно
к той или иной группе подразделений, поскольку они осуществляются в интересах
нескольких подразделений сразу. Проблема распределения издержек в данном случае
заключается в том, что невозможно это сделать каким-то универсальным способом.
Следующим принципиальным вопросом является установление источников
покрытия понесенных расходов, что очень важно для обоснованного определения
себестоимости единицы продукции. Обслуживающими являются подразделения, которые
должны тем или иным способом обеспечивать работу производственных
подразделений. Они предоставляют услуги и производят работы, необходимые для
нормального хода производственного процесса, но не имеют непосредственного
отношения к производству продукции. Поэтому невозможно соотнести расходы
обслуживающих подразделений с продукцией и услугами, проходящими через них.
Эти расходы должны быть отнесены на производственные подразделения,
которые фактически производят продукцию. Метод распределения расходов
обслуживающих подразделений между производственными должен быть выбран с учетом
выгоды, которую производственные подразделения получают от функционирования
обслуживающих.
После того как расходы обслуживающих подразделений распределены между
производственными, все общезаводские накладные расходы будут распределяться
только между производственными подразделениями. Это позволяет установить ставки
распределения накладных расходов для каждого производственного подразделения, и
по этим ставкам накладные расходы затем относят на все заказы, выполняемые в
различных производственных подразделениях.
Заключительным этапом формирования себестоимости единицы продукции
является распределение накладных расходов каждого производственного
подразделения на выполняемые заказы. Наиболее распространены методы, основанные
на учете времени (например, времени, отработанного основными производственными
рабочими, времени работы станков) и основной заработной платы.
Для эффективного контроля запланированных накладных расходов
необходимо, чтобы за эти расходы отвечали те, кто может оказывать на них
влияние: они должны распределяться по центрам ответственности. Руководители
подразделений — центров ответственности не могут отвечать за статьи расходов,
не находящиеся под их контролем, необоснованное распределение ответственности
может повлечь за собой конфликтные ситуации. Общее правило здесь таково:
контролировать можно труд вспомогательных рабочих и вспомогательные материалы
или статьи расходов, непосредственно относящиеся на подразделение.
Принципиальная схема планирования накладных расходов и контроля за их
уровнем приведена на рис. 22.
Принципиальная схема планирования
и контроля
накладных расходов
┌────────────────────────────────────┐
│ Формирование сметы накладных │
│ расходов │
└─────────────────┬──────────────────┘
\│/
┌─────────────────┴──────────────────┐
┌──────┤    Разнесение накладных расходов   ├───────┐
│ │ по подразделениям │ │
           │
└────────────────────────────────────┘       │
          \│/
\│/
┌──────────┴──────────┐
┌───────────┴──────────┐
│ Основные │ │ Обслуживающие │
│ подразделения │ │ подразделения │
└──────────┬──────────┘
└───────────┬──────────┘
           │
\│/
           │
┌───────────┴──────────┐
           │
│Определение источников│
│ │ покрытия накладных │
           │
│расходов обслуживающих│
           │
│     подразделений    │
           │
└───────────┬──────────┘
           │
│
           │
┌────────────────────────────┐           │
└─────────>│  Определение себестоимости
│<──────────┘
│ единицы продукции │
└─────────────┬──────────────┘
\│/
┌─────────────┴──────────────┐
│ Контроль запланированного │
│ уровня накладных расходов │
│ в единице продукции │
└────────────────────────────┘
Рис. 22
Данная
схема достаточно общая, ее конкретная реализация возможна лишь при условии
учета наиболее важных в данном случае условий: масштабов деятельности
предприятия, отраслевой специфики, особенностей организации производства и
управления.
Вместе с тем наличие механизма планирования издержек и контроля за их
уровнем еще не исчерпывают всех составляющих системы управления издержками.
Наиболее важной с точки зрения регулирования уровня издержек является система
стимулирования, направленная на участие всех работников предприятия в комплексе
мероприятий по поддержанию запланированного уровня издержек и его снижению.
Контрольные вопросы
1. Какие
расходы относятся к накладным?
2. Что относится к расходам на содержание и эксплуатацию оборудования
цеха?
3. Назовите общецеховые расходы на управление.
4. Назовите состав общехозяйственных накладных расходов.
5. Как относятся цеховые и общезаводские накладные расходы на
себестоимость продукции в финансовом учете?
6. Порядок отнесения накладных расходов на себестоимость продукции в
производственном учете.
7. Назовите основные принципы отнесения накладных издержек по местам
возникновения.
8. Назовите основные принципы планирования и контроля издержек.
Тестовые задания к разделу II
1. Полная
производственная себестоимость продукции исчисляется:
а) с учетом общехозяйственных издержек;
б) с учетом издержек на продажу;
в) без учета общехозяйственных издержек и издержек на продажу.
2. Для
расчета себестоимости отдельных видов продукции используют группировку
издержек:
а) по элементам издержек;
б) по статьям калькуляции;
в) по экономической однородности.
3. При
проектировании новых производств и конструировании вновь осваиваемых изделий
рассчитывается:
а) плановая калькуляция;
б) сметная калькуляция;
в) нормативная калькуляция;
г) отчетная калькуляция.
4.
Объектом калькулирования являются:
а) место возникновения издержек;
б) центр ответственности;
в) продукт, работа, услуга.
5.
Позаказный метод учета издержек и калькулирования применяется:
а) в массовом и крупносерийном производствах;
б) на предприятиях с единичным и мелкосерийным производством;
в) в малых промышленных и непромышленных организациях, работающих по
системе заказов.
6. Для
полноты учета издержек используются методы:
а) учет фактической себестоимости и учет нормативных издержек;
б) калькулирование полной и неполной себестоимости;
в) попроцессный метод, попередельный метод и позаказный метод;
г) все ответы верны.
7. При
позаказном методе калькулирования отчетные калькуляции составляются:
а) ежемесячно;
б) ежеквартально;
в) после выполнения заказа.
8. Метод
калькулирования, который применяется на предприятиях, выпускающих продукцию
ограниченной номенклатуры, и где отсутствует незавершенное производство,
называется:
а) попроцессным;
б) попередельным;
в) позаказным.
9.
Частичная (неполная) себестоимость единицы продукции исчисляется:
а) с учетом общепроизводственных издержек;
б) с учетом постоянных издержек;
в) с учетом переменных издержек.
10.
Общепроизводственная (цеховая) себестоимость единицы продукции включает:
а) общехозяйственные издержки предприятия;
б) общецеховые расходы на управление;
в) технологическую себестоимость и цеховые накладные расходы.
11.
Издержки на оплату труда, включаемые в себестоимость продукции, состоят:
а) из оплаты надбавок к пенсиям, единовременных пособий, уходящим на
пенсию ветеранам труда;
б) из оплаты путевок на лечение и отдых;
в) из выплат заработной платы за фактически выполненную работу.
12.
Система «директ-костинг» включает учет:
а) общепроизводственных издержек;
б) общехозяйственных издержек;
в) переменных и постоянных издержек.
13.
Себестоимость единицы продукции — это:
а) текущие издержки на производство и реализацию продукции;
б) издержки на разработку, освоение и выпуск новой продукции;
в) издержки на создание основных и оборотных фондов предприятия.
14.
Величина себестоимости единицы продукции лежит в основе расчетов:
а) прибыли и рентабельности продукции предприятия;
б) издержек на сертификацию продукции;
в) рыночной цены на продукцию.
15.
Полная производственная себестоимость единицы продукции включает:
а) технологическую себестоимость;
б) цеховую себестоимость;
в) общехозяйственные накладные расходы;
г) все ответы верны.
Практические задания к разделу II
Задание 1
В больнице имеется следующий штат: администрация — 10 чел., прачечная —
5 чел., столовая — 5 чел., хирургическое отделение — 20 чел., терапевтическое
отделение — 30 чел. Первичные издержки составляют: администрация — 900 руб.,
прачечная — 225 руб., столовая — 475 руб., хирургия — 1 200 руб., терапия — 1
000 руб. Издержки администрации распределяются пропорционально численности
работающих. Издержки прачечной распределяются пропорционально объему
выстиранного белья: столовая — 20 кг, хирургия — 60 кг, терапия — 40 кг.
Издержки столовой — пропорционально количеству обслуживаемых пациентов:
хирургия — 100 пациентов, терапия — 200 пациентов.
Рассчитать издержки по каждому подразделению и распределить косвенные
расходы.
Задание 2
Предприятие имеет три производственных и два обслуживающих
подразделения. Сумма накладных расходов в производственных подразделениях: А —
48 000 руб., Б — 42 000 руб., В — 30 000 руб.; в обслуживающих подразделениях:
в 1-м — 14 040 руб., во 2-м — 18 000 руб. Расходы обслуживающих подразделений
распределяются:
| Расходы | А | Б | В | 1 | 2 | 
| 1-е обслуживающее подразделение | 20% | 40% | 30% | — | 10% | 
| 2-е обслуживающее подразделение | 40% | 20% | 20% | 20% | — | 
Распределить
накладные расходы.
Задание 3
Предприятие имеет 4 стадии производства (цеха) и выпускает один вид
продукции, проходящей последовательно через все 4 цеха. За отчетный период
изготовлено 260 тыс. ед. готовой продукции. Из них продано 200 тыс. ед.
С целью организации производства между цехами создаются склады
промежуточного продукта.
30 тыс. ед. промежуточного продукта, изготовленных на 1-й ступени
производства, остаются на складе промежуточного продукта N 1 (между 1-м и 2-м
цехами); 50 тыс. ед., изготовленных на 2-й производственной ступени, находятся
на складе промежуточных продуктов N 2; 10 тыс. ед. промежуточного продукта,
использованного на 4-й производственной ступени, были взяты со склада
промежуточного продукта N 3. Эти запасы промежуточной продукции на складах были
сделаны в предыдущем периоде. Себестоимость единицы продукции была в то время
2,9 руб.
На отдельных ступенях производства в течение отчетного периода были
сделаны следующие первичные издержки: 1-я стадия — 165 тыс. руб., 2-я стадия —
90 тыс. руб., 3-я стадия — 550 тыс. руб., 4-я стадия — 521 тыс. руб. Расходы по
сбыту — 40 тыс. руб.
Определить с помощью многоступенчатой простой калькуляции себестоимость
единицы готовой продукции.
Задание 4
На предприятии производится в цехе «А» продукция a и b, в
цехе «Б» продукция c и d.
| Вид продукции | Переменные издержки на единицу продукции, руб. | Полная себестоимость единицы продукции, руб. | Цена единицы продукции, руб. | Объем реализации, шт. | 
| a | 930 | 1 240 | 1 550 | 2 000 | 
| b | 1 240 | 1 550 | 2 170 | 2 500 | 
| c | 340 | 640 | 930 | 800 | 
| d | 775 | 1 390 | 1 545 | 1 400 | 
1.
Рассчитать калькуляцию по полным издержкам.
2. Осуществить ранжирование изделий по прибыли.
3. Расчеты оформить в таблице.
| Показатели | Изделия | |||
| a | b | c | d | |
| Цена единицы продукции, руб. Полная себестоимость Прибыль от реализации Объем реализации, шт. Выручка, руб. Полная себестоимость на Прибыль от реализации всей Общий финансовый результат Ранжирование изделий по | ||||
Задание 5
По предприятию перерабатывающего комплекса, охватывающему три передела,
за отчетный период имеется следующая информация:
| Передел 1 | Передел 2 | Передел 3 | |
| Количество произведенных полуфабрикатов, шт. | 12 000 | 11 000 | 10 000 | 
| Добавленные издержки каждого передела, тыс. руб. | 200 | 300 | 500 | 
Издержки
на сырье и материалы в расчете на единицу продукции — 50 руб.
Административно-управленческие расходы за отчетный период — 200 тыс. руб.
Реализовано в течение отчетного периода 800 ед. продукции. Местом потребления
сырья и материалов является 1-й передел.
Определить себестоимость единицы продукции.
Задание 6
Составить смету расходов на производство в цехе по следующим данным.
Расход материалов
| Наименование | Расход за год | Стоимость, тыс. руб. | 
| Чугун, т | 150 | 120 | 
| Сталь, т | 800 | 1 500 | 
| Бронза, т | 12 | 900 | 
| Пластмассы, т | 10 | 300 | 
| Уголь, т | 1 000 | 450 | 
| Электроэнергия, тыс. кВт | 120 | 220 | 
| Вода, тыс. м3 | 60 | 25 | 
Возвратные
отходы составляют 5% и реализуются по цене (в среднем) 500 руб/т.
Характеристика основных фондов
| Основные фонды | Балансовая стоимость, тыс. руб. | Норма амортизации, % | 
| Здания и сооружения | 3 200 | 3,5 | 
| Оборудование и транспорт | 10 300 | 12,7 | 
| Инструменты, приспособления, инвентарь | 560 | 25 | 
Кроме
того, в год расходуется: на приобретение быстроизнашивающихся инструментов —
410 тыс. руб., вспомогательных материалов — 205 тыс. руб., на формирование
фонда платы труда — 2 100 тыс. руб., на отчисления в фонд социального развития
— 26% от фонда оплаты труда, на рационализацию и изобретательство — 150 тыс.
руб., охрану труда и технику безопасности — 200 тыс. руб. Прочие денежные
расходы составляют 15% от фонда оплаты труда.
Раздел III. СПЕЦИАЛЬНЫЕ ВОПРОСЫ ПРОИЗВОДСТВЕННОГО УЧЕТА
Глава 9. УПРАВЛЕНИЕ ИЗДЕРЖКАМИ
НА ОБЕСПЕЧЕНИЕ
КАЧЕСТВА ПРОДУКЦИИ
9.1. Виды издержек на обеспечение качества продукции
Обеспечение
качества продукции связано с издержками различных видов. Издержки, связанные с
качеством продукции, подразделяются на научно-технические, управленческие и
производственные. Научно-технические
и управленческие подготавливают,
обеспечивают и контролируют условия производства, как бы предопределяют наличие
и величину производственных издержек.
Цепочка формирования издержек показана на рис. 23.
Цепочка формирования издержек
┌────────────────────────────┐
┌────────────────────────┐
┌───────────────────────────┐
│       Проектирование       │ │ Прогнозирование спроса
│ │          Продажи          │
└────────┬──────────┬────────┘
└───────────┬────────────┘
└────────┬─────────┬────────┘
\│/        /│\                    \│/                     \│/       /│\
┌────────┴──────────┴────────┐
┌───────────┴────────────┐
┌────────┴─────────┴────────┐
│       Технологическое      │ │      Планирование      │ │      Производственное     │
│        планирование        ├─┤    производственной    ├─┤        планирование       │
│
│ │
мощности        │ │                           │
└────────────────────────────┘
└───────────┬────────────┘
└───────────────────────────┘
\│/
┌───────────┴────────────┐
│Организация и подготовка│
│ производства │
└───────────┬────────────┘
\│/
┌────────────────────────────────────────────┴────────────────────────────────────────────┐
│
┌─────────┐
┌────────────────┐
┌────────────┐
┌─────────┐
┌──────────┐
┌──────────────┐
│
│ │         │ │    Хранение
│ │            │
│ Хранение│ │Реализация│ │Послепродажное│
│
├>│Снабжение├>│производственных├>│Производство├>│
готовой ├>│  готовой
├>│ обслуживание ├>│
│ │         │ │     запасов
│ │            │
│продукции│ │ продукции│ │              │ │
│
└─────────┘
└────────────────┘
└────────────┘
└─────────┘
└──────────┘
└──────────────┘
│
└─────────────────────────────────────────────────────────────────────────────────────────┘
Рис. 23
Производственные издержки, связанные с
гарантией качества продукции, включают:
— транспортные — перевозки сырья, полуфабрикатов, комплектующих и
готовой продукции;
— снабженческие — закупка необходимого для производства продукции
сырья, материалов, полуфабрикатов, комплектующих;
— издержки, связанные с работой подразделений, контролирующих качество
продукции (ОТК, БТК и др.);
— издержки, связанные с работой экономических служб, от деятельности
которых зависит качество продукции: планово-экономического отдела, финансового
отдела, бухгалтерии и др.;
— издержки на деятельность других служб аппарата управления, которые в
различной степени влияют на обеспечение качества продукции (например, отдела
кадров, отдела подготовки кадров и др.).
Величину управленческих издержек в суммарных издержках на качество
продукции определяют условно, опосредствованно, в виде накладных расходов.
Производственные издержки подразделяются на материальные,
технологические и трудовые и относятся непосредственно на стоимость продукции.
Для обеспечения управления издержками, связанными с качеством
продукции, необходимо различать базовые и дополнительные издержки.
Базовые издержки образуются
в процессе разработки, освоения и производства новой продукции. Их основная
часть отражает стоимостную величину факторов производства. Дополнительные издержки связаны с усовершенствованием и
восстановлением утерянного (недополученного по сравнению с запланированным)
уровня качества.
В дополнительные издержки включаются:
— издержки на оценку (они необходимы для того, чтобы определить,
отвечает ли продукция запланированным, функциональным, эстетическим,
эргономическим и социальным показателям (требованиям), и изучить мнение
потребителей о качестве продукции);
— издержки на предотвращение (расходы на доработку и усовершенствование
продукции);
— издержки на внедрение системы управления качеством, в том числе на
техническое обеспечение, разработку стандартов, документации.
Существует еще одна группа издержек — издержки на брак. Они могут
относиться как к базовым, так и к дополнительным, в зависимости от новизны
продукции.
Их величина состоит из расходов на производство забракованной продукции
при наличии полного (неисправимого) брака или издержек на его исправление, если
брак частичный (исправимый). В эту группу включается оплата морального и (или)
физического ущерба, нанесенного потребителю некачественной продукцией, которая
может быть весьма велика.
Группы издержек по видам во взаимосвязи с производством новой продукции
и ее усовершенствованием показаны на рис. 24.
Взаимосвязь издержек, обеспечивающих качество продукции
┌─────────────────────────────────────────────────────────────┐
┌───────────────────────────────┐
│                   Издержки
на новую продукцию
│   │ Издержки на усовершенствование│
│
│   │           продукции           │
└───────────────────────────────┬─────────────────────────────┘
└──────────────┬────────────────┘
                                 \│/
\│/
┌───────────────────────────────┴─────────────────────────────┐
┌──────────────┴────────────────┐
┌─┤                       Базовые издержки
│<─>│
Дополнительные издержки
├─┐
│
└───────────────────────────────┬─────────────────────────────┘   └──────────────┬────────────────┘
│
│ /│\ /│\ │
│
┌──────┬────────┬───────────┴──┬───────────────────┐
┌───────┴───────┐          │
│
┌───┴──┬───┴───┬────┴────┬─────────┴──────────┬────────┴────────┐
┌──────┴──────┬────────┴────────┐
│
│ │Оплата│
Оплата│  Оплата
│Общепроизводственные│Общехозяйственные│ │   Издержки
│     Издержки    │ │
│ │
труда│средств│предметов│
издержки      │     издержки
│ │  на оценку  │на предотвращение│ │
│ │      │ труда │  труда
│                    │                 │ │             │                 │ │
│
└───┬──┴───┬───┴────┬────┴─────────┬──────────┴────────┬────────┘
└──┬───┬──────┴────────┬────────┘
│
│
└──────┼────────┘              └─────────┬─────────┘            /│\  └───────┬───────┘          │
│           /│\                               /│\
┌──────┘          /│\                 │
│
┌─────────┴───────────┐       ┌─────────────┴────────────┐   │
┌──────────────┴────────────────┐
│
│
│
│       │                          │   │
│          Издержки на          │ │
│
│      Основные       │       │                          │   │
├─────────┬──────────┬──────────┤
│
│
│  производственные   │
│     Накладные расходы    │
│   │         │ технику и│  систему │ │
│
│      издержки       │       │                          │   │
│продукцию│технологию│управления│ │
│
│
│       │                          │   │
│         │          │ качеством│ │
│
└─────────┬───────────┘       └──────────────────────────┘   │
└────┬────┴──────────┴─────┬────┘
│
│            │
┌──────────────┘
└──────────┬──────────┘      │
│           \│/
┌──────────┴──────────┐                      /│\                │
│
┌──────────┴────────────┐
┌─────────┴──────────┬──────────┴───────────┐           │                 │
│ │Заводская себестоимость│
│Издержки на контроль│Издержки на информацию│           │                 │
│
└───────────────────────┘
└─────────┬──────────┴──────────┬───────────┘           │                 │
│
/│\
/│\
│                 │
│
┌────────────────────────┴─────────────────────┘                       │                 │
│
┌──────┼────────┐                                  ┌────────────────┬─────────┴──────┐          │
│
┌───┴──┬───┴───┬────┴────┐                    ┌────────┴────────┬───────┴───────┬────────┴────────┐
│
│ │Оплата│
Оплата│  Оплата │                    │                 │ Оплата средств│
Оплата предметов│ │
│ │
труда│средств│предметов│                    │   Оплата труда
│     труда     │      труда
│ │
│ │      │ труда │  труда
│                    │                 │               │                 │ │
│
└──────┴───────┴─────────┘                    └─────────────────┴───────────────┴─────────────────┘
│
│ │
│
┌────────────────────────────────────────────────────────────────────────┐             │
└──────────────┤                   Издержки на брак и его
исправление
├─────────────┘
└───────────────────────────────────┬────────────────────────────────────┘
/│\
┌───────────────┬──────────────────────────┼───────────────────────────────────┐
┌───────┴───────┬───────┴───────┬──────────────────┴──────────────────┬────────────────┴──────────────┐
│
Издержки   │    Издержки
│      Оплата морального
ущерба,      │   Оплата физического ущерба,  │
│на неисправимый│ на
исправление│       нанесенного
потребителю       │    нанесенного потребителю    │
│
брак     │     брака
│
│
│
└───────────────┴───────────────┴─────────────────────────────────────┴───────────────────────────────┘
Рис. 24
Издержки
на создание, поддержание производства качественной продукции и, следовательно,
имиджа самого предприятия образуются как на предприятии, так и за его
пределами. Поэтому необходим их глубокий качественный и количественный анализ.
9.2. База для анализа издержек на качество продукции
В основе
анализа издержек на качество продукции лежит различная информация. Целью сбора
данных в процессе стоимостного анализа качества является:
— снижение издержек на единицу продукции при сохранении ее прежнего качества;
— снижение издержек на изделие при одновременном улучшении его
качества;
— повышение удельных издержек, позволяющее добиться высокого уровня
качества, дающего преимущества по сравнению с конкурентами;
— увеличение объема производства без снижения качества продукции за
счет уменьшения или ликвидации отходов;
— анализ отклонений от установленных требований;
— контроль продукции;
— установление цены на продукцию.
Данные для анализа издержек на качество продукции могут быть двух
видов. Первичные — это технические параметры изделия, которые содержатся в
нормативно-технической документации и подтверждают качество продукции.
Вторичные — получаются в результате обработки первичных. При этом вторичные
(преобразованные) обычно называют информацией.
Значительно сокращает время на обработку данных наличие формы, где
отражена информация о первичных носителях. Форма должна давать возможность для
предварительного анализа сразу после сбора данных и содержать: дату, когда они
собирались; фамилию и инициалы работника, осуществляющего операцию; станок, на
котором проводилась обработка; партию, из которой взят используемый материал, и
т.п.
Информацию следует регистрировать в табличной форме, что облегчает и
ускоряет вычисление статистических показателей, используемых в процессе
принятия оперативных управленческих решений. В качестве примера приведем форму
для регистрации дефектов штампованной пластиковой детали, проводимой
контролером ОТК (рис. 25).
Форма контрольного листа дефектов
┌─────────────────────────────────────────────────────────────────────────┐
│                       Контрольный листок
дефектов                       │
│
│
│Наименование изделия
______________________________   Дата
______________│
│
│
│Производственная
операция _________________________
Участок ___________│
│ │
│Всего
проконтролировано деталей ___________________
Станок ____________│
│
│
│Ф.И.О. рабочего
___________________________________                      │
│
│
│Предварительное  заключение
о  причине  наиболее
часто   встречающегося│
│дефекта
│
│_________________________________________________________________________│
│
│
│N партии
________________________        N заказа
_______________________│
│
│
│Контролер
_______________________________________________________________│
│
│
│┌─────────────────────────────────┬─────────────────────┬───────────────┐│
││           Тип дефекта           │  Результат контроля │Кол-во
дефектов││
│├─────────────────────────────────┼─────────────────────┼───────────────┤│
││Поверхностные
царапины           │////\ ////\
////\ // │       17      ││
│├─────────────────────────────────┼─────────────────────┼───────────────┤│
││Трещины                          │////\ ////\
/        │       11
││
│├─────────────────────────────────┼─────────────────────┼───────────────┤│
││Вмятины                          │////\ ////\
////     │       14
││
│├─────────────────────────────────┼─────────────────────┼───────────────┤│
││Пропуск
операции                 │////                 │        4
││
│├─────────────────────────────────┼─────────────────────┼───────────────┤│
││Неправильное
выполнение операции │////\ ////\ ////\
│       15      ││
│├─────────────────────────────────┼─────────────────────┼───────────────┤│
││Другие                           │////\                │        5
││
│├─────────────────────────────────┼─────────────────────┼───────────────┤│
││ИТОГО                            │                     │       66
││
│├─────────────────────────────────┼─────────────────────┼───────────────┤│
││Всего
забраковано деталей        │                     │       33
││
│└─────────────────────────────────┴─────────────────────┴───────────────┘│
└─────────────────────────────────────────────────────────────────────────┘
Рис. 25
Данная
форма позволяет видеть причины брака, быстро определять нанесенный им ущерб и
его виновника.
Более сложным, трудоемким и дорогим является получение внешней
информации. Часть ее содержится в рекламных проспектах, прайс-листах,
материалах периодической печати, специальной литературе. Другим источником
является проведение выборочных обследований по изучению мнения потребителей о
цене и качестве продукции. С этой целью проводится опрос продавцов продукции и
покупателей или проводится анкетирование населения. Это позволяет знать мнение
различных социальных, возрастных групп населения о продукции предприятия.
При сборе данных по опросу потребителей для проведения анализа
целесообразно строить диаграмму разброса. Она позволяет изучить зависимость
между двумя переменными. При этом необходимо за одну из переменных брать
показатель, выражающий издержки на качество, создание или поддержание
какого-либо свойства продукции. В качестве другой переменной может выступать
одно из потребительских свойств продукции.
Несмотря на разносторонность информационной базы, характеризующей
издержки на качество продукции, необходимо и вполне возможно уже на этапе
формирования данных использовать наглядные формы их представления в сочетании с
методиками первичного анализа: группировкой, графическим анализом и т.п. Это
значительно ускоряет процесс анализа и облегчает дальнейшее использование в его
целях статистико-математических методов.
9.3. Методы анализа издержек на качество продукции
Методы
анализа издержек на качество продукции в значительной степени зависят от целей,
задач анализа, от прохождения продукцией определенного производственного этапа
и ее места в цепочке формирования издержек в конкретный момент. На практике
применяются следующие методы анализа издержек на качество продукции:
— функционально-стоимостный анализ;
— индексный метод;
— метод балльных оценок;
— метод удельной цены.
Рассмотрим каждый из них в отдельности.
Функционально-стоимостный анализ (ФСА)
Данный
метод находит наибольшее применение на этапах технической подготовки
производства и освоения выпуска новой продукции. Это метод системного
исследования функций отдельного изделия или технологического,
производственного, хозяйственного процесса, ориентированный на повышение
эффективности использования ресурсов.
Основные принципы применения ФСА:
— функциональный подход к объекту исследования;
— системный подход к анализу объекта и выполняемых им функций;
— исследование функций объекта и их материальных носителей на всех
стадиях жизненного цикла изделия;
— соответствие качества и полезности функций продукции издержкам на
них;
— коллективное творчество.
Выполняемые изделием функции можно сгруппировать по следующим
признакам:
— По области проявления — на внешние
и внутренние.
Внешние — это функции, выполняемые объектом при его взаимодействии с
внешней средой.
Внутренние — функции, которые выполняют какие-либо элементы объекта и
их связи в границах объекта.
— По роли в удовлетворении потребностей среди внешних функций различают
главные и второстепенные.
Главная функция отражает главную цель создания объекта, а
второстепенная — побочную.
— По роли в рабочем процессе внутренние функции можно подразделить на
основные и вспомогательные.
Основная функция подчинена главной и обусловливает работоспособность
объекта.
С помощью вспомогательных реализуются главные, второстепенные и
основные функции.
— По характеру появления все перечисленные функции делятся на номинальные, потенциальные и действительные.
Номинальные задаются при формировании, создании объекта и обязательны
для выполнения.
Потенциальные отражают возможность выполнения объектом каких-либо
функций при изменении условий его эксплуатации.
Действительные — это фактически выполняемые объектом функции.
Все функции объекта могут быть полезными и бесполезными, а последние —
нейтральными и вредными.
Взаимосвязь функций показана на рис. 26.
Взаимосвязь функций
├─>
Номинальные  <─┤
│ │
┌─ Главные ─>│ │
│ │ │
Внешние    ┤
              │                    ├─> Полезные
│ │ │
└─ Второстепенные ─>│ │
│ │
├─>  Потенциальные
<─┤
│ │
┌─ Основные │ │
│ │ ├─> Бесполезные
Внутренние ┤ │ │ \│/
│ │ │ ┌─────┴─────┐
           └─ Вспомогательные
─>│
│    \│/         \│/
│ │ Нейтральные Вредные
├─> Действительные <─┤
Рис. 26
Цель
функционально-стоимостного анализа состоит в развитии полезных функций объекта
при оптимальном соотношении между их значимостью для потребителя и издержками
на их осуществление. Математически это можно выразить следующим образом:
,
где ПС —
потребительская стоимость анализируемого объекта, выраженная совокупностью его
потребительских свойств;
И — издержки на достижение необходимых потребительских свойств.
Функционально-стоимостный анализ проводят в несколько этапов.
Первый этап — подготовительный:
уточняют объект анализа — носитель издержек. Это особенно важно при
ограниченности ресурсов производителя. Этап завершается, если найден вариант с
низкой по сравнению с другими себестоимостью и высоким качеством.
Второй этап — информационный:
собираются данные об исследуемом объекте (назначение, технико-экономические
характеристики) и составляющих его блоках, деталях (функции, материалы,
себестоимость). Информация поступает из конструкторских (К), экономических (Э)
подразделений предприятия и от потребителя (П) к руководителям соответствующих
служб. Исходные данные обрабатываются, проходят все заинтересованные
подразделения и поступают к руководителю проекта (А).
Модель информационной сети показана на рис. 27.
Модель информационной сети ФСА
┌───┐
┌───────────────────────┤
А ├───────────────────────┐
           │
└─┬─┘                       │
│ │ │
┌─┴─┐
┌─┴─┐                     ┌─┴─┐
│К-1├─────────────────────┤Э-1├─────────────────────┤П-1│
└─┬─┘
└─┬─┘                     └─┬─┘
┌────────┼────────┐       ┌────────┼────────┐
┌────────┼────────┐
┌─┴─┐ ┌─┴─┐ ┌─┴─┐ ┌─┴─┐ ┌─┴─┐ ┌─┴─┐ ┌─┴─┐ ┌─┴─┐ ┌─┴─┐
│К-2│ │К-3│ │К-4│ │Э-2│ │Э-3│ │Э-4│ │П-2│ │П-3│ │П-4│
└───┘ └───┘ └───┘ └───┘ └───┘ └───┘ └───┘ └───┘ └───┘
Рис. 27
Третий этап — аналитический: подробно
изучаются функции объекта (их состав, степень полезности), его стоимость и
возможности ее уменьшения путем отсечения второстепенных и бесполезных функций.
Это могут быть не только технические, но и эргономические, эстетические и
другие функции изделия или его деталей и узлов. Для этого целесообразно
использовать принцип Эйзенхауэра — принцип ABC, где:
A — функции главные, основные, полезные;
B — функции второстепенные, вспомогательные, полезные;
C — функции второстепенные, вспомогательные, бесполезные.
Использование табличной формы распределения функций облегчает анализ по
принципу ABC (табл. 23).
Таблица 23
Распределение
служебных функций изделия X по принципу ABC
| Детали | Функции | Итого по детали | Предварительный вывод | ||||
| 1 | 2 | 3 | 4 | — | |||
| 1 | A | B | B | C | — | 1C | Усовершенствовать | 
| 2 | B | C | A | C | — | 2C | |
| 3 | B | A | B | C | — | 1C | |
| 4 | C | B | B | A | — | 1C | |
| — | — | — | — | — | — | — | — | 
| Итого по функции | 1C | 1C | — | 3C | — | — | — | 
| Предварительный вывод | — | — | — | Ликвидировать | — | — | — | 
В
итоговые графы заносятся данные о количестве второстепенных, вспомогательных,
бесполезных функций по деталям, что позволяет сделать предварительный вывод об
их необходимости.
Далее строится таблица стоимости деталей по смете или наиболее важным
ее статьям и оценивается весомость функций каждой детали во взаимосвязи с
издержками на обеспечение, что позволит выявить возможные направления их
снижения: изменение в конструкции изделия, технологии производства, замена
одного вида материала другим, более дешевым или экономичным в обработке и т.д.
Группировка издержек на функции по факторам производства позволит
выявить первоочередность направлений снижения стоимости изделия. Такие направления
целесообразно детализировать, ранжировать по степени значимости, определяемой
экспертным путем, и, сопоставляя с издержками, выбирать пути удешевления
продукции. Для этого можно составить таблицу (табл. 24).
Таблица 24
Сопоставление
коэффициентов значимости функций
и их стоимости
| Ранг функций | Значимость, % | Удельный вес издержек на функцию в общих издержках, % | Коэффициент издержек на функцию | 
| 1 | 2 | 3 | 4 | 
| 1 | 40 | 40 | 1,00 | 
| 2 | 30 | 50 | 1,67 | 
| 3 | 15 | 5 | 0,33 | 
| 4 | 10 | 3 | 0,30 | 
| 5 | 5 | 2 | 0,40 | 
| Итого | 100 | 100 | — | 
Коэффициент
издержек на функцию (Ки/ф) — это отношение удельного веса издержек
на функцию в общих издержках к значимости соответствующей ему функции (гр. 4).
Оптимальным считается Ки/ф ~= 1. Значение Ки/ф
< 1 желательнее, чем Ки/ф > 1. При существенном превышении
данного коэффициента единицы необходимо искать пути удешевления данной функции.
В примере (табл. 24) видно, что такой является функция с
30%-ным уровнем значимости.
Результатом проведения ФСА являются варианты решения, в которых
совокупные издержки на изделие сопоставляются с какой-либо базой. В качестве
базы могут служить, например, минимально возможные издержки на изделие.
Теория ФСА предлагает исчислять экономическую эффективность ФСА,
которая показывает, какую долю составляет снижение издержек в их минимально
возможной величине по формуле:
,
где КФСА
— экономическая эффективность ФСА (коэффициент снижения текущих издержек);
Ср — реально сложившиеся текущие издержки;
См.з — минимально возможные издержки, соответствующие
спроектированному изделию.
Четвертый этап —
исследовательский: оцениваются предлагаемые варианты разработанного
изделия.
Пятый этап — рекомендательный:
отбираются наиболее приемлемые для данного производства варианты разработки и
усовершенствования изделия.
С этой целью рекомендуется построение матричной таблицы (табл. 25).
Таблица 25
Таблица решений
по вариантам выбора изделий
для производства
| Варианты управленческих решений | ||
| Предпочтительный | Проблематичный | Нежелательный | 
| А | Д | Ж | 
| Значимость функции: высокая Издержки: низкие Рентабельность изделия: высокая | Значимость функции: средняя Издержки: низкие Рентабельность изделия: высокая | Значимость функции: низкая Издержки: низкие Рентабельность изделия: средняя | 
| Б | Е | Н | 
| Значимость функции: высокая Издержки: средние Рентабельность изделия: средняя | Значимость функции: средняя Издержки: средние Рентабельность изделия: средняя | Значимость функции: низкая Издержки: средние Рентабельность изделия: низкая | 
| С | Ф | И | 
| Значимость функции: высокая Издержки: высокие Рентабельность изделия: средняя | Значимость функции: средняя Издержки: высокие Рентабельность изделия: низкая | Значимость функции: низкая Издержки: высокие Рентабельность изделия: низкая | 
С учетом
значимости функций изделий, его узлов, деталей и уровня издержек посредством
ценообразования, основываясь на знании спроса на продукцию, определяется
уровень ее рентабельности. Все это в совокупности служит цели принятия решения
о выборе к производству конкретного изделия или его усовершенствования.
Метод ФСА может использоваться на всех стадиях жизненного цикла
изделия, как у изготовителя, так и у потребителя, и является действенным
инженерно-экономическим методом управления издержками. Он позволяет дать ответы
на следующие вопросы:
— соответствует ли стоимость данного изделия его потребительским
свойствам;
— полностью ли используются все его свойства;
— имеются ли изделия с более высокими показателями;
— можно ли данное изделие изготовить с меньшими издержками;
— можно ли заменить его стандартным, а следовательно, более дешевым;
— можно ли покупаемое изделие изготовить на своем предприятии и при
этом с большим экономическим эффектом;
— есть ли другие поставщики, которые предлагают это изделие по более
низкой цене при том же уровне качества.
Отечественный и мировой опыт использования ФСА весьма широк. Применение
этого метода позволяет снизить издержки как минимум на 10 — 20%. Метод ФСА призван
не конкурировать с другими методами управления предприятием, а дополнять их.
Индексный метод
Позволяет
проанализировать изменение издержек, связанных с изменением качества продукции.
Сложность его применения в том, что оба признака (изменение издержек и
изменение качества) должны быть выражены количественно. Качество же не всегда
имеет количественное значение и не всегда может быть описано словесно
(продукция пригодная и не прошедшая сертификацию, соответствующая и не
соответствующая техническим условиям и т.д.).
Пример. В
табл. 26 приведены данные о запланированной и фактической стоимости стального
листа, используемого для производства труб, турбин и т.д. Требуется произвести
расчет их изменения при условии, что габариты листа остаются неизменными.
Таблица 26
Стоимость
стального листа для изделия
| По плану | Фактически | |||
| Толщина листа, мм | Стоимость листа, руб. | Толщина листа, мм | Стоимость листа, руб. | |
| 4,62 | 42 | 3,05 | 48 | |
| 4,50 | 42 | 3,16 | 48 | |
| 4,81 | 44 | 2,86 | 50 | |
| 4,43 | 42 | 2,71 | 50 | |
| 4,12 | 44 | 2,62 | 50 | |
| 4,01 | 44 | 2,53 | 50 | |
| 3,88 | 46 | 2,24 | 52 | |
| 3,67 | 46 | 2,02 | 52 | |
| 3,30 | 48 | 1,95 | 52 | |
| 3,21 | 48 | 1,83 | 52 | |
| 40,55 | 446 | 24,97 | 504 | |
Исходя из
данных таблицы общая стоимость сырья по плану — 446 руб., фактически — 504 руб.
Следовательно, фактическое изменение стоимости сырья по сравнению с планом (без
учета изменения его расхода) составит 504 / 446 = 1,13 (113%), т.е. стоимость
сырья возросла на 13%.
Общая толщина листов по плану — 40,55 мм, фактически — 24,97 мм.
Вследствие уменьшения толщины стального листа на изготовление изделия его
требуется меньше на 62,39% [(24,97 / 40,55) 100%]. В данном случае такой способ
расчета оправдан, так как по условиям задачи габариты листов одинаковы.
Метод балльных оценок
При его
использовании каждому качественному параметру (показателю) изделия выставляется
балл по избранной для оценки шкалы (5 — 10 — 100-балльной). Затем с учетом
значимости каждого параметра определяется средний балл для изделия в целом.
Путем деления цены изделия (Р) на средний балл (б) определяется стоимость
одного балла:
.
Метод
балльных оценок целесообразно использовать при сравнительном анализе изделий
для решения вопроса об их запуске в производство или определения эффективности
предлагаемых мероприятий по повышению качества продукции. К параметрам качества
относятся как технико-экономические параметры, так и эстетические,
эргономические свойства, соответствие моде и др.
Метод балльных оценок находит применение при расчете цены новой
продукции по отношению к базовой:
,
где Рн
— цена новой продукции, руб.;
Рб — цена базовой продукции, руб.;
Бб — сумма баллов, характеризующих параметры качества
базовой продукции;
Бн — сумма баллов, характеризующих параметры качества новой
продукции.
Метод удельной цены
Он
аналогичен методу балльных оценок и заключается в определении цены на основе
расчета стоимости единицы основного параметра качества: мощности,
производительности и т.д. Расчет производится по формуле:
,
где Рн
— цена новой продукции, руб.;
Пн — значение основного параметра качества нового изделия,
балл;
Пб — значение основного параметра качества базового изделия,
балл;
 — удельная
цена единицы основного параметра качества базового изделия, руб.
9.4. Классификация издержек на обеспечение качества
В
международных стандартах на системы качества отмечается, что издержки,
связанные с качеством, калькулируются внутри организации согласно ее
собственным критериям. При этом к издержкам, связанным с качеством, относятся:
— издержки на обеспечение удовлетворительного качества;
— издержки на гарантирование качества;
— издержки на совершенствование качества;
— потери из-за неудовлетворительного качества.
Международные стандарты в целях сопоставимости и обобщения
хозяйственной информации дают рекомендации только по исходным методам
калькуляции издержек на качество для внешней (финансовой) отчетности о
деятельности изготовителя в рамках системы качества. Рассмотрим наиболее часто
используемые.
Метод калькуляции издержек на
качество касается определения издержек на качество (ИК), которые в целом
подразделяются на издержки внутренние (Ву) и внешние (Вш).
Издержки, связанные с внутренней
хозяйственной деятельностью, анализируются на основе модели издержек ПОД (П —
профилактика, О — оценивание, Д — дефекты).
Профилактика — деятельность по предотвращению дефектов (обучение
персонала, метрологическое обеспечение производства и др.).
Оценивание — испытание, контроль и обследование для оценки выполнения
требований к качеству.
Дефекты — они возникают при поставке продукции из-за того, что
продукция не отвечает требованиям к качеству (переделка, повторная обработка,
повторные испытания, брак и т.д.).
Издержки на профилактику и оценивание считаются выгодными
капиталовложениями, а издержки на дефекты считаются убытками.
Внешние издержки — это
результат дефектов, возникающих вследствие поставки продукции, которая не
отвечала требованиям к качеству (техническое обслуживание и ремонт продукции;
гарантии и возвраты; прямые издержки и скидки, связанные с изъятием продукции,
и др.).
Метод определения потерь
вследствие низкого качества. Здесь основное внимание уделяется внутренним и
внешним потерям из-за низкого качества и определению материальных и
нематериальных потерь. Материальные потери — это внутренние и внешние издержки,
являющиеся следствием дефектов. К внешним материальным потерям можно отнести
сокращение объема сбыта в связи с неудовлетворенностью потребителей. Внутренние
нематериальные потери — это результат снижения производительности труда из-за
переделок, неиспользованных возможностей, неудовлетворительной эргономики и
т.д.
Пример.
Предприятие представило в статистическое управление финансовый отчет, в котором
издержки на качество производства и эксплуатации продукции (стиральные машины)
калькулируются методом ПОД и равны:
П = 300 млн руб. — на метрологическое обеспечение производства;
О = 30 млн руб. — на испытания и сертификацию;
Д = 10 млн руб. — на брак в производстве;
Вш = 20 млн руб. — возврат продукции потребителями.
Определим общую сумму издержек на качество и издержек, являющихся
результатом внутрихозяйственной деятельности:
Ву = П + О + Д = 340 млн руб.;
ИК = Ву + Вш = 360 млн руб.
Обобщающий
показатель качества рассчитывается по формуле:
,
где Кк
— коэффициент качества;
Сб — стоимость забракованной в процессе производства
продукции;
СД — стоимость дефектной продукции, за которую по
рекламациям уплачен штраф;
СГ — стоимость продукции, подвергнутой гарантийному ремонту;
Сф — стоимость фактически реализованной продукции за
рассматриваемый период.
Чем ближе величина коэффициента качества к нулю, тем лучше работает
предприятие с точки зрения качества продукции.
9.5. Влияние качества на экономическую эффективность
Эффективность
мероприятий научно-технического прогресса принимается как характеристика
системы, способность производить экономический эффект (Э), равный разности
результатов экономической деятельности (Р) и издержек (И):
Э = Р —
И.
При этом
издержки состоят из издержек на изготовление (производство) — ИП и
издержек на эксплуатацию — Иэ, тогда:
Э = Р —
(ИП + Иэ).
Для
единичного акта производства, продажи и эксплуатации, вводя в формулу
экономического эффекта продажную цену продукции (Ц), получим
Э = Р —
(ИП + Иэ) = Р — (ИП + Иэ) + Ц — Ц =
(Ц — ИП) + [(Р — (Ц + Иэ)] = ЭП + Ээ,
где Ц — ИП
= ЭП — экономический эффект производства;
ЦП = Ц + Иэ — цена потребления;
Ээ = Р — ЦП — экономический эффект от
эксплуатации продукции.
Пример.
Производство продукции характеризуется следующими значениями: ИП =
200 руб., Иэ = 1 400 руб., Ц = 400 руб. Примем Р = 1 900 руб.
Предположим, что это может быть цена, по которой потребитель продаст
приобретенную продукцию другому лицу. Тогда Э = (400 — 200) + [1 900 — (400 + 1
400)] = 300 руб.
При улучшении качества продукции производитель увеличивает издержки на
качество, что приводит к увеличению продажной цены на продукцию. За счет
увеличения продажной цены изготовитель компенсирует увеличение затрат на
совершенствование продукции и стремится повысить свой экономический эффект,
используя его для развития производства.
При этом изготовитель заботится о повышении экономического эффекта
потребителя за счет сокращения затрат на эксплуатацию.
Предположим, что в результате такого подхода ИП = 300 руб.,
Ц = 700 руб., Р = 1 900 руб., Иэ = 700 руб., тогда Э = (700 — 300) +
[1 900 — (700 + 700)] = 900 руб.
Если производитель желает увеличить прибыль за счет совершенствования
качества выпускаемой продукции, он должен учесть интересы потребителя —
реализовывать продукцию с меньшей ценой потребления (ЦП). В этом
случае продукция будет реализована и изготовитель увеличит свою прибыль.
Контрольные вопросы
1.
Назовите виды издержек на обеспечение качества продукции.
2. Какие базовые издержки включаются в новую продукцию?
3. Назначение и область применения функционально-стоимостного анализа
издержек на качество продукции.
4. Основные положения индексного метода анализа издержек на качество
продукции.
5. Метод балльных оценок анализа издержек на качество продукции.
6. В чем заключается отличие метода удельной цены от метода балльной
оценки при анализе издержек на качество продукции?
7. Назовите классификацию издержек на обеспечение качества продукции.
8. Как определить потери вследствие низкого качества продукции?
9. Как оценить влияние качества на экономическую эффективность
мероприятий научно-технического прогресса?
Глава 10. АНАЛИЗ ИЗДЕРЖЕК И РАСЧЕТ ЭКОНОМИЧЕСКИХ
ПОКАЗАТЕЛЕЙ
10.1. Анализ соотношения валового дохода
с валовыми
издержками
При
фиксированной рыночной цене перед конкурентными производителями стоят три
взаимосвязанных вопроса:
— следует ли производить данную продукцию;
— если да, то какое количество продукции;
— какая прибыль будет получена?
Покажем, как решаются поставленные вопросы на примере.
Пример.
Пусть постоянные издержки на единицу продукции составляют 100 руб.
Относительная динамика изменения валового дохода, цены и прибыли при разных
объемах производства и, соответственно, разной величине переменных издержек
приведена в табл. 27.
Таблица 27
Соотношение
цены валового дохода и прибыли
| Общее количество продукции, шт. | Переменные издержки, руб. | Валовые издержки <*>, руб. | Валовой доход <**>, руб. | Совокупная прибыль или убыток <***>, руб. | 
| Цена за единицу продукции — 131 руб. | ||||
| 0 | 0 | 100 | 0 | -100 | 
| 1 | 90 | 190 | 131 | -59 | 
| 2 | 170 | 270 | 262 | -8 | 
| 3 | 240 | 340 | 393 | +53 | 
| 4 | 300 | 400 | 524 | +124 | 
| 5 | 370 | 470 | 655 | +185 | 
| 6 | 450 | 550 | 786 | +236 | 
| 7 | 540 | 640 | 917 | +277 | 
| 8 | 650 | 750 | 1 048 | +298 | 
| 9 | 780 | 880 | 1 179 | +299 | 
| 10 | 930 | 1 030 | 1 310 | +280 | 
| Цена за единицу продукции — 81 руб. | ||||
| 0 | 0 | 100 | 0 | -100 | 
| 1 | 90 | 190 | 81 | -109 | 
| 2 | 170 | 270 | 162 | -108 | 
| 3 | 240 | 340 | 243 | -97 | 
| 4 | 300 | 400 | 324 | -76 | 
| 5 | 370 | 470 | 405 | -65 | 
| 6 | 450 | 550 | 486 | -64 | 
| 7 | 540 | 640 | 567 | -73 | 
| 8 | 650 | 750 | 648 | -102 | 
| 9 | 780 | 880 | 729 | -151 | 
| 10 | 930 | 1 030 | 810 | -220 | 
| Цена за единицу продукции — 71 руб. | ||||
| 0 | 0 | 100 | 0 | -100 | 
| 1 | 90 | 190 | 71 | -119 | 
| 2 | 170 | 270 | 142 | -128 | 
| 3 | 240 | 340 | 213 | -127 | 
| 4 | 300 | 400 | 284 | -116 | 
| 5 | 370 | 470 | 355 | -115 | 
| 6 | 450 | 550 | 426 | -124 | 
| 7 | 540 | 640 | 497 | -143 | 
| 8 | 650 | 750 | 568 | -182 | 
| 9 | 780 | 880 | 639 | -241 | 
| 10 | 930 | 1 030 | 710 | -320 | 
———————————
<*> Сумма постоянных и переменных издержек.
<**> Произведение количества продукции на цену
единицы продукции.
<***> Валовой доход за вычетом валовых
издержек.
Динамика
показателей, приведенных в табл. 27, отражена на рис. 28.
Относительная динамика валового дохода,
валовых издержек
и прибыли

Рис. 28
В
пересечении прямой валового дохода с кривой валовых издержек получим точки
критического объема производства:
— точка 1 расположена в районе производства 2 единиц продукции;
— точка 2 расположена в районе производства 12 единиц продукции.
Любой объем производства в пределах этих точек критического объема
производства принесет прибыль, и, наоборот, любой объем производства за
пределами этих точек повлечет за собой убытки.
Случай максимизации прибыли.
Допустим, что рыночная цена составляет 131 руб. за единицу продукта. Ответим на
три поставленных выше вопроса для данного случая.
Следует ли фирме (предприятию) производить выбранную ею продукцию? Да,
потому что она может получить прибыль, поступая таким образом. Сколько? Девять
единиц — тот объем производства, при котором совокупная прибыль будет
максимальной. Размер прибыли в этом случае — 299 руб.
Случай минимизации убытков.
Допустим, рыночная цена единицы продукции составляет 81 руб. При этой цене, как
показано в табл. 27, при любом объеме производства
предприятие будет терпеть убытки, но не закроется. Почему? Потому что,
осуществляя производство, предприятие может понести убыток значительно меньше,
чем оно могло бы понести, не производя продукции. В частности, в этом случае
предприятие сведет к минимуму свои убытки, производя 6 единиц продукции, и
получит валовой доход 486 руб., достаточный для того, чтобы возместить все
переменные издержки (450 руб.), а также существенную часть — 36 руб. (из 100
руб.) постоянных издержек.
Всегда, когда валовой доход превышает совокупные переменные издержки,
предприятие будет осуществлять производство, потому что эти издержки, а также
некоторая часть совокупных постоянных издержек могут быть оплачены из дохода.
При производстве некоторого объема продукции общая сумма убытка
предприятия будет меньше на какую-то величину ее совокупных постоянных
издержек. При 6 единицах продукции убытки минимизируются.
Случай закрытия.
Предположим, что рыночная цена составляет 71 руб. По издержкам, данным в табл.
27, видно, что при всех уровнях производства убытки будут превышать
сумму постоянных издержек в размере 100 руб., что повлечет за собой закрытие
предприятия.
Следовательно, предприятие, осуществляя производство, понесло бы потери
сверх своих постоянных издержек. В этом случае предприятие будет минимизировать
свои убытки путем остановки производства. Лучший выбор предприятия — закрыться
и оплатить потерю 100 руб. постоянных издержек из собственных средств.
10.2. Анализ предельных издержек и кривой предложения
В основе
рассмотрения вопроса лежат следующие положения:
— предельные издержки на продукт равны цене на этот продукт на рынке
(MC = P) — условные равновесия предприятия на кривой спроса;
— предельные издержки последующих единиц продукции увеличиваются,
поэтому предприятие должно устанавливать более высокие цены, чтобы ему было
выгодно производить эти дополнительные единицы продукции.
На рис. 29 показаны гипотетические кривые предельных издержек (MC),
средних переменных издержек (ABC), средних валовых издержек (ATC) и возможные
уровни цен на рынке — P1, P2, P3, P4
и P5.
Кривая предложений конкурентного предприятия

Рис. 29
Проанализируем
изображенные ситуации. При цене P1 в точке a (MC = P) предприятие не
будет производить продукцию, так как цена на рынке меньше минимума средних
переменных издержек.
При цене P2 предприятие находится в состоянии равновесия в
точке в. Оно будет покрывать свои переменные издержки, и его убыток будет равен
постоянным издержкам. Предприятию безразлично — закрываться или производить Q2
единиц продукции.
Цена P4 является стратегической. Это цена, при которой
предприятие будет покрывать расходы, производя Q4 единиц продукции.
Здесь валовой доход будет только покрывать средние валовые издержки и
предприятие не будет иметь прибыли. При любой другой цене, от P3 до
P4, предприятие будет минимизировать свои убытки, частично
компенсируя постоянные издержки. При цене, превышающей P4,
предприятие будет максимизировать свои прибыли, производя Q5 единиц
продукции.
Каждая из точек a, в, c, d, e на рис. 29,
в которых MC = P, обозначает возможную цену продукта (на вертикальной оси) и
соответствующее количество продукции, которое предприятие, стремящееся к
прибыли, поставило бы на рынок (по горизонтальной оси). Эти точки фиксируют
положение кривой предложения конкурентного предприятия.
Отрезок кривой предельных издержек, который лежит выше кривой средних
переменных издержек, является кривой предложения предприятия. Это и есть связь
между издержками производства и предложением предприятия в краткосрочном
периоде.
10.3. Анализ безубыточности производства
Финансовая
информация для принятия решений и контроля за уровнем расходов на предприятии
может быть подготовлена на основании анализа безубыточности производства.
Анализ безубыточности основан на исследовании зависимости изменений объемов
произведенной продукции, расходов на ее производство, объемов доходов от продаж
и прибыли. Проведенный анализ поможет принять решение по установлению цены
реализации продукции, регулированию объемов реализации продукции.
Для упрощения анализа зависимости дохода от реализации, расходов на
производство и прибыли от объема производства он принимается равным объему
реализации.
Экономическая модель зависимости дохода от продаж, расходов на
производство и прибыли от объема производства представлена на рис. 30.
Экономическая модель зависимости дохода от продаж

Рис. 30
Линия
совокупных доходов (ОВЕС) на графике представляет собой кривую, которая
показывает, что вначале с ростом объема производства и реализации продукции
совокупные доходы растут, но наступает момент, когда для повышения уровня
доходов приходится значительно увеличить объем производства и снизить цены
реализации и, наконец, когда при увеличении объема реализации в соответствии с
законом убывающей отдачи доходы начинают падать. На линии совокупных доходов
можно увидеть, что при разных объемах реализации продукции в точках M1
и M2 предприятие получит одинаковый доход.
Совокупные расходы на графике также представляют собой кривую (АВЖЕД),
которая имеет начало в точке А. Линия ОД1 представляет графическое
изображение переменных расходов.
Изменение переменных расходов в значительной степени влияет на
поведение совокупных расходов предприятия. На представленной модели на отрезке
АВ совокупные расходы растут из-за роста переменных расходов в связи с
увеличением объема производства.
На отрезке ВЖ линия совокупных расходов начинает выравниваться.
Достигается оптимальный режим производства без каких-либо экономических потерь,
средние переменные издержки на единицу продукции снижаются, возникает так
называемый возрастающий эффект масштаба. Расходы на рабочую силу в расчете на
единицу производимой продукции снижаются.
На отрезке ЖД совокупные расходы начинают расти, так как
производственные мощности работают с перегрузкой, используется сверхурочный
труд рабочих, внеплановые закупки сырья и материалов влекут за собой дополнительные
расходы. Возникает «отрицательный эффект масштаба».
В точках В и Е совокупные доходы и совокупные расходы равны, это так
называемые точки безубыточности. Точка В характеризует завершение периода
превышения расходов над доходами и начало получения прибыли от реализации
продукции. Точка Е свидетельствует о том, что предприятие вышло на недопустимые
объемы производства и наступил период, когда совокупные доходы стали падать при
одновременном росте совокупных расходов.
Точка безубыточности — это величина объема продаж, при которой
предприятие будет в состоянии покрыть все свои издержки (постоянные и
переменные), не получая прибыли. Анализ безубыточности — это простой и
эффективный способ моделирования ситуации. Он является мощным инструментом
производственного (управленческого) учета для планирования будущей и оценки
предыдущей деятельности предприятия.
При анализе безубыточности принимаем следующие допущения:
— постоянные и переменные издержки определены с большой достоверностью;
— не происходит изменения цен на сырье и продукцию за период, на
который осуществляется планирование;
— постоянные издержки остаются неизменными в ограниченном диапазоне
объема продаж;
— переменные издержки на единицу продукции не изменяются при изменении
объема продаж;
— объем производства равен объему реализации или изменения начальных и
конечных запасов нереализованной продукции в рассматриваемый период
незначительны;
— продажи осуществляются достаточно равномерно.
Основу анализа безубыточности составляют расчеты объема продаж в точке
безубыточности и уровней безубыточности в стоимостном и натуральном выражениях.
Рассмотрим их.
Объем продаж в точке безубыточности определяется по формуле:
Тmin
= ТФС + ТВС,
где ТФС —
постоянные издержки;
ТВС — переменные издержки в точке безубыточности.
Уровень безубыточности продаж в стоимостном выражении необходим для
того, чтобы знать, какая сумма потребуется для покрытия издержек. Он
рассчитывается по формуле:
,
где V —
объем продаж в стоимостном выражении.
Уровень безубыточности продаж в натуральном выражении полезен для того,
чтобы знать, сколько единиц продукции необходимо продать для покрытия валовых
издержек, и выражается формулой:
или
,
где Qmin
— количество единиц проданных товаров в точке безубыточности;
Ц — цена единицы продукции;
ТВС’ — переменные издержки на единицу продукции.
Пример. ОАО «Инструментальщик» производит
пневматические инструменты. Предполагаемый объем продаж в натуральном выражении
— 12 тыс. шт. (считаем продукцию однородной).
Расчет необходимых издержек на единицу продукции и на всю продукцию
приведен в табл. 28.
Таблица 28
План
производства и продаж пневматического инструмента
| Показатель | Затраты на единицу продукции, руб. | Итого, тыс. руб. | 
| Переменные издержки | ||
| Всего | 160 | 1 920 | 
| В том числе: | ||
| Сырье и материалы | 95 | 1 440 | 
| Электроэнергия на технологические нужды | 45 | 540 | 
| Затраты на оплату труда основных рабочих | 20 | 240 | 
| Постоянные издержки | ||
| Всего | 876 | |
| В том числе: | ||
| Цеховые расходы | 445 | |
| Общезаводские расходы | 431 | |
| Всего издержек производства | 2 796 | |
| Объем продаж в стоимостном выражении | 250 | 3 000 | 
| Прибыль от реализации | 17 | 204 | 
Примечание.
Для удобства вычислений все цеховые и общезаводские расходы отнесены к
постоянным издержкам.
Рассчитаем,
сколько единиц продукции необходимо продать ОАО «Инструментальщик»,
чтобы покрыть все издержки в точке безубыточности. Необходимый объем продаж
составит:
Минимальное
количество пневматических инструментов, которое нужно реализовать, чтобы
покрыть все валовые издержки в точке безубыточности, составит:
Qmin
= Тmin / Ц = 2 433 333 : 250 = 9 734 шт.
или
Графическая
интерпретация результатов расчетов приведена на рис. 31. На графике хорошо
видно положение точки безубыточности относительно существующего уровня продаж.
Только продажа каждой дополнительной единицы пневматического инструмента сверх
уровня (точки) безубыточности будет приносить предприятию экономическую
прибыль.
Графическое определение точки безубыточности

Рис. 31
Предприятию
необходимо сначала покрыть все свои издержки, а только потом оно сможет
получить прибыль от продажи каждой единицы, следующей за объемом продаж в точке
безубыточности. Используемое здесь понятие прибыли отличается от принятого для
этих целей понятия в российском бухгалтерском учете, где «учетную»
прибыль даст продажа уже первой единицы товара.
Точка безубыточности — это рубеж, который предприятию необходимо
перешагнуть, чтобы выжить. Поэтому экономисты называют ее порогом рентабельности. Чем выше порог рентабельности, тем труднее
его перешагнуть. С низким порогом рентабельности легче пережить падение спроса
на продукцию или услуги, отказаться от неоправданно высокой цены реализации.
Снижения порога рентабельности можно добиться снижением переменных издержек на
единицу продукции либо сокращением постоянных издержек. Операционный анализ
ищет наиболее выгодную комбинацию сочетания переменных и постоянных издержек,
цены и фактического объема реализации.
Как далеко планируемая выручка от реализации «убегает» от
порога рентабельности, показывает запас
финансовой прочности.
Превышение фактической выручки от реализации продукции над порогом
рентабельности (точки безубыточности) носит название запаса финансовой
прочности предприятия (F).
Он рассчитывается так:
а) в денежном (стоимостном) выражении:
F =
выручка от реализации — порог рентабельности, руб.;
б) в
процентах к выручке от реализации:
Q = (F /
выручка от реализации) x 100, %.
10.4. Маржинальный доход
При
рассмотрении общих принципов производственного учета кратко было отмечено, что
в системе отчетов о доходах при расчете неполной (сокращенной) себестоимости
появилось новое для отечественного бухгалтерского учета понятие
«маржинальный доход», или «сумма покрытия». Иногда его
называют «вклад на покрытие».
Проведем более полный анализ понятия «маржинальный доход» на
примере его практического применения. Маржинальный доход — это разность выручки
от реализации продукции и переменных издержек на производство этой продукции:
M = V —
ТВС,
где M —
маржинальный доход;
V — выручка от реализации;
ТВС — переменные издержки на производство продукции.
В приведенном выше примере для ОАО
«Инструментальщик» маржинальный доход будет равен:
M = 3 000 — 1 920 = 1 080 тыс. руб.;
в расчете на единицу продукции он равен:
M1 = 250 — 160 = 90 руб.
Маржинальный доход для единицы продукции будем называть чистым доходом от продажи
дополнительной единицы. При принятии решений, направленных на увеличение
прибыли, необходимо стремиться к максимальному увеличению чистого дохода.
Маржинальный доход может быть рассчитан так же, как сумма постоянных
издержек и прибыли:
M = ТФС +
П,
где П —
прибыль от реализации. В случае приведенного выше примера
для ОАО «Инструментальщик»;
M = 1 080 тыс. руб. = 876 тыс. руб. + 204 тыс. руб.
Из формулы маржинального дохода следует, что:
Q x M1
= ТФС + П,
где Q —
количество единиц реализуемой продукции. В приведенном примере
это равенство будет выглядеть так:
12 000 шт. x 90 руб. = 876 тыс. руб. + 204 тыс. руб.
Приведенный формальный аппарат позволяет производить расчеты, связанные
с возможными изменениями объема продаж, цены, издержек и прибыли.
Проиллюстрируем это, используя данные примера с ОАО
«Инструментальщик».
1. Какой будет прибыль при увеличении объема продаж на 10%?
П = QM1
— ТФС’ = 12 000 x (1 + 10% / 100%) x 90 — 876 000 = 12 000 x (1 + 0,1) x 90 —
876 000 = 312 тыс. руб.
Относительный
прирост прибыли при этом составит:
.
Следовательно,
в данном случае при увеличении объема продаж на 10% прибыль увеличится на
52,9%.
В этом примере рост прибыли опережает рост издержек.
Это происходит из-за того, что при увеличении объема продаж растут только
переменные издержки, а постоянные остаются на прежнем уровне. Постоянные
издержки могут расти, но в условиях инфляции этот рост не обязательно связан с
объемом продаж.
2. Как изменится прибыль при увеличении постоянных издержек на 10%?
П = QM1
— ТФС’ = 12 000 x 90 — 876 000 x (1 + 0,1) = 116,41 тыс. руб.
Относительный
прирост прибыли при этом составит:
.
Следовательно,
при увеличении постоянных издержек на 10% прибыль уменьшится на 42,9%.
3. Сколько единиц продукции нужно реализовать, чтобы получить прибыль в
размере 250 тыс. руб.?
Итак,
чтобы получить прибыль в 250 тыс. руб., необходимо реализовать 12 512 единиц
пневматического инструмента.
4. Какой должна быть цена единицы продукции, чтобы, реализовав 12 000
единиц, получить прибыль в 250 тыс. руб.?
Итак,
чтобы получить прибыль в 250 тыс. руб. при объеме продаж в 12 000 единиц
пневматического инструмента, необходимо реализовывать продукцию по цене 253,9
руб. за единицу.
5. Сколько единиц продукции надо продать, чтобы достигнуть уровня
безубыточности?
В точке безубыточности прибыль равна нулю, отсюда маржинальный доход
равен постоянным издержкам: M = ТФС, или QM1 = ТФС. Следовательно:
.
Итак,
уровень безубыточности будет достигнут, если предприятие продаст 9 374 единицы
пневматического инструмента.
Расчет объема продаж в натуральном выражении для отечественных
предприятий достаточно актуален. Объем продаж большинства предприятий находится
ниже уровня безубыточности. Поэтому предприятия имеют возможность определить
для себя, сколько продукции необходимо продать для достижения уровня покрытия
производственных издержек.
В западных странах находит широкое применение методика маржинального
анализа прибыли. В отличие от традиционной методики факторного анализа прибыли,
применяемой на отечественных предприятиях, она позволяет полнее изучить
взаимосвязи между показателями и точнее установить влияние факторов
производства.
По методике факторного анализа прибыли, применяемой на наших
предприятиях, обычно используют следующую формулу:
П = Q (Ц
— С),
где Q —
объем реализованной продукции, шт.;
Ц — оптовая цена реализации единицы продукции, руб/шт.;
С — себестоимость единицы и реализуемой продукции, руб/шт.
При этом исходят из предположения, что все приведенные факторы
изменяются сами по себе независимо друг от друга. Данная модель не учитывает
взаимосвязь объема производства (реализации) продукции и ее себестоимости. При
увеличении объема производства себестоимость единицы продукции снижается, так
как возрастает только сумма переменных расходов, а сумма постоянных расходов
остается без изменения и их доля, приходящаяся на единицу продукции,
уменьшается. И наоборот, при спаде производства себестоимость изделий
возрастает из-за того, что больше постоянных расходов приходится на единицу
продукции.
В зарубежных странах для обеспечения системного подхода при изучении
факторов изменения прибыли и прогнозирования ее величины используют следующую
формулу:
П = Q (Ц
— в) — А,
где в —
переменные издержки на единицу продукции, руб/шт.;
А — постоянные издержки на весь объем продаж продукции, руб.
Эта формула применяется для анализа прибыли от реализации отдельных
видов продукции. Она позволяет определить изменение суммы прибыли за счет
количества реализованной продукции, цены, уровня удельных переменных и суммы
постоянных издержек. Рассмотрим изложенное на примере данных, приведенных в
табл. 29.
Таблица 29
Данные для
факторного анализа прибыли по изделию А
| Показатели | Значение показателя | |
| 1-й | 2-й | |
| Объем реализации продукции (Q), шт. | 10 045 | 5 904 | 
| Цена единицы продукции (Ц), тыс. руб/шт. | 3,1 | 3,7 | 
| Себестоимость изделия (С), тыс. руб/шт. | 2,6 | 3,1 | 
| В том числе переменные издержки (в), тыс. руб/шт. | 1,85 | 2,0 | 
| Сумма постоянных расходов (А), тыс. руб. | 7 535 | 6 494 | 
| Прибыль [П = Q (Ц — в) — А], тыс. руб. | 5 022 | 3 542 | 
Методика
маржинального анализа прибыли позволяет более правильно исчислять влияние
факторов на изменение суммы прибыли, так как она учитывает взаимосвязь объема
производства (продаж), себестоимости и прибыли.
10.5. Операционный рычаг
Операционный рычаг — это количественная
оценка изменения прибыли в зависимости от изменений объема реализации, которая
рассчитывается по формуле:
,
где Ор
— операционный рычаг;
M — маржинальный доход;
П — прибыль от реализации продукции.
Операционный рычаг показывает, на сколько процентов изменится прибыль
при изменении выручки на 1%.
В рассмотренном выше примере для ОАО
«Инструментальщик» Ор = 1080 / 204 = 5,29. Это означает,
что при увеличении объема продаж пневматического инструмента выше точки
безубыточности на 1% прибыль увеличивается на 5,29%. И наоборот, при снижении
объема продаж прибыль уменьшается в той же пропорции.
Операционный рычаг связан непосредственно с уровнем
предпринимательского риска: чем он выше, тем выше риск. С другой стороны, чем
выше риск, тем больше возможное вознаграждение. Уровень операционного рычага
определяется углом между характеристиками изменения выручки и валовых издержек
предприятия (рис. 32).
Высокий уровень операционного рычага

Рис. 32
Как видно
из рис. 32, высокий уровень постоянных издержек при низком уровне переменных
издержек на единицу продукции соответствует высокому уровню операционного
рычага (широкий угол), и наоборот.
Уровень операционного рычага зависит от отраслевой принадлежности
предприятия. Фондоемким отраслям промышленности (машиностроению, судостроению,
металлургии и т.д.) соответствует высокий уровень операционного рычага. Низкий
уровень операционного рычага у предприятий пищевой, легкой промышленности, торговли
и т.д.
Три составляющие операционного рычага
Основными
тремя составляющими операционного рычага являются: постоянные издержки,
переменные издержки и цена. Все они в той или иной степени связаны с объемом
продаж. Меняя их, менеджеры могут оказывать влияние на объем продаж.
Изменение постоянных издержек
Если
менеджеры смогут значительно урезать статьи, приходящиеся на постоянные
издержки, к примеру, урезав накладные расходы, величину минимального
безубыточного объема удастся значительно снизить. Вследствие этого эффект
ускоренного изменения прибыли начнет срабатывать на более низком уровне (рис.
33).

1 — новый
минимальный объем безубыточности;
2 — старый минимальный объем безубыточности
Рис. 33
Уменьшение
постоянных издержек на 25% с 200 тыс. руб. до 150 тыс. руб. привело к смещению
точки безубыточности влево на 100 шт., или на 25% (с 400 шт. до 300 шт.).
Как видно из рис. 33, снижение постоянных издержек —
это прямой и эффективный способ уменьшить минимальный безубыточный объем, чтобы
повысить прибыльность фирмы.
Изменение переменных издержек
Уменьшение
прямых переменных издержек на производство приводит к увеличению контрибуции,
которую приносит каждая дополнительная единица (что, в свою очередь, влияет на
увеличение прибыли), а также к смещению точки безубыточности. Уменьшение прямых
переменных издержек может быть достигнуто с помощью перехода на новые более
современные материалы производства или с помощью переориентации на поставщика,
который предлагает менее дорогие комплектующие (рис. 34).
Изменение переменных издержек

1 — новый
минимальный объем безубыточности;
2 — старый минимальный объем безубыточности
Рис. 34
Как видно
из рисунка, 25%-ное снижение переменных издержек также привело к увеличению
прибыли и смещению точки безубыточности на 11% (с 400 до 356 шт.). Но данное
смещение менее значительно, чем при той же доле уменьшения постоянных издержек.
Причина этого лежит в том, что снижение относится только к маленькой доле
суммарных издержек на производство, так как в этом примере переменные издержки
относительно невелики.
Изменение цены
Если
изменение постоянных и переменных затрат в большинстве случаев подконтрольно
менеджменту, то изменение цены в большинстве случаев продиктовано требованием
рынка. Изменение цены на продукцию обычно влияет на рыночное равновесие и прямо
воздействует на объем продукции в натуральном выражении. Как результат, анализа
изменения цены будет недостаточно, чтобы определить его влияние на
безубыточность, так как в результате изменения цены изменится и объем
реализуемой продукции. Другими словами, изменение цены может непропорционально
сильно отразиться на объеме реализуемой продукции. Повышение цены может
сместить точку безубыточности влево, но одновременно значительно снизить объем
реализуемой продукции, что приведет к потере прибыли. Также повышение цены может
сместить точку безубыточности вправо, но одновременно так увеличить объем
реализации, что прибыль возрастет очень значительно (рис. 35).
Изменение цены

Рис. 35
Как
видно, в результате снижения цены продукции, например, на 100 руб. точка
безубыточности сместилась на 100 шт. вправо (точка 2). То есть сейчас, чтобы
достигнуть того же уровня прибыли, что и раньше, компания должна продавать 100
шт. дополнительно. Как видим, изменение цены сказывается на внутренних
результатах, но зачастую оно имеет еще большее влияние на рынок. Поэтому если
сразу после уменьшения цены конкуренты на рынке также снизили цены, то данное
решение было ошибочным, так как у всех уменьшилась прибыль. Если же
преимущество в увеличившемся объеме реализации может быть получено в течение
долгого промежутка времени, то решение о снижении цены было правильным. Поэтому
при изменении цены нужно больше учитывать требование рынка, а не внутренние
потребности предприятия.
На основании проведенного анализа можно сформулировать основные
положения по применению операционного рычага:
— при одинаковых валовых издержках операционный рычаг тем больше, чем
меньше доля переменных издержек или чем больше доля постоянных издержек в общей
сумме издержек;
— операционный рычаг тем выше, чем ближе к точке безубыточности
находится объем продаж, с чем и связан высокий риск;
— для продукта с высоким значением операционного рычага положение ниже
точки безубыточности сопряжено с большими убытками; достижение уровня
безубыточности вознаграждается прибылью, быстро растущей с ростом продаж;
— для продукта с низким значением операционного рычага положение ниже
точки безубыточности сопряжено с меньшим риском, но также и с меньшей прибылью.
Отсюда следует:
— необходимо стремиться к увеличению объема продаж, если продукт имеет
высокий операционный рычаг и если имеются высокие рыночные возможности для
увеличения объема продаж;
— при высоком уровне операционного рычага необходимо помнить, что это
положение достаточно неустойчивое и рискованное, так как колебание объема
продаж может привести как к увеличению прибыли, так и к убыткам.
Контрольные вопросы
1. В чем
заключается случай максимизации прибыли при анализе валового дохода и валовых
издержек?
2. В каких случаях будет работать предприятие, если валовые издержки
превышают валовой доход?
3. В чем заключается сущность понятия точки безубыточности?
4. Какими показателями характеризуется точка безубыточности?
5. Покажите графическое построение точки безубыточности.
6. Что такое «порог рентабельности»?
7. Что показывает запас финансовой прочности?
8. В чем заключается понятие «маржинальный доход» (прибыль)?
9. Назовите основные положения по расчету маржинального дохода.
10. Дайте определение понятия «операционный рычаг».
11. Сформулируйте основные положения по применению операционного
рычага.
12. Какова взаимосвязь величины операционного рычага со степенью риска?
Глава 11. РАСЧЕТ ИЗДЕРЖЕК НА СТАДИИ ПОДГОТОВКИ ПРОИЗВОДСТВА
Экономический
анализ производственных издержек как основа управления ими производится на всех
стадиях жизненного цикла изделия: НИИ — ОГК (ОКБ) — ОГТ — ОПП — производство —
реализация — эксплуатация — утилизация. Каждая стадия имеет свои специфические
особенности и требует особых подходов к экономическому анализу производственных
издержек.
Рассмотрим следующие вопросы управления производственными издержками на
стадии подготовки производства к выпуску новых изделий:
— техническая подготовка;
— финансово-экономическая подготовка;
— организационная подготовка;
— социальная подготовка;
— оптимизация продолжительности выполнения работ.
11.1. Расчет издержек на стадии технической подготовки
производства
Техническая
подготовка производства — системно организованный, управляемый процесс. Целью
технической подготовки является обеспечение полной технической готовности
предприятия и его производственных подразделений к освоению выпуска новых
изделий высокого качества в установленные сроки при эффективном использовании
оборудования, оснастки производственных площадей, трудовых,
топливно-энергетических, материальных и других ресурсов.
Под полной технической готовностью следует понимать наличие на
предприятии и (или) в его подразделениях комплекта конструкторско-технологической
документации на все вновь осваиваемые виды изделий, а также наличие
необходимого технологического оборудования, технологической оснастки,
инструмента и средств контроля, средств механизации и автоматизации
производственных процессов, обеспечивающих выпуск новых изделий в необходимых
количествах и при минимально возможных издержках.
Количественной мерой технической готовности может служить интегральный
показатель уровня готовности. Он определяется на основе расчета частных
показателей, отражающих меру готовности отдельных технических сторон
производства.
Группа частных показателей уровня готовности приведена в табл. 30.
Таблица 30
Основные
показатели технической готовности производства
к освоению новых
изделий
| Показатель | Формула | Обозначения | 
| Коэффициент готовности технической документации | Тф — общий объем технической документации, предусмотренный планом (расчетом) к моменту начала освоения новых изделий; Тп — фактический объем технической | |
| Коэффициент обеспечения производственными мощностями | Мф — фактическая среднегодовая мощность предприятия (ведущего цеха, оборудования); Мр — расчетная мощность предприятия | |
| Коэффициент оснащенности нового изделия необходимым технологическим оборудованием, энергетическими установками, транспортными средствами | Сф — фактическое наличие данного типа оборудования, транспортных средств и т.п.; Сп — потребное количество данного типа | |
| Коэффициент готовности технологической оснастки для производства нового изделия | qф — фактическая обеспеченность технологической оснасткой; qп — планируемая обеспеченность | |
| Коэффициент обеспеченности производства нового изделия инструментом общего и специального назначения | Рф — фактическая обеспеченность производства инструментом к моменту начала изготовления нового изделия; Рп — планируемая (нормативная) | |
| Интегральный показатель технической готовности | Кi — частные коэффициенты технической готовности; Mi — весомость i-го показателя | 
Чем выше
техническая готовность предприятия к освоению производства новых изделий, тем
больше создается предпосылок для успешного выполнения планируемых показателей
его хозяйственной деятельности, снижения себестоимости изделий, повышения
производительности и уровня рентабельности производства.
Анализ уровня технической готовности производства к выпуску новых
изделий по машиностроительным предприятиям показывает, что для успешного
освоения выпуска новых изделий интегральный показатель должен быть больше 0,6
(Ктг > 0,6). При значении Ктг = 0,4 — 0,6 процесс
освоения изделия затягивается. Идет непрерывное доукомплектование и исправление
технической документации, дооснащение производства инструментом и приспособлениями.
В итоге изделия снимаются с производства как морально устаревшие и не
удовлетворяющие требованиям потребителей.
Пример.
Требуется рассчитать уровень технической готовности производства на предприятии
к выпуску нового изделия. Исходные данные приведены в табл. 31.
Таблица 31
Исходные данные
для расчета технической готовности
производства к
выпуску нового изделия
| Показатель | По плану (норматив) | Фактически на дату освоения | 
| Обеспеченность конструкторской документацией (наименований) | 500 | 450 | 
| Обеспеченность технологической документацией (наименований) | 350 | 200 | 
| Обеспеченность технологическим оснащением | ||
| Всего | 362 | 211 | 
| В том числе: | ||
| штампы (комплектов) | 100 | 91 | 
| пресс-формы (комплектов) | 128 | 23 | 
| кондукторы (наименований) | 50 | 27 | 
| сварочные приспособления (наименований) | 40 | 30 | 
| прочная оснастка (наименований) | 44 | 40 | 
| Обеспеченность специальным инструментом (наименований) | 35 | 28 | 
| Обеспеченность оборудованием | ||
| Всего | 23 | 14 | 
| В том числе: | ||
| станки с ЧПУ (наименований) | 4 | 2 | 
| робототехнические системы (наименований) | 8 | 6 | 
| станки универсальные (наименований) | 11 | 6 | 
Рассчитаем
частные коэффициенты готовности.
1. Готовность конструкторской документации:
.
2.
Готовность технологической документации:
.
3.
Готовность технологической оснастки:
а) штампы:
;
б)
пресс-формы:
;
в)
кондукторы:
;
г)
сварочные приспособления:
;
д)
сборочные приспособления:
;
е) прочие
виды оснастки:
.
В целом
готовность по технологической оснастке составит:
.
4.
Обеспеченность инструментом:
.
5.
Оснащенность технологическим оборудованием:
а) станками с ЧПУ:
;
б)
робототехническими системами:
;
в)
универсальными станками:
.
В целом
коэффициент оснащенности технологическим оборудованием составит:
.
Интегральный
показатель технической готовности производства к выпуску нового изделия равен:
.
11.2. Расчет издержек на стадии финансово-экономической
подготовки
производства
Составным
элементом комплексной системы полной технической готовности предприятия к
освоению выпуска новых изделий является финансово-экономическая
подготовка (ФЭП). Она представляет собой совокупность предпроизводственных
работ по разработке и реализации финансово-кредитных мероприятий,
обеспечивающих необходимыми денежными средствами освоение и выпуск новой
продукции. К числу основных мероприятий ФЭП относится:
— разработка сметы расходов затрат на производство нового изделия;
— расчет величины оборотных средств, необходимых для производства
нового изделия;
— расчет величины дополнительных капиталовложений, необходимых для
освоения нового изделия;
— разработка и обоснование плана реализации новых изделий;
— расчет и обоснование величины средств, необходимых для капитального
ремонта и модернизации оборудования при освоении новых изделий;
— обоснование размера денежных расходов, связанных с подготовкой и
переподготовкой кадров в связи с налаживанием выпуска новых изделий;
— разработка и обоснование баланса доходов и расходов при освоении
новых изделий.
Расчеты, произведенные на стадии ФЭП, позволяют предприятию определить
общую сумму денежных средств, необходимых для покрытия издержек при разработке
и освоении новых изделий. При этом должны быть определены источники
финансирования и кредитования.
Плановые капитальные ремонты и модернизация оборудования осуществляются
за счет средств ремонтного фонда предприятия.
Оценка уровня финансово-экономической готовности к выпуску новых
изделий производится расчетом двух групп показателей — документальной
готовности и внедрения мероприятий экономической подготовки в практику
производственно-хозяйственной деятельности предприятия.
Методика расчета этих показателей приведена в табл. 32.
Таблица 32
Показатели
оценки уровня экономической готовности
предприятия к
выпуску нового изделия
| Показатель | Формула | Обозначения | 
| Коэффициент готовности системы норм и нормативов на новые изделия | Нi — коэффициент, характеризующий готовность документации по i-му виду нормы или норматива; Yi — принятый уровень значимости по i-му | |
| Коэффициент готовности планово-экономической документации | Нi — коэффициент готовности i-го вида (i = 1, 2… n) планового документа; Оi — уровень значимости готовности i’-го | |
| Коэффициент, характеризующий состояние новой системы хозрасчетных показателей, новой системы материального поощрения и других мероприятий экономической подготовки | Нф — фактическое число подразделений, внедривших новую систему показателей; Нn — плановое число подразделений, которые | |
| Коэффициент освоения плановых издержек на подготовку производства (без капитальных вложений) | соответственно фактические (на момент оценки) и плановые (по смете затрат) расходы на освоение новых изделий | |
| Коэффициент освоения финансовых средств, предназначенных для налаживания выпуска новых изделий (капитальные вложения, капитальный ремонт и т.п.) | ФФ — фактически освоенные финансовые средства (на момент оценки); ФП — плановое освоение финансовых средств | |
| Интегральный показатель экономической готовности к выпуску новых изделий (средневзвешенная величина) | Кi — частные коэффициенты экономической готовности; mi — весомость i-го показателя | |
| Интегральный показатель экономической готовности к выпуску новых изделий (среднегеометрическая величина) | P — количество частных коэффициентов экономической готовности; П — произведения коэффициентов | 
Первые
два показателя характеризуют уровень подготовленности нормативной и
планово-экономической документации, все остальные отражают уровень внедрения
экономических мероприятий. Использование показателей оценки экономической
готовности производства позволяет объективно оценить в каждый момент состояние
работ по подготовке производства и осуществлять более эффективное управление
этим процессом.
Пример.
Рассчитаем частные и интегральные коэффициенты финансово-экономической
готовности производства к выпуску новых изделий по данным табл. 33.
Таблица 33
Исходные данные
по состоянию экономической подготовки
производства
| Показатель | По плану (норма) | Фактически на дату освоения | Весомость показателя | 
| А. Документальная подготовленность производства к выпуску новых изделий | |||
| Готовность нормативной базы: | |||
| Нормы трудозатрат (количество) | 350 | 280 | 0,4 | 
| Нормы расхода материальных ресурсов (количество) | 810 | 620 | 0,4 | 
| Нормы расхода комплектующих изделий (количество) | 500 | 450 | 0,2 | 
| Готовность планово-экономической документации: | |||
| Технико-экономические показатели работы цехов и участков при освоении изделий, % | 100 | 80 | 0,4 | 
| Смета затрат на освоение, % | 100 | 100 | 0,3 | 
| План финансирования и кредитования работ по освоению, % | 100 | 80 | 0,3 | 
| Б. Реализация мер экономической подготовки производства | |||
| Количество цехов и участков, обеспеченных плановой документацией на осваиваемые изделия (наименований) | 10 | 5 | 1,0 | 
| Внедрение экономических норм и нормативов на осваиваемые изделия (единиц) | 1 500 | 390 | 1,0 | 
| Исполнение сметы расходов (без учета капитальных вложений) (тыс. руб.) | 85,0 | 62 | 1,0 | 
| Освоение дополнительных капитальных вложений (тыс. руб.) | 320,0 | 270,0 | 1,0 | 
Проведем
расчет показателей финансово-экономической готовности.
1. Коэффициент готовности системы экономических норм и нормативов на
осваиваемые изделия:
.
2.
Коэффициент готовности планово-экономической документации:
.
3.
Коэффициент внедрения плановой документации:
.
4.
Коэффициент внедрения экономических норм и нормативов:
.
5.
Коэффициент освоения сметы затрат:
.
6.
Коэффициент освоения дополнительных капитальных вложений:
.
7.
Интегральный показатель экономической готовности к выпуску новых изделий (как
среднегеометрическая величина):
.
11.3. Расчет издержек на стадии организационной подготовки
производства
Организационная
подготовка играет исключительно важную роль в системе комплексной подготовки
производства к выпуску новых изделий на предприятии. Именно она обеспечивает
наилучшее сочетание материальных, трудовых и финансовых элементов в
производственном процессе. На этапе освоения выпуска новых изделий
организационная подготовка должна обеспечить решение следующих задач:
— выбор, обоснование и внедрение прогрессивных форм специализации
производства в рамках предприятия;
— выбор, обоснование и внедрение наиболее рациональных форм движения
производства в пространстве и во времени;
— разработка мероприятий по совершенствованию организации труда,
направленных на ускорение выпуска изделий;
— разработка мероприятий по совершенствованию организации управления
производством, вызванных необходимостью выпуска новых изделий.
Организационную подготовку можно разделить на
организационно-техническую, организационно-плановую,
организационно-управленческую.
Организационно-техническая
подготовка связана со структурными изменениями в системе основного,
вспомогательного и обслуживающего производства: разделение и кооперация труда;
специализация цехов, участков, рабочих мест; рационализация производственной
структуры, расстановка оборудования и т.п.
Организационно-плановая
подготовка обеспечивает налаживание производственного процесса к выпуску новой
продукции: выбор и обоснование форм движения процесса изготовления во времени,
системы оперативно-календарного планирования для осваиваемого изделия, расчеты
и построение оперативных планов и графиков работы цехов и участков, разработка
календарно-плановых нормативов и т.п.
Организационно-управленческая
подготовка — это совокупность мер по совершенствованию системы управления
производством в связи с освоением новых изделий. Она включает работы по
совершенствованию структуры, технологии управления, автоматизации и механизации
управленческих процессов, подбору и расстановке кадров и т.п. Важной составной
частью управленческой подготовки является информационно-документальная обеспеченность
управленческих процессов.
Необходимо отметить, что вопрос оценки организационной подготовленности
производства к выпуску новых изделий наименее разработан из всех вопросов
технической подготовки. В то же время в технической работе постоянно требуется
не только качественно, но и количественно оценивать состояние подготовленности
производства и степень ее влияния на процесс освоения и выпуска новых изделий.
Уровень организационной подготовленности может быть определен рядом
частных и интегральных показателей, характеризующих отдельные стороны
организационной подготовки. Число и содержание их зависит от специфики
проводимых работ на предприятии. Уровень организационной подготовленности может
пониматься как количественная мера степени завершенности работ (достижения
результата). Методика расчета отдельных показателей приведена в табл. 34.
Таблица 34
Показатели
уровня организационной готовности производства
к выпуску нового
изделия
| Показатель | Формула | Обозначения | 
| Коэффициент готовности планово-проектной документации | фактический и плановый объемы работы на дату оценки по разработке i-го вида (i = 1, 2… p) планово-проектной документации, рассчитанные на основе нормативов трудоемкости; mi (0 <= mi <= 1) — весомость | |
| Коэффициент завершенности работ по монтажу машин и оборудования на вновь организуемых или реорганизуемых участках, цехах, поточных линиях | фактическая и плановая стоимость монтажа и наладки i-го вида (i = 1, 2… к) оборудования на дату оценки; mi (0 <= mi <= 1) — весомость влияния монтажа и наладки i-го вида оборудования на результаты организационной подготовки производства | |
| Коэффициент готовности производственных помещений к изготовлению осваиваемых изделий | фактический и плановый объемы работы на дату оценки по разработке i-го вида (i = 1, 2… m) проектной документации по планированию и монтажу оборудования, рассчитанные на основе нормативов трудоемкости; Pi (0 <= Pi <= 1) — | |
| Уровень организационной готовности производства | К1, К2… Кn — значения частных аналитических коэффициентов, характеризующих состояние организационной готовности производства в результате мероприятий по организационной подготовке производства | |
| Индекс роста уровня организационной готовности производства | достигнутый за период оценки организационной подготовки производства и плановый интегральные коэффициенты уровня организационной готовности производства | 
Из
таблицы видно, что основным оценочным показателем организационной подготовки за
рассматриваемый период служит отношение выполненного объема работ к плановому.
Пример.
Необходимо осуществить переход на изготовление новых изделий, требующих
перестройки организационных сторон производства. Основные мероприятия,
результаты их осуществления и достигнутые при этом показатели уровня
организационной готовности производства приведены в табл. 35.
Таблица 35
Показатели
состояния организационной готовности
производства на
начало освоения новых изделий
| Показатель | Значение показателя | Весомость показателя | Расчетные величины коэффициентов готовности | |
| По плану (норма) | Фактически на начало освоения | |||
| Разработка проекта реконструкции цеха сборки изделий (нормо-час) | 3 500 | 3 000 | 0,3 | |
| Разработка проекта созданий механического цеха точных узлов и деталей (нормо-час) | 2 800 | 2 300 | 0,4 | |
| Разработка календарно-плановых нормативов на освоение изделий (нормо-час) | 250 | 200 | 0,2 | |
| Разработка и выдача цехам и участкам планов-графиков выпуска изделий (нормо-час) | 200 | 180 | 0,1 | |
| Планировка механического цеха, монтаж и наладка оборудования (тыс. руб.) | 285 | 280 | 1,0 | |
| Перепланировка и монтаж оборудования в сборочном цехе (тыс. руб.) | 140 | 180 | 1,0 | |
| Уровень организационной подготовки производства | 0,93 | 0,74 | — | |
| Индекс роста уровня организационной подготовки производства | — | — | — | |
Расчеты
показывают, что невыполнение намеченных объемов организационных мероприятий
существенно сказалось на снижении уровня организационной подготовки по
сравнению с плановым.
Следовательно, расчет средних и интегральных показателей готовности
даст возможность оценить ход выполнения работ по организационной подготовке и
определить меры по его ускорению, целесообразность начала освоения новых
изделий и продолжения работ по подготовке.
11.4. Расчет издержек на стадии социальной подготовки
производства
Отечественные
предприятия после периода резкого спада производства промышленной продукции
начинают постепенно возрождаться, осваивая в большинстве случаев выпуск новой,
конкурентоспособной продукции или совершенствуя ранее выпускаемую.
Выпуск высококачественной продукции невозможен (даже при установке
современного оборудования) без квалифицированных кадров, которые на большинстве
предприятий были утрачены в период спада производства и галопирующей инфляции.
Поэтому на современном этапе обновления производства вопрос социальной
подготовки трудовых коллективов к работе в новых условиях приобретает
первостепенное значение.
Главной целью социальной подготовки является обеспечение готовности
трудовых коллективов к выполнению функций по созданию и освоению новой техники,
освоению новых высокотехнологичных процессов и выпуску совершенной продукции.
Постоянное обновление выпускаемых изделий, более широкое использование
нового оборудования, внедрение прогрессивной технологии и организации
производства невозможны без постоянного повышения уровня знаний, навыков,
умения работников предприятия, что является определяющим фактором готовности
коллектива к работе в новых условиях.
Отсюда основными задачами социальной подготовки производства являются:
— обеспечение необходимого уровня развития социальной структуры
предприятия;
— проектирование и формирование малых социальных групп на основе
внутриколлективных форм разделения и кооперации труда;
— разработка и внедрение проекта социальных условий, обеспечивающих
работу коллектива при нововведениях;
— достижение определенного уровня развития внутриколлективных отношений
и трудовой активности членов коллектива.
Состав работ по социальной подготовке приведен на рис. 36.
Состав работ по социальной подготовке
┌──────────────────────────────────┐
                                     │Социальная подготовка
производства│
└────────────────┬─────────────────┘
┌───────────────────────────┬─────────┴──────────────┬────────────────────────────┐
┌───────────────┴────────────────┐┌─────────┴────────┐┌──────────────┴───────────────┐┌───────────┴───────────┐
│
Развитие социальной структуры ││
Совершенствование││
Совершенствование
││   Формирование
малых  │
│           коллектива           ││социальных
условий││ внутриколлективных отношений ││    социальных групп   │
│
││   производства   ││
││
│
└───────────────┬────────────────┘└─────────┬────────┘└──────────────┬───────────────┘└───────────┬───────────┘
┌───────┴─────────┐           ┌─────┴───┐
┌───────┴───────┐
┌─────┴──────┐
┌───────┴────────┐┌───────┴──────┐┌───┴───┐┌────┴────┐┌──────┴──────┐┌───────┴───────┐┌─────┴─────┐┌─────┴────┐
│Профессиональная││Половозрастная││Условия││
Условия ││ Общественно-││   Морально-
││  Создание
││ Создание │
│ образовательная││   структура
││ труда ││
быта  ││
политическая││психологический││комплексных││творческих│
│
структура   ││              ││       ││         ││  активность ││     климат
││   бригад  ││   групп
│
└────────────────┘└──────────────┘└───────┘└─────────┘└─────────────┘└───────────────┘└───────────┘└──────────┘
Рис. 36
Рассмотрим
основные направления работ по социальной подготовке производства к выпуску
новых изделий. Социальная структура производственного коллектива представляет
собой совокупность социальных групп и отношений между ними. Она является
функцией от технико-технологических характеристик производства и поэтому должна
проектироваться параллельно с проведением разработок по новой технике и
технологии. Достижение определенного уровня развития социальной структуры
коллектива заключается в научном обосновании внедрения комплекса мер по
обеспечению такого уровня знаний, навыков, профессиональной квалификации,
демографической структуры, при котором проявляется готовность в условиях
нововведений успешно выполнять все производственные функции.
Совершенствование социальных условий производства предусматривает
проведение комплекса мер по улучшению условий труда и быта работников
предприятия.
Комплекс мер по улучшению условий труда должен предусматривать решение
следующих вопросов:
— устранение производственных факторов, которые приводят к повышенной
интенсивности труда и физическому перенапряжению, порождая нервно-психические
перегрузки, что представляет опасность для жизни и здоровья работников;
— облегчение и обогащение содержания труда;
— поддержание экологических условий в соответствии с нормами
промышленной санитарии и гигиены;
— создание и внедрение мероприятий для улучшения эстетических и
эргономических условий труда.
Улучшение социальных условий функционирования коллектива неразрывно
связано с улучшением быта работников. Создание и внедрение новшеств, освоение и
выпуск новой продукции обусловливают привлечение к производству новых категорий
квалифицированных работников, которых необходимо удовлетворить жильем,
организацией лечения, отдыха, культурно-просветительными учреждениями, системой
питания и бытового обслуживания на производстве. Эти вопросы особо актуальны в
период строительства и реконструкции предприятий, создания новых производств,
технического перевооружения, т.е. во всех случаях, когда производственные
коллективы претерпевают существенные качественные и количественные изменения.
Обеспечение работников потребными бытовыми условиями в значительной степени
влияет на текучесть кадров предприятия.
Для количественной оценки уровня социальной подготовки коллектива к
освоению выпуска новых изделий служит система частных и интегральных
показателей, которые сведены в табл. 36.
Таблица 36
Частные и
интегральные показатели оценки социальной
готовности
коллектива предприятия к выпуску новых изделий
| Показатель | Формула | Обозначения | 
| Коэффициент общеобразовательной готовности кадров | фактический и планируемый средний общеобразовательный уровень кадров на начало освоения изделия | |
| Коэффициент среднего общеобразовательного уровня кадров | бi — число баллов i-го уровня (принимается по шкале, действующей в отрасли); рi — число работников, имеющих i-й р — общая численность работников; m — количество образовательных уровней | |
| Коэффициент квалификационной готовности кадров | фактическая квалификация (средний разряд) рабочих определенной специальности на период оценки; К — планируемая квалификация (средний разряд) рабочих | |
| Коэффициент использования квалификации кадров | Крр — средний разряд работ | |
| Коэффициент профессиональной укомплектованности кадрами какой-либо специальности | Рфi; РПi — фактическое (наличное) и планируемое (необходимое) количество работников i-й специальности (профессии); i = 1, 2, 3… n — количество имеющихся или требуемых | |
| Коэффициент профессиональной укомплектованности кадрами по предприятию или подразделению | ||
| Коэффициент количественного состава | фактическое и планируемое (потребное) количество работников | |
| Степень удовлетворения социальных потребностей | B — фактический уровень удовлетворения какой-либо социальной потребности; C — оптимальный уровень удовлетворения какой-либо | 
Интегральные
показатели могут быть рассчитаны как средняя величина из всех частных
показателей готовности по формуле:
,
где КСГ
— интегральный коэффициент готовности;
Кi — частный коэффициент готовности i-го элемента;
mi — весомость i-го частного элемента;
J — количество частных элементов.
11.5. Оптимизация продолжительности выполнения работ
На стадии
ФЭП особое внимание следует уделить вопросу оптимизации продолжительности
выполнения работ по подготовке выпуска новой продукции и издержкам на их
выполнение. Проанализируем данную задачу на графиках оптимизации
продолжительности выполнения работ (рис. 37).
Графики оптимизации продолжительности выполнения работ

Рис. 37
Продолжительность
работы может быть уменьшена до предела:
mn
= mmax — mmin.
По
достижении этого предела отпуск дополнительных средств на данную работу никак
не скажется на ее продолжительности (при заданном объеме работ), так как кривая
1 «время — затраты» резко поднимается вверх (рис. 37,
а).
Считается, что с уменьшением времени выполнения работы возрастает ее
стоимость. Величина Cmax показывает издержки при минимальной
продолжительности работы (mmin), а Cmin — при нормальной
(плановой) продолжительности (mmax).
Величина дополнительных издержек (DC) на предполагаемое сокращение
срока подготовки выпуска новых изделий рассчитывается через аппроксимирующую
прямую 2 по следующей формуле:
.
Так, исходя из условных данных, приведенных на графике оптимизации
продолжительности выполнения работ, величина DC составит:
Далее
определяем степень (коэффициент) возрастания издержек по формуле:
.
В нашем
случае:
Следовательно,
при сокращении сроков выпуска новых изделий на 3 месяца требуется
дополнительное финансирование работ в размере 5,7 тыс. руб. ежемесячно.
На рис. 37, б и в приведены графики, отражающие
соответственно время начала и темпы получения прибыли для нормального
(планового) и сокращенного сроков подготовки к выпуску нового изделия. Для
нормальной (плановой) подготовки характерно равномерное финансирование работ и
начало реализации продукции в установленные планом сроки (десять месяцев на рис.
37, б). В случае сокращения сроков подготовки (на рис. 37,
в — на три месяца), с одной стороны, требуется дополнительное финансирование (в
данном случае 17,1 тыс. руб.), на что необходимо иметь соответствующий источник
поступления денежных средств, с другой — сокращение сроков начала реализации
продукции и получения прибыли.
Сокращение сроков технической подготовки освоения выпуска новых изделий
сопряжено с определенными трудностями. Одна из них связана с необходимостью
получения не просто установленного уровня запасов незавершенного производства,
но его определенного состава и структуры.
Если дополнительные издержки формируются рабочими этого же
подразделения (за счет проведения сверхурочных работ), то эта сложность
сравнительно легко преодолима. Если же для этого привлекаются рабочие других
подразделений, в том числе и специально сформированных на предприятии для
достижения данной цели, то появляются сложности, обусловленные неподготовленностью
отдельных компонентов ресурсов к выполнению данной работы.
Окончательное решение о сроках технической подготовки освоения выпуска
новых изделий должно приниматься на техническом совете, возглавляемом главным
инженером предприятия (техническим директором).
Заключение
Глава
11 «Расчет издержек на стадии подготовки производства»
содержит расчеты по всем стадиям подготовки: технической,
финансово-экономической, организационной и социальной. Приведены расчетные
формулы и даны примеры расчетов. Эти виды расчетов применимы для всех типов
промышленных предприятий. На основании полученных расчетных данных руководством
предприятия будут приниматься соответствующие управленческие решения по
устранению полученных отклонений. Без наличия необходимых расчетов управление
издержками на любой стадии подготовки производства практически малоэффективно.
Поэтому данная глава и посвящена расчетам по стадиям
подготовки производства.
Рассматривать конкретные управленческие ситуации нецелесообразно. При
этом не может быть типовых, стандартных управленческих решений. Каждая
сложившаяся ситуация в управлении издержками требует конкретных управленческих
решений.
Контрольные вопросы
1. Как
оценивается степень готовности технической подготовки к освоению выпуска новых
изделий?
2. Каково назначение интегрального показателя технической готовности,
его нормативное значение?
3. Назовите основные мероприятия финансово-экономической подготовки
предприятия к выпуску новых изделий.
4. Назовите основные показатели оценки уровня готовности предприятия к
выпуску новых изделий.
5. Решение каких задач должна обеспечить организационная подготовка
предприятия к выпуску новых изделий?
6. Какие существуют показатели оценки уровня организационной готовности
производства к выпуску новых изделий?
7. Назовите состав работ по социальной подготовке производства к
выпуску новых изделий.
8. Какие применяются частные и интегральные показатели оценки
социальной готовности коллектива предприятия к выпуску новых изделий?
9. Назовите назначение и основные элементы оптимизации
продолжительности выполнения работ.
Тестовые задания к разделу III
1.
Издержки, связанные с качеством продукции, подразделяются:
а) на гарантийное обслуживание реализованной продукции;
б) устранение производственного брака;
в) научно-технические, производственные и управленческие.
2.
Издержки на брак и его исправление включают:
а) ремонт технологического оборудования;
б) обеспечение специальной оснасткой, специальными приспособлениями,
инструментом;
в) повторное изготовление продукции при наличии полного (неисправимого)
брака или устранение частичного (устранимого) брака.
3.
Экономическая эффективность качества продукции состоит:
а) из эффективности внедрения мероприятий научно-технического
прогресса;
б) из экономического эффекта производства;
в) из экономического эффекта эксплуатации продукции;
г) все ответы верны.
4.
Маржинальный доход — это:
а) доход, полученный от внереализационной деятельности;
б) доход, полученный от реализации продукции;
в) разность выручки от реализации продукции и переменных издержек на
производство этой продукции.
5.
Маржинальная прибыль от реализации единицы продукции — это:
а) разность между оптовой ценой единицы продукции и переменными
издержками на производство этой единицы;
б) разность между оптовой ценой единицы продукции и себестоимостью этой
единицы;
в) разность между оптовой ценой единицы продукции и производственными
издержками на производство этой единицы.
6.
Маржинальный доход может быть рассчитан:
а) из суммы прибыли и акцизного налога;
б) из суммы прибыли и постоянных издержек;
в) из разности постоянных издержек и суммы прибыли.
7. Точка безубыточности — это:
а) максимально возможная прибыль предприятия;
б) способность предприятия оплатить кредиторскую задолженность;
в) величина объема продаж, при которой предприятие будет в состоянии
покрыть валовые издержки, не получая прибыли.
8.
Достижение предприятием порога рентабельности означает, что:
а) предприятие покрыло свои убытки;
б) уровень продаж в стоимостном и натуральном выражениях соответствует
точке безубыточности;
в) полностью погашена дебиторская задолженность.
9.
Операционный рычаг — это:
а) отношение маржинального дохода к прибыли от реализации;
б) отношение прибыли от реализации к маржинальному доходу;
в) отношение маржинального дохода к постоянным издержкам.
10.
Операционный рычаг показывает:
а) на сколько процентов изменятся постоянные издержки от изменения
объема производства на 1%;
б) на сколько процентов изменится прибыль при изменении выручки на 1%;
в) на сколько процентов изменятся производственные издержки при
изменении объема продаж на 1%.
11.
Влияние, которое оказывает величина операционного рычага на степень риска:
а) никакого влияния;
б) чем меньше операционный рычаг, тем больше риск;
в) чем больше операционный рычаг, тем больше риск.
12.
Назовите показатели технической готовности производства к освоению новых
изделий:
а) коэффициент готовности норм и нормативов и планово-экономической
документации;
б) коэффициент готовности технической документации;
в) коэффициент готовности планово-проектной документации.
13.
Какими показателями характеризуется уровень экономической готовности
предприятия к выпуску нового изделия:
а) интегральный показатель технической готовности;
б) уровень организационной готовности производства;
в) интегральный показатель экономической готовности к выпуску новых
изделий.
14.
Основными показателями уровня организационной готовности производства к выпуску
нового изделия являются:
а) коэффициент готовности планово-проектной документации;
б) коэффициент готовности производственных помещений;
в) уровень организационной готовности производства;
г) все ответы верны.
15. К
показателям оценки социальной готовности предприятия к выпуску нового изделия
относятся:
а) коэффициент обеспечения производственными мощностями;
б) коэффициент готовности планово-экономической документации;
в) коэффициент квалификационной готовности.
Практические задания к разделу III
Задание 1
Предприниматель планирует продажу плакатов для туристов.
Предположительная цена — 3,5 руб. за штуку. Он может приобретать плакаты у
оптовика по 2,1 руб. за штуку и возвращать непроданные плакаты за полную
стоимость. Аренда торговой палатки обойдется 700 руб. в неделю.
Ответьте на следующие вопросы:
1. Каков порог рентабельности?
2. Каким станет порог рентабельности, если арендная плата повысится до
1 150 руб. в неделю?
3. Каким будет порог рентабельности, если удастся увеличить цену
реализации с 3,5 до 3,85 руб.?
4. Каким будет порог рентабельности, если закупочная цена плакатов повысится
с 2,1 до 2,38 руб.?
5. Сколько плакатов должно быть продано для получения прибыли в сумме
490 руб. в неделю?
6. Какой запас финансовой прочности имеет бизнес при сумме прибыли 490
руб. в неделю?
7. Предприниматель планирует продавать два вида товара: 400 шт. обычных
плакатов (цена реализации — 3,5 руб., закупочная цена — 2,1 руб.) и 500 шт.
больших плакатов (цена реализации — 6,0 руб., закупочная цена — 3,92 руб.).
Чему будет равен порог рентабельности каждого из этих товаров и общий порог
рентабельности всего предприятия?
8. Что больше способствует снижению порога рентабельности и повышению
запаса финансовой прочности: торговля одним видом плакатов или двумя?
Задание 2
По нижеприведенным в таблице исходным данным
определить:
1. Сколько процентов прибыли удастся сохранить предприятию, если
выручка от реализации сократится на 25%.
2. Процент снижения выручки, при котором предприятие полностью лишается
прибыли и вновь встает на порог рентабельности.
3. На сколько процентов необходимо снизить постоянные издержки, чтобы
при сокращении выручки на 25% и при прежнем воздействии операционного рычага
предприятие сохранило 75% прибыли?
| Показатели | Сумма, млн руб. | 
| Выручка от реализации | 1 500 | 
| Переменные издержки | 1 050 | 
| Валовая маржа | 450 | 
| Постоянные издержки | 300 | 
| Прибыль | 150 | 
Задание 3
Предприятие «Анна» производит 100 тыс. штук изделий. Цена
реализации 2 570 руб/шт.; средние переменные издержки — 1 800 руб/шт.;
постоянные издержки — 38,5 млн руб.
Провести анализ чувствительности прибыли предприятия к 10%-ным
изменениям основных элементов операционного рычага:
1. Цена увеличивается на 10%. Как изменится прибыль? На сколько единиц
продукции можно сократить объем реализации без потери прибыли?
2. Оценить влияние 10%-ного изменения переменных расходов на прибыль.
3. Оценить влияние 10%-ного изменения постоянных расходов на прибыль.
4. Оценить влияние 10%-ного увеличения объема реализации.
Задание 4
Предприятие производит электроплиты, реализуя 400 шт. в месяц по цене
250 тыс. руб. каждая (без НДС). Переменные издержки составляют 150 тыс.
руб/шт., постоянные издержки предприятия — 35 000 тыс. руб. в месяц.
| Показатели | На единицу продукции, руб. | % | Долей единицы | 
| Цена реализации | 250 000 | 100 | 1 | 
| Переменные издержки | 150 000 | 60 | 0,6 | 
| Валовая маржа | 100 000 | 40 | 0,4 | 
Возьмите
на себя роль финансового директора предприятия и исходя из данных таблицы
ответьте на следующие вопросы:
1. Начальник отдела маркетинга полагает, что увеличение расходов на
рекламу на 10 000 тыс. руб. в месяц способно дать прирост ежемесячной выручки
от реализации на 30 000 тыс. руб. Следует ли одобрить повышение расходов на
рекламу?
2. Зам. генерального директора по производству хотел бы использовать
более дешевые материалы, позволяющие экономить на переменных издержках по 25
тыс. руб. на каждую единицу продукции. Однако начальник отдела сбыта опасается,
что снижение качества плит приведет к снижению объема реализации до 350 шт. в
месяц. Следует ли переходить на более дешевые материалы?
3. Начальник отдела маркетинга предлагает снизить цену реализации на 20
тыс. руб. и одновременно довести расходы на рекламу до 15 000 тыс. руб. в
месяц. Отдел маркетинга прогнозирует в этом случае увеличение объема реализации
на 50%. Следует ли одобрить такое предложение?
4. Начальник отдела сбыта предлагает перевести своих сотрудников с
окладов (суммарный месячный фонд оплаты 6 000 тыс. руб.) на комиссионное
вознаграждение 15 тыс. руб. с каждой проданной плиты. Он уверен, что объем
продаж вырастет на 15%. Следует ли одобрить такое предложение?
5. Начальник отдела маркетинга предлагает снизить отпускную оптовую
цену, чтобы стимулировать сбыт и довести дополнительный ежемесячный объем
продаж до 150 плит. Какую следует установить оптовую цену на дополнительную
продукцию, чтобы прибыль возросла на 3 000 тыс. руб.
Задание 5
Предприятие изготавливает запасные части к автомобилям — масляные
фильтры — и реализует их по 10 тыс. руб. за фильтр. Переменные издержки на
единицу продукции — 3,6 тыс. руб., квартальный объем продаж — 250 000 шт. Порог
рентабельности перейден. Поступает коммерческое предложение продать
дополнительно 20 000 фильтров по 5,25 тыс. руб. Выполнение этого заказа связано
только с возрастанием переменных издержек. Постоянные издержки не изменяются. Стоит
ли принять предложение?
Задание 6
Предприятие шьет рубашки и брюки. В прогнозируемом периоде может быть
отработано 20 000 часов. При этом за один час можно сшить либо одну рубашку,
либо трое брюк. Данные представлены в таблице.
| Показатели | Денежный эквивалент | |
| Рубашки | Брюки | |
| Цена реализации, руб. | 150 | 200 | 
| Переменные издержки на единицу продукции, руб. | 60 | 160 | 
| Валовая маржа на единицу продукции, руб. | 90 | 40 | 
Какой из
товаров выгоднее производить предприятию?
Задание 7
Предприятие «Поиск» выпускает металлические каркасы.
Производственные издержки составляют 120 тыс. руб/шт., цена — 200 тыс. руб/шт.,
переменные издержки на сбыт — 14 тыс. руб/шт., средние постоянные издержки — 8
тыс. руб/шт. (отнесены на себестоимость единицы продукции пропорционально
трудозатратам). Порог рентабельности перейден. В настоящее время предприятие
выпускает 10 000 каркасов. Поступило предложение о закупке 1 000 каркасов по
цене 140 тыс. руб/шт.
Рекомендуете ли вы предприятию принять данное предложение?
Задание 8
Предприятие «Альфа» специализируется на производстве мебели.
Основными являются три вида продукции: книжные полки, наборы дачной мебели,
наборы кухонной мебели.
Выручка от реализации всех видов продукции равна 456,5 млн руб. и
распределяется по изделиям следующим образом: книжные полки — 148,5 млн руб.;
дачная мебель — 138 млн руб.; кухонная мебель — 170 млн руб. Косвенные издержки
— 164 млн руб. Данные представлены в таблице.
| Показатели | Издержки, млн руб. | ||
| Полки | Дачная мебель | Кухонная мебель | |
| Прямые издержки | 91,5 | 66,5 | 88,5 | 
| Косвенные издержки | 20 | 57 | 87 | 
| Всего издержек | 111,5 | 123,5 | 175,5 | 
| Выручка от реализации | 148,5 | 138 | 170 | 
Выбрать
наиболее рентабельный вид продукции.
БИБЛИОГРАФИЧЕСКИЙ СПИСОК
1.
Бароненкова С.Я. Управленческий анализ: Учеб. пособие. М.: Финансы и
статистика, 2003. 384 с.
2. Верхушина М.А. Управленческий анализ. М.: Омега-Л, 2004. 285 с.
3. Друри К. Введение в управленческий и производственный учет / Пер. с
англ.; Под ред. С.А. Табалиной. М.: Аудит-ЮНИТИ, 1994. 230 с.
4. Друри К. Управленческий учет и производственный учет: Учебник / Пер.
с англ. М.: ЮНИТИ-ДАНА, 2002. 320 с.
5. Карпова Т.П. Управленческий учет: Учебник. М.: ЮНИТИ, 2000. 347 с.
6. Карпова Т.П. Управленческий учет. М.: ЮНИТИ-ДАНА, 2004. 380 с.
7. Карпов А.Е. Постановка и автоматизация управленческого учета. М.:
Результат и качество, 2008. 504 с.
8. Кондратова И.Г. Основы управленческого учета. М.: Финансы и
статистика, 2006. 144 с.
9. Керимов В.Э., Комарова Н.Н. Организация управленческого учета по
системе «Директ-Костинг» // Аудит и финансовый анализ. 2001. N 2. С.
90 — 91.
10. Кэмпбелл Р. Макконнелл, Стенли Л. Брю. Экономикс. Т. 1, 2. М.:
Республика, 1992. С/ 383, с 395.
11. Ларионов А.Д. Управленческий учет: международный опыт. М.: Финансы
и статистика, 2005. 156 с.
12. Маркарьян Э.А., Маркарьян С.Э., Герасименко Г.П. Управленческий
анализ в отраслях: Учеб. пособие. М.: Изд. центр «Март», 2007. 310 с.
13. Мюллендорф Р., Карренбауэр М. Производственный учет / Пер. с нем.
М.: ЗАО «ФБК-ПРЕСС», 1996. 147 с.
14. Мюллендорф Р., Карренбауэр М. Снижение и контроль издержек их
рациональной структуры / Пер. с нем. М.: ФБК Пресс, 2005. 256 с.
15. Осипенкова О.П. Управленческий учет. М.: Финансы, 2002. 192 с.
16. Положение
по бухгалтерскому учету «Учет основных средств» ПБУ 6/97, утв.
Приказом Минфина России от 3 сентября 1997 г. N 65н.
17. Положение
по бухгалтерскому учету «Доходы организации» ПБУ 9/99, утв. Приказом
Минфина России от 6 мая 1999 г. N 32н.
18. Положение
по бухгалтерскому учету «Расходы организации» ПБУ 10/99, утв.
Приказом Минфина России от 6 мая 1999 г. N 33н.
19. Попова Л.В., Маслова Н.А., Алимов С.А., Корастелкин М.М. Учет
затрат, калькулирование и бюджетирование в отдельных отраслях производственной
сферы. М.: ДИС, 2006.
20. Федеральный закон
«О бухгалтерском учете». Принят Гос. Думой 23 февраля 1996 г. N
129-ФЗ.
21. Федеральный закон
«О внесении изменений и дополнений в часть вторую Налогового кодекса
Российской Федерации и некоторые другие акты законодательства Российской
Федерации о налогах и сборах, а также о признании утратившими силу отдельных
актов (положений актов) законодательства Российской Федерации о налогах и
сборах». Принят Гос. Думой 6 июля 2001 г. N 110-ФЗ.
22. Рей Гариссон, Эрик Норин, Питер Брюэр. Управленческий учет. 12-е
изд. М.: Питер, 2012. 590 с.
23. Стражкова М.М. Управленческий учет. М.: Академический проект, 2003.
170 с.
24. Селезнева Н.Н., Ионова А.Ф. Финансовый анализ. Управление
финансами: Учеб. пособие. 2-е изд.. М.: ЮНИТИ-ДАНА, 2007. 640 с.
25. Томпсон А., Формби Д. Экономика фирмы / Пер. с англ.; Под общ. ред.
Ю.В. Шленова. М.: Бином, 1998. 540 с.
26. Управленческий учет / Под ред. А.Д. Шеремета. М.: НД ФБК-ПРЕСС,
2002. 510 с.
27. Управленческий учет и проблемы классификации затрат // Менеджмент в
России и за рубежом. 2002. N 1. С. 27.
28. Чернов В.А. Управленческий учет и анализ коммерческой деятельности
/ Под ред. М.Н. Баканова. М.: Финансы и статистика, 2001. 320 с.
29. Шредер Н.Г. Управленческий учет: анализ типичных ошибок. М.:
Специальный тематический выпуск журнала «Современный управленческий
учет», 2005. 95 с.
30. Энтони А. Аткинсон, Раджив Д. Банкер, Роберт С. Каплан.
Управленческий учет = Managerial Accounting. 3-е изд. М., 2006. 880 с.